Int J Pharm Pharm Sci, Vol 6, Issue 11, 503-505Short Communication

APPLICATION OF MOLECULAR SALT FORMATION REACTIONS OF PICRIC ACID AND CITRIC ACID –ACETIC ANHYDRATE SYSTEM WITH CINITAPRIDE TARTRATE FOR ESTIMATION OF THE DRUG IN BULK AND PHARMACEUTICAL FORMULATIONS

AZIZ UNNISA*1,2, SYED SADATH ALI3

1Department of Pharmaceutical Analysis, KVSR Siddhartha College of Pharmaceutical Sciences, Vijayawada, AP, India, 2Research scholar, Sunrise University, Alwar, Rajasthan, India, 3Azad Institute of Pharmacy and research, Lucknow, India.
Email: khushiazeez@yahoo.co.in

Received: 01 Sep 2014 Revised and Accepted: 02 Oct 2014


ABSTRACT

Objective: The present investigation was aimed at developing and validating two novel highly sensitive, selective, accurate and simple spectrophotometric methods for the determination of Cinitapride tartrate (CNP) in bulk and its dosage forms

Methods: Method A was based on molecular salt formation reaction of Cinitapride tartrate with Picric Acid to form a yellow coloured chromogen having absorption maxima of 410 nm*. Method B was based on the formation of an internal salt between Cinitapride tartrate and citric acid –acetic anhydrate system that was measured at 565 nm*. The factors affecting the reaction in both the methods were carefully studied and optimized. The kinetics of the reaction was investigated, and the reaction mechanism was postulated.

Results: Under the optimized conditions, linear relationship with good correlation coefficient of was found between the absorbance and Cinitapride tartrate concentration in the range of 8-40 μg / mL and 4-20μg / mL for method A and B respectively. The precision of the method was satisfactory; the values of relative standard deviations did not exceed 1.4%. The proposed method was successfully applied to the determination of Cinitapride tartrate in its bulk form and pharmaceutical formulations with good accuracy.

Conclusion: The proposed method was successfully applied to the determination of Cinitapride tartrate in its bulk form and pharmaceutical formulations with good accuracy. Hence, these methods can be used for the routine quality control of CNP in its dosage forms.

Keywords: Cinitapride tartrate, Spectrophotometry, Picric Acid, Citric acid – Acetic anhydrate reagent.


Cinitapride tartrate[1, 2] (CNP) is a gastrointestinal agent belonging to the classification of benzimidazole derivatives. Chemically it is 4-amino-N-[3-(Cyclohexan-1-yl-methyl)-4-piperidinyl]-2-ethoxy-5-nitrobenzamide. It is a gastro enteric prokineticagent acting via complex, but synergistic effects on serotonergic5-HT2 (inhibition) and 5-HT4 (stimulation) receptor and dopaminergicD2 (inhibition) receptors in the neuronal synapses of the myentericplexus.

Literature survey reveals that a few UV-Visible spectrophotometric[3-8], HPTLC[9], RP-HPLC[10-12] methods have been reported for the estimation of CNP either in isolation or in combination of other drugs like pantaprazole[7,11] and omeprazole [8, 12]. However the analytically important functional groups of the drug have not been fully exploited for the sensitive and precise determination of drug. Hence, the aim of the present work was application of molecular salt formation reactions of picric acid and citric acid –acetic anhydrate system with cinitapride tartrate to develop simple, rapid, economic and accurate method for the estimation of the drug in bulk and pharmaceutical formulations and to validate it as per ICH Guidelines [13].

Instruments

A Systronics Double beam UV visible spectrophotometer 2201 with 1 cm matched quartz cells were used for all spectral and absorbance measurements. A Systronics digital pH meter was used for all pH measurements.

Preparation of reagents

All the chemicals and reagents used were of analytical grade and solutions were prepared in double distilled water. The procedures for preparation of the various reagents were mentioned below.

Method A

PA solution (PA) (Fluka: 0.4% w/v, 1.75 x 10-2 M): Prepared by dissolving 400 mg of picric acid in 100 mL of chloroform.

Method B

Citric acid–Acetic anhydrate system (CA/Ac2O) (Fluka: 0.2%w/v, 3.26 x 10-3 M): Accurately 12 gm of citric acid monohydrate was weighed and transferred to 250 mL beaker. The beaker was kept in ice water bath. To this beaker 5 mL of methanol and 20 mL of acetic anhydride were added. The mixture was stirred with a glass rod to complete the solution. The solution was transferred to 100 mL volumetric flask and final volume adjusted to mark with acetic anhydride.

Preparation cinitapride tartrate standard solution

About 128.83 mg of CNP (equivalent to 100 mg of free base) was accurately weighed and transferred to 150 mL separating funnel. It was dissolved in 10 mL of water and 10 mL of 0.1 N sodium hydroxide was added to it drop wise to release the free base of the drug. The released free base was extracted 3 times with 20 mL portions of chloroform solvent and volume of the total chloroform extract was brought up to 100 mL with chloroform to get a standard stock solution of 1 mg/mL. The stock solution was further diluted to get the working standard solution of concentration 100 µg/mL.

Preparation of sample solution

Twenty tablets were weighed accurately and powdered. A quantity equivalent to 50 mg of cinitapride was weighed accurately and transferred to 100 mL volumetric flask. About 30 mL of chloroform was added and kept in an ultrasonic bath for 10 min. This solution is filtered through membrane filter and volume was made up to the mark with chloroform to get mg/mL concentration. The prepared solution was diluted quantitatively with chloroform to obtain a suitable concentration for the analysis.

Recommended procedures

Based on the results obtained in different trials described under results and discussion the following procedures were recommended for the determination of CNP in bulk and pharmaceutical dosage formulations.

Method A: To a series of 10 mL volumetric flasks, aliquots of standard chloroformic CNP solutions containing 80 to 400 µg were transferred and 1.0 mL of PA was added to each volumetric flask. The final volume was made up to the mark with chloroform solution. The absorbance of the solutions was measured at 410 nm against the corresponding reagent blank. The amount of CNP was calculated from the corresponding Beer-Lambert’s plot.

Method B: Aliquots of standard chloroformic CNP solutions containing (0.4 -2.0 mL of 100 µg/mL) were transferred to a series of 25 mL volumetric flasks and gently evaporated on a water bath to remove the ch1oroform.10 mL of CA/Ac2O reagent was added to each volumetric flask. The volumetric flasks were placed in a water bath and heated for 40 min. The contents were cooled to room temperature and the solution in each volumetric flask was made up to the mark with acetic anhydride. The absorbance of coloured solutions was measured at 565 nm after 15 min against a reagent blank. The amount of CNP in sample was calculated from its calibration graph.

The probable reaction based on analogy is presented below:

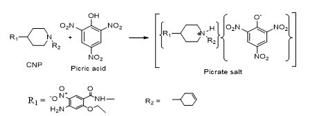
Method A: Picric acid is a powerful proton acceptor because of presence of three electron withdrawing nitro groups, more formally called 2,4,6-trinitrophenol (TNP). These nitro aromatics are known to form a number of coloured addition products with a number of donors, especially with hydrocarbons, phenols and amines. Free picric acid exhibits no color in chloroformic solution but its complex with CNP in chloroformic solution give yellow colour (scheme 1).

Scheme 1

Method B: Aconitic acid is normally prepared by dehydration of citric acid with sulphuric acid or acetic anhydride. When basic tertiary amines are heated with a solution of citric acid (or cis-aconitic anhydride) in acetic anhydride, a red-violet coloured molecular internal salt was formed. The colour reactions were reported to be selective for tertiary amines. The trans-configuration of aconitic acid initially forms through dehydration besides cis- aconitic anhydride and subsequently yields α, γ-anhydride develops violet colour in the presence of tertiary amine which allows the colorimetric determination of the class of compounds. The color formation by Citric acid- acetic anhydride with tertiary amines may be explained as internal salt formation. The probable sequence of reactions based on analogy was presented in scheme. no. 2.

Scheme 2

In order to ascertain the optimum wavelength of maximum absorption (λ max), the spectra were scanned in the wavelength region of 400 – 800 nm against a corresponding reagent blank. The reagent blank absorption spectrum of each method was recorded against solvent employed in each method.

The beer’s plots of these systems were recorded. Beer’s law limits, molar absorptivity, sandell’s sensitivity and optimum photometry range for CNP in each method developed with mentioned reagents were calculated. Least square regression analysis was carried out for getting the slop, intercept and correlation coefficient values. These were recorded in Table 1.

Table 1: Optical characteristics and regression analysis parameters, precision and accuracy of the proposed methods for CNP

Parameter MA MB
λmax (nm) 410 565
Beer’s law limits (μg/mL) 8-40 4-20
Molar absorptivity (L. mole-1 cm1) 7.3x 103 1.6 x 105
Detection limit (µg/mL) 1.1544 0.5436
Sandell’s sensitivity

(μg /cm 2/0.001 absorbance unit)

0.0544 0.0322
Optimum photometric range (µg/mL) 10-50 5-30
Regression equation (Y = a+ bc):

Slope (b)

0.0179 0.0297
Standard deviation of slope (Sb) 2.5 x 10-4 4.0 x 10-4
Intercept (a) 0.0043 0.0037
Standard deviation of intercept (Sa) 0.0062 0.0049
Standard error of estimation (Se) 0.0086 0.0067
Correlation coefficient (r) 0.9991 0.9992
% Relative standard deviation* 0.1389 0.1647
% Range of Error (Confidence limits)*

0.05 level

0.1458 0.1728
0.01 level 0.2287 0.2711
% Error in bulk samples** 0.1199 0.1011

* Average of six determinations, ** Average of three determinations.

Interference studies were conducted to see the influence of excipients with proposed methods. The accuracy of the methods was evaluated by estimating the amount of CNP in previously analyzed samples to which known amounts of CNP were spiked. The results of accuracy were given in Table 2. Some of the commercially available formulations were procured from the local market and analyzed by the developed methods and the results comply with the labelled claim (Table 2).

Table 2: Assay and Recovery of CNP in bulk forms

Method

Amount
added
(mg)

Proposed Method

% recovery by proposed methods**±S. D

Amount found* (mg) ±S. D

t (value)

F (Value)

 MA

5

4.98 ± 0.012

0.576

1.458

99.71 ±0.79

 

10

10.02 ± 0.013

0.551

1.601

100.1± 0.85

MB

5

5.01+0.122

0.153

2.474

100.9+0.61

 

10

9.91+0.057

0.075

1.104

100.61+1.01

* Average ± standard deviation of six determinations, the t and F- values refer to comparison of the proposed method with the reference method. Theoretical values at 95 % confidence limit t = 2.571 and F = 5.05. ** Average of five determinations

Finally it can be concluded that the proposed methods are economic, simple, sensitive, reproducible and accurate. Hence these can be used for the routine analysis of CNP in bulk as well as in its pharmaceutical preparations.

The authors are thankful to Darwin labs pvt Ltd, A. P, India for providing gift sample of Cinitapride, Management of Siddhartha Academy General and Technical Education and Principal of our college for providing required facilities to carry out this research work.

CONFLICT OF INTERESTS

Declared None

REFERENCES

  1. Budavari S. The Merck Index, An Encyclopedia of Chemicals, Drugs and Biologicals. 14th ed. Merck Research Laboratory NJ; 2006. p. 7014-15.
  2. Sean c Sweetman ed. The Martindale Complete Drug Reference. 35th ed. Pharmaceutical Press; 2007. p. 1551.
  3. Thangabalan P, Kumar V. Spectrophotometric analysis of cinitapride in tablet dosage form using 2.0 M Sodium Benzoate solution as hydrotropic solubilizing agent. J Anal Chem 2011;1(2):47-50.
  4. Thangabalan B, Elphine Prabahar, Vijayarajkumar P. Validated extractive spectrophotometric estimation of cinitapride in pure and its solid dosage form. Int J Pharm Pharm Sci 2010;2(l 3):153-5.
  5. Syeda Humaira, Akalanka Dey, Appala Raju S, Syed Sanaullah. Applications of colorimetric methods for the determination of cinitapride hydrogen tartarate in drug formulations. Int J Pharm Pharm Sci 2010;2(1):134-6.
  6. Shende MD, Dighade NR, Kasture AV. Simultaneous estimation of cinitapride hydrogen tartrate and pantoprazole sodium sesquihydrate in capsule by Q-analysis UV-spectrophotometric method. Asian J Res Chem 2013;6(10):911-5.
  7. Satish DB, Mehul MP. Spectrophotometric simultaneous estimation of omeprazole and cinitapride in bulk and formulation. Asian J Pharm Clin Res 2012;5(4):40-2.
  8. Aziz Unnisa, Siva Chaithanya K, Santosh Kumar S, Yogesh Babu A, Santosh Kumar T. Extractive spectrophotometric method development and validation for the estimation of cinitapride tartrate in bulk and pharmaceutical formulations. Int J Pharm Pharm Sci 2014;6(4):568-71.
  9. Hitesh JV, Yogesh M, Kinesh P. Development and validation of HPTLC method for simultaneous estimation of cinitapride and omeprazole in combined dosage form. Pharm Lett 2012;4(5):1467-74.
  10. Ashok Reddy S, Chandra Shekar KB, Murali CM. Development and validation of RP-HPLC method to determine cinitapride hydrogen tartarate in bulk and pharmaceutical formulation. J Global Trends Pharm Sci 2012;3(2):619-27.
  11. Jitesh SJ, Swetal PV, Hemant KJ. Development and validation of a RP-HPLC method for simultaneous determination of pantoprazole and cinitapride in antiulcer formulation. Int J Pharm Pharm Sci 2012;4(4):657-9.
  12. Priya D, Suresh AJ, Niraimathi V. RP-HPLC method development and validation for the estimation of cinitapride and omeprazole in solid oral dosage form. Int J Pharm Pharm Sci 2012;4(4):342-4.
  13. International Conference on Harmonization, Guidance for Industry: Q2b Validation of Analytical Procedures: Methodology; 1996.