
1PhD Research Scholar, PRIST University, Thanjavur, 2Asst. Professor, SCES’s Indira College of Pharmacy, Tathawade, Pune, 3Principal, SCES’s Indira College of Pharmacy, Tathawade, Pune, 4Alard College of Pharmacy, Hinjewadi, Pune.
Email: mansi.wagdarikar@indiraicp.edu.in
Received: 30 Jul 2018 Revised and Accepted: 17 Sep 2018
ABSTRACT
Objective: HPTLC Method for Simultaneous quantification of co-enzyme Q10 and α-tocopherol in bulk and capsule dosage form was developed and validated as per International Conference on Harmonization [(ICH) Q2 (R1)] guideline.
Methods: The chromatograms were developed using a mobile phase of Toluene: ethyl acetate: chloroform (10:1:2 v/v/v) on Pre-coated silica 60F 254 plates and quantified by densitometric absorbance mode at 280 nm.
Results: The Rf values were 0.77 and 0.87 for co-enzyme Q10 and α-tocopherol, respectively. The linearity of the method was found to be in the concentration range of 0.6µg-1.8 µg/band for α-tocopherol and 2 µg-6 µg/band for co-enzyme Q10. The limits of detection and quantification were 0.3154 and 0.9559 µg/band for α-tocopherol and 3.441 and 10.42 µg/band for co-enzyme Q10.
Conclusion: Developed densitometric method was found to be robust, precise, accurate, and rapid and can be used to analyse fixed-dose capsule samples of co-enzyme Q10 and α-tocopherol.
Keywords: co-enzyme Q10, α-tocopherol, HPTLC, Validation, ICH Q2 (R1)
© 2018 The Authors.Published by Innovare Academic Sciences Pvt Ltd. This is an open access article under the CC BY license (http://creativecommons.org/licenses/by/4.0/)
DOI: http://dx.doi.org/10.22159/ijpps.2018v10i10.28828
HPTLC is a well-known, and versatile separation method which is type of planar chromatography involving the principle of adsorption. Now a days, HPTLC serves as a preferred analytical tool for quantitative analysis of drug substances in bulk, from their formulations, from the biological matrix, analysis of herbal extracts and standardization of herbal drugs [1].
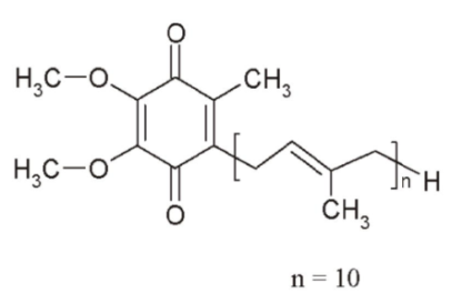
Co-enzyme Q 10 (co-enzyme Q10; ubidecarenone) is a biologically active compound that is similar in chemical structure to menaquinones (vitamin K2). Being a part of a family of quinone compounds known as coenzyme Q, co-enzyme Q10 is characterized by a quinone ring attached to a repeating series of side-chain isoprene units (fig. 1). The number of isoprene units is denoted by the co-enzyme-X designation. In the case of co-enzyme Q10, there are 10 repeating isoprene units [2].

Fig. 1: Structure of co-enzyme Q10
Co-enzyme Q10 was first discovered by researchers at the University of Wisconsin in 1957 [3]. It is highly water insoluble and lipophilic in nature [4]. It is also known for its effect, when combined with chemotherapy for treatment of cancer [5], prevention of low-density lipoprotein oxidation [6], antihypertensive functions [7], migraine headache treatment, neurodegenerative disease treatment and cardiovascular disease [8].
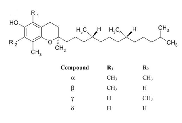
α-Tocopherol (vit. E), 2, 5, 7, 8-tetramethyl-2-[(2R, 8R) 4, 8, 12-trimethyl tridecyl] 3, 4-dihydro-2H-chromene-6ol, encompasses eight molecules composed by a chromanol ring and a phytol side chain displaying identical functions: four tocopherols (α, β, γ and δ) and four tocotrienols (α, β, γ, and δ). Tocopherols have saturated side chain. The prefixes α, β, γ, and δ indicate the position of methyl groups on chromanol ring [9]. Theα-tocopherol is most abundant in nature (fig. 2) [10]. One α-tocopherol molecule can trap two peroxyl radicals responsible of lipid oxidation initiation [11]. Hence, this molecule protects membrane lipids against oxidation [12].

Fig. 2: Chemical structure of tocopherol
Co-enzyme Q10 and α-tocopherol are nutrients that may play a protective role in the human body due to their antioxidant functions. They are commonly found together in supplement form and have been used to prevent and treat several conditions including heart disease, cancer and neurodegenerative diseases.
Literature reveals that colorimetric method, HPLC methods, FT-NIR method are reported for estimation of the drug entities under study in single component or multicomponent formulations [13-21]. HPTLC method for simultaneous estimation of α-Tocopherol and co-enzyme Q10 is not reported. The objective of research work was to develop accurate, precise, specific and economic HPTLC method for the estimation of co-enzyme Q10 and α-tocopherol in bulk and marketed formulation and perform validation [22].
Materials and formulation
Co-enzyme Q10 and α-tocopherol were purchased from Bulk Powders and Fluka Analytical, Sigma Aldrich respectively. Commercial Capsules containing co-enzyme Q10 (100 mg) and α-tocopherol (30 mg) were used for the study. Merck HPTLC Aluminium plates precoated with silica gel 60 F254 were procured from local scientific and chemical supplier.
Reagents
Chemicals of (A. R. and HPLC grade) were purchased from SD Fine Chemicals, Mumbai, Maharashtra, India.
Instrumentation
Details of HPTLC instrument are given in table 1.
Table 1: HPTLC instrument specifications
| Parameter | Specification |
| HPTLC instrument | Camag HPTLC |
| Applicator | Linomat 5 |
| Detection by | Scanner 3 |
| Visualizer | Camag TLC visualizer |
| HPTLC Syringe | 100 and 500 µl |
| TLC Plates | Pre-coated silica 60F254 |
| Software | Win CATS |
Analytical method development
Preparation of the standard stock solutions
About 30 mg of α-tocopherol STD was weighed into 25 ml volumetric flask and the volume was made up to the mark with diluents [HPLC Grade Ethyl acetate: Methanol (50:50)] to make 1200 ppm stock solution (Solution A). Separately 100 mg of co-enzyme Q10 was weighed into 25 ml volumetric flask and the volume was made up to the mark with diluent to make 4000 ppm stock solution (Solution B).
Selection of detection wavelength
Drug bands were scanned in the range of 200-700 nm and UV spectra were overlain. Both the drugs showed significant absorbance at 280 nm, which was selected as detection wavelength.
Preparation of sample solutions
Bulk-1 ml from stock solution A and 1 ml from stock solution B were mixed and diluted to 10 ml to make bulk mixture solution containing α-tocopherol 120 ppm and co-enzyme Q10 400 ppm stock solution.
Capsule-As each capsule formulation contains 30 mg of α-tocopherol and 100 mg of co-enzyme Q10 the average weight of content of capsule formulation was found to be around 301.1 mg. Hence 300mg of formulation was taken and dissolved in 25 ml of diluent and further 1 ml of solution was diluted to 10 ml diluent to make mix solution of α-tocopherol 120 ppm and co-enzyme Q10 400 ppm sample solution.
Selection of stationary phase
HPTLC Aluminium plates pre-coated with silica gel 60 F254 were selected as the stationary phase.
Layer pre-washing
Precoated TLC plates were prewashed with methanol to remove adsorbed material, impurities which include water vapours and other volatile substances from the atmosphere when they get exposed in the lab environment.
Layer preconditioning
Prewashed plates were placed in oven at 105 °C for 5 min prior to the sample application.
Optimisation of chromatographic conditions
Many preliminary trials were carried out for selection and optimisation of mobile phase composition and chamber saturation time.
Analytical method validation
Specificity
The specificity of the method for assay was demonstrated by applying 10 µl band of STD, blank and sample solutions on the HPTLC plates for rectification of specificity of method.
Linearity
The linearity of peak area response for α-tocopherol and co-enzyme Q10 was determined from 50 % to 150 % level of working concentration for both the STD. The mixed stock solutions of α-tocopherol and co-enzyme Q10 were diluted in five different known concentrations. Graphs of concentration (as x-value) versus area (as y-value) were plotted.
Precision
System precision
System precision was evaluated from five replicate bands of standard as per proposed method. The Peak area, average and % RSD were calculated.
Method precision
The six sample solutions were prepared separately. Each sample solution was analysed as per proposed procedure. The % assay, average and % RSD were calculated.
Intermediate precision
The Intermediate precision was determined by comparison of two independent analysis on 2 different days.
Robustness
The influence of slightly changed parameters of the chromatographic conditions was tested according to ICH guidelines to demonstrate sufficient robustness of the method. The tests were carried out by applying standard solution by varying some of the parameters of chromatography mentioned in table 2.
Table 2: Robustness parameters
| S. No. | Parameters | Working parameter | -Change | +Change |
| 1 | Saturation Time (minute) | 15 | 14 | 16 |
| 2 | Polar Solvent Volume (MeOH) | 0.5 | 0.4 | 0.6 |
| 3 | Mobile Phase Volume | 10 | 9 | 11 |
Accuracy
The accuracy was determined from recovery studies. A known but varying amount of STD was spiked into pre-analyzed formulation sample solution at 80%, 100% and 120% recovery levels of working concentration in triplicate. The spiked sample solution was analyzed according to the proposed procedure. The percentage recoveries were calculated against respective levels
Limit of detection and limit of quantitation
The values of Limit of Detection (LOD) and Limit of Quantitation (LOQ) were determined based on the standard deviation of the response and the slope of calibration graph. The quantitation was done with the help of formulae 1 and 2.

…. (1)

…. (2)
Where σ = Standard Deviation of replication, S = Slope of calibration curve
Analytical method development
The experimental conditions selected are shown in table 3.
Selection of detection wavelength
Both the drugs showed significant absorbance at 280 nm which was selected as detection wavelength.
Analytical method validation
Specificity
The chromatograms of blank, standard mixture of co-enzyme Q10 and α-tocopherol and Sample mixture of co-enzyme Q10 and α-tocopherol in the formulation are shown in fig. 3, fig. 4 and fig. 5. By comparing the Chromatograms of the Blank solution, Standard solution and sample solution of co-enzyme Q10 and α-tocopherol, it was observed that no peak was co-eluted with the analyte band from blank solution. Purity of co-enzyme Q10 and α-tocopherolin STD and sample solution was observed to be satisfactory. Hence the method is considered to be specific as per the above-mentioned observations.
Table 3: Optimized experimental conditions
| Parameter | Specification |
| Plate activation | At 105 °C for 5 min |
| Saturation time | 15 min |
| Wavelength of detection | 280 nm |
| Mobile phase chamber | Twin trough Chamber (10x10 and 20x10) |
| Photo-documentation | White R Light |
| Application volume | 10 µl |
| Retention factor of α-tocopherol | 0.86 |
| Retention factor of co-enzyme Q10 | 0.77 |
| Room temperature | 22 °C at the time of experimentation |
| Type of application | Band Type |
| Storage conditions of sample and STD | At 2-8 °C and in dark chamber |
| Diluent | HPLC grade ethyl acetate: methanol (50:50) |

Fig. 3: HPTLC chromatogram of Blank solution

Fig.4 HPTLC chromatogram of Standard solution

Fig. 5: HPTLC chromatogram of sample solution (Formulation)
Linearity
The observations for linearity are listed in table 4 and a depiction in the form of 3D graph is shown in the fig. 6. The calibration curve for linearity is drawn and the correlation coefficient calculated as shown in fig. 7 and fig. 8. Method is considered to be linear as the correlation coefficient was found to be within acceptance criteria for both α-tocopherol and co-enzyme Q10.
Table 4: Linearity study
| Conc. of α-tocopherol (ppm) | Average peak area of α-tocopherol | Conc. of Co-enzyme Q10 (ppm) | Average peak area of Co-enzyme Q10 |
| 60 | 2152 | 200 | 790 |
| 90 | 3165 | 300 | 1545 |
| 120 | 4125 | 400 | 2215 |
| 150 | 5214 | 500 | 2896 |
| 180 | 6214 | 600 | 3545 |

Fig. 6: Linearity study

Fig. 7: Linearity of α-tocopherol

Fig. 8: Linearity of co-enzyme Q10
System precision
The calculated peak area, average and % RSD are shown in table 5. The % RSD observed within acceptable limit indicates the precision of the system.
Method precision
The calculated % assay, average and % RSD for precision study are shown in table 6. Repeatability of Rf is depicted in fig. 9 and 10. The % RSD was observed within the limit, which indicates that the method has an acceptable level of precision.
Intermediate precision
The intermediate precision observations are shown in table 7 and 8. % RSD of % assay results from 6 determinations are within acceptance criteria for day 1 analysis and day 2 analysis. Hence the method of assay for α-tocopherol and co-enzyme Q10 from formulation is rugged.
Table 5: System precision for α-tocopherol and co-enzyme Q10
| Band number | Peak area of α-tocopherol | Peak area of co-enzyme Q10 |
| 1 | 4105 | 2201 |
| 2 | 4106 | 2203 |
| 3 | 4198 | 2215 |
| 4 | 4107 | 2208 |
| 5 | 4105 | 2215 |
| Mean | 4124.2 | 2208.4 |
| SD | 41.26 | 6.542171 |
| % RSD | 1 | 0.3 |
*n=5
Table 6: Method precision for α-tocopherol and Co-enzyme Q10
| Sample no. | % assay of α-tocopherol | % assay of co-enzyme Q10 |
| 1 | 100.13 | 98.75 |
| 2 | 100.05 | 98.64 |
| 3 | 99.78 | 98.22 |
| 4 | 100.4 | 97.98 |
| 5 | 99.61 | 100.04 |
| 6 | 100.42 | 98.87 |
| Mean | 100.07 | 98.75 |
| SD | 0.32417 | 0.71558 |
| % RSD | 0.32 | 0.72 |
*n=6

Fig. 9: Method precision

Fig. 10: Method precision-repeatability of Rf values
Table 7: Intermediate precision for α-tocopherol
| Name of analyte | S. No. | Assay %w/w day 1 | Assay %w/w day 2 |
| α-tocopherol | 1 | 100.13 | 100.1 |
| 2 | 100.05 | 98.6 | |
| 3 | 99.78 | 100.03 | |
| 4 | 100.4 | 99.82 | |
| 5 | 99.61 | 99.74 | |
| 6 | 100.42 | 99.89 | |
| Average | 100.07 | 99.69 | |
| % RSD | 0.32 | 0.56 | |
| Overall % RSD | 0.48 |
*n=6
Table 8: Intermediate precision forco-enzyme Q10
| Name of analyte | S. No. | Assay %w/w day 1 | Assay %w/w day 2 |
| 1 | 98.75 | 100.84 | |
| 2 | 98.64 | 100.71 | |
| 3 | 98.22 | 98.49 | |
| 4 | 97.98 | 101.71 | |
| 5 | 100.04 | 101.27 | |
| 6 | 98.87 | 99.43 | |
| Average | 99.58 | 100.41 | |
| % RSD | 0.72 | 1.21 | |
| Overall % RSD | 1.29 |
*n=6
Robustness
The observations for robustness are listed in table 9 and 10. The % RSD and system suitability parameters for results obtained with varied chromatographic conditions are within the limits. Hence, the method is robust.
Accuracy
The calculated percentage recoveries against respective levels are mentioned in table 12 and 13. The % average recovery of α-tocopherol and co-enzyme Q10 formulation observed within acceptance criterion of 98-102% indicates the accuracy of the method.
Table 9: Robustness of method for α-tocopherol
| Robustness parameter | Level | % RSD | RT | Peak purity |
| Saturation Time (minute) | 14 | 0.45 | 0.86 | OK |
| 15 | 0.75 | 0.86 | OK | |
| 16 | 0.88 | 0.87 | OK | |
| Polar Solvent Volume (MeOH) | 0.4 | 0.73 | 0.86 | OK |
| 0.5 | 0.92 | 0.87 | OK | |
| 0.6 | 0.53 | 0.87 | OK | |
| Mobile Phase Volume | 9 | 0.94 | 0.86 | OK |
| 10 | 0.61 | 0.87 | OK | |
| 11 | 0.64 | 0.87 | OK |
Table 10: Robustness of method for co-enzyme Q10
| Robustness parameter | Level | % RSD | RT | Peak purity |
| Saturation Time (minute) | 14 | 0.84 | 0.77 | OK |
| 15 | 1.39 | 0.77 | OK | |
| 16 | 1.61 | 0.77 | OK | |
| Polar Solvent Volume (MeOH) | 0.4 | 1.70 | 0.77 | OK |
| 0.5 | 1.34 | 0.77 | OK | |
| 0.6 | 0.97 | 0.78 | OK | |
| Mobile Phase Volume | 9 | 1.74 | 0.78 | OK |
| 10 | 1.13 | 0.77 | OK | |
| 11 | 1.17 | 0.77 | OK |
Table 12: Accuracy of a method for α-tocopherol
| Band | Sample | Sample recovery levels (%) | Std wt. (spiked) | Amount recovered | % recovery | Average % recovery |
| 1 | Sample 1 | 80 | 24.10 | 24.05 | 99.79 | 99.77 |
| 2 | Sample 2 | 80 | 24.15 | 24.06 | 99.63 | |
| 3 | Sample 3 | 80 | 24.13 | 24.10 | 99.88 | |
| 4 | Sample 4 | 100 | 30.12 | 30.12 | 100.00 | 99.99 |
| 5 | Sample 5 | 100 | 30.18 | 30.15 | 99.90 | |
| 6 | Sample 6 | 100 | 30.17 | 30.19 | 100.07 | |
| 7 | Sample 7 | 120 | 36.06 | 36.06 | 100.00 | 100.02 |
| 8 | Sample 8 | 120 | 36.07 | 36.09 | 100.06 | |
| 9 | Sample 9 | 120 | 36.12 | 36.12 | 100.00 |
Table 13: Accuracy of method for co-enzyme Q10
| Band | Sample | Sample recovery levels (%) | Std wt. (spiked) | Amount recovered | % recovery | Average % recovery |
| 1 | Sample 1 | 80 | 80.15 | 80.09 | 99.93 | 99.95 |
| 2 | Sample 2 | 80 | 80.12 | 80.15 | 100.04 | |
| 3 | Sample 3 | 80 | 80.16 | 80.07 | 99.89 | |
| 4 | Sample 4 | 100 | 100.10 | 100.12 | 100.02 | 99.93 |
| 5 | Sample 5 | 100 | 100.21 | 100.17 | 99.96 | |
| 6 | Sample 6 | 100 | 100.23 | 100.03 | 99.80 | |
| 7 | Sample 7 | 120 | 120.12 | 120.01 | 99.91 | 99.98 |
| 8 | Sample 8 | 120 | 120.15 | 120.15 | 100.00 | |
| 9 | Sample 9 | 120 | 120.09 | 120.14 | 100.04 |
Table 14: LOD and LOQ
| Drug | Parameter | Values obtained (µg/band) |
| α-tocopherol | LOD | 0.3154 |
| LOQ | 0.9559 | |
| Co-enzyme Q10 | LOD | 3.441 |
| LOQ | 10.42 |
Limit of detection and limit of quantitation
Values of LOD and LOQ calculated using slope of calibration plot (6.861 for co-enzyme Q10 and 33.91 for α-tocopherol) and standard deviation (0.71558 for co-enzyme Q10 and 0.32417 for α-tocopherol) (table 14)
A novel HPTLC method is reported for simultaneous estimation of coenzyme Q 10 and α-tocopherol. The developed method is validated as per ICH Q2R1 guidelines. It was found to be simple and reproducible as compared to the reported methods [18-21]. The literature survey reveals HPLC, FT-NIR methods for simultaneous estimation of co-enzyme Q10 and α-tocopherol. The present study uses HPTLC method for the estimation of said drugs, which is more economical and less time consuming.
There is no HPTLC method reported for the simultaneous estimation of co-enzyme Q10 and α-tocopherol. The developed HPTLC method was found to be fast, simple, sensitive and economic. The method was validated and found to be specific, linear, accurate, precise and robust. Hence the developed novel HPTLC method can be conveniently adopted for routine analysis of the Co-enzyme Q10 and α-tocopherol in bulk and in capsule formulation.
Experimental design, guidance, supervision and review work for the research was done by Dr. Anagha M. Joshi, Principal, SCES’s Indira College of Pharmacy, Tathawade, Pune. Experimental work, interpretation of result and writing of this manuscript was done by Manasi B. Kulkarni, PhD Research Scholar, PRIST University, Thanjavur and Assistant Professor, SCES’s Indira College of Pharmacy, Tathawade, Pune and Rohini Patil, Alard college of Pharmacy, Hinjewadi, Pune. All authors read and approve the final manuscript.
We have no conflicts of interest to declare
Sethi PD. Quantitative analysis of pharmaceutical formulations, high performance thin layer chromatography. 1st edition. CBS publisher and distributor; 2013.
Steven Lunetta, Mark Roman. Determination of Co-enzyme Q10 content in raw materials and dietary supplements by high-performance liquid chromatography-UV: collaborative study. J AOAC Int 2008;4:702–8.
Crane FL, Hatefi Y, Lester RI, Widmer C. Isolation of a quinone from beef heart mitochondria. Biochim Biophys Acta 1957;25:220–1.
Astridani Rizky Putranti, Riesta Primaharinastiti, Esti Hendradi. effectivity and physicochemical stability of nanostructured lipid carrier coenzyme Q10 in different ratio of lipid cetylpalmitate and alpha tocopheryl acetate as carrier. Asian J Pharm Clin Res 2017;10:146-52.
Anterpreet Chahal, Adesh K Saini, Anil Kumar Chhillar, Reena V Saini. Natural antioxidants as defense system against cancer. Asian J Pharm Clin Res 2018;11:38-44.
Raitakari OT, McCredie RJ, Witting P, Griffiths KA, Letter J, Sullivan D, et al. Coenzyme Q improves LDL resistance to ex vivo oxidation but does not enhance endothelial function in hypercholesterolemic young adults. Free Radical Biol Med 2000;28:1100–5.
Langsjoen P, Langsjoen A, Willis R, Folkers K. Treatment of essential hypertension with coenzyme Q10. Mol Aspects Med 1994;Suppl 15:S265-72.
Kendler BS. Recent nutritional approaches to prevention and therapy of cardiovascular disease. Prog Cardiovasc Nurs 1997;12:3–23.
Fernholz E. On the constitution of alpha-tocopherol. J Am Chem Soc 1938;3:700-5.
Flohe RB, Traber MG. α-tocopherol: function and metabolism. FASEB J 1999;13:1145–55.
Niki E, Saito T, Kawakami A, Kamiya A. Inhibition of oxidation of methyl linoleate in solution by α-tocopherol and vitamin C. J Biol Chem 1984;7:4177–82.
Niki E, Yamamoto Y, Komuro E, Sato K. Membrane damage due to lipid oxidation. Am J Clin Nutr 1991;1:201–5.
Dugan RE, Frigerio NA, Sieber JM. Colorimetric determination of vitamin A and its derivatives with trifluoroacetic acid. Anal Chem 1964;1:114–7.
Moreno P, Salvado V. Determination of eight water and fat soluble vitamins in multivitamin pharmaceutical formulation by high performance liquid chromatography. Food Chem 2000;4:535-43.
Helena M, Cabral M, Jose AG. An isocratic LC method for the simultaneous determination of vitamins A, C, E and β-carotene. J Pharm Biomed Anal 1999;2:399-400.
Mieko K, Yoshinori I. Simultaneous determination of retinol and tocopherols by high-performance liquid chromatography. J Chromatography 1992;2:372-6.
Kareti Srinivasa Rao. A simple and rapid HPLC method for the simultaneous determination of vitamin-a and vitamin-E in tablet dosage forms. Res J Chem Environ 2013;1:2-6.
Tang PH, Miles MV, DeGrauw A, Hershey A, Pesce A. HPLC analysis of reduced and oxidized coenzyme Q in human plasma. Clin Chem 2001;2:256-65.
Racz Anita, Vass Andrea, Heberger Karoly, Fodor Marietta. Quantitative determination of coenzyme Q10 from dietary supplements by FT-NIR spectroscopy and statistical analysis. Anal Bioanal Chem 2015;10:2887-98.
Johanna K Lang, Lester Packer. Quantitative determination of vitamin E and oxidized and reduced coenzyme Q by high-performance liquid chromatography with in-line ultraviolet and electrochemical detection. J Chromatogr 1987;385:109-17.
Claude Leray, Margaret D Andriamampandry, Monique Freund, Christian Gachet, Jean-Pierre Cazenave. Simultaneous determination of homologues of vitamin E and coenzyme Q and products of α-tocopherol oxidation. J Lipid Res 1998;39:2099-105.
ICH Q2 (R1). Validation of Analytical Procedure, Text and Methodology, ICH Harmonized Tripartite Guidelines; 2005.