Int J Pharm Pharm Sci, Vol 6, Issue 10, ??-??Original Article

SYNTHESIS, CHARACTERIZATION AND ANTIMICROBIAL STUDY OF SOME BENZENESULFONAMIDE BASED BIPYRAZOLES

KARAN SINGH1*, PAWAN K SHARMA2

1Akal School of Chemistry, Eternal University, Baru Sahib, Sirmour District, HP-173101, India, 2Department of Chemistry, Kurukshetra University, Kurukshetra, Haryana-136119, India.
Email: karansinghji@rediffmail.com

Received: 03 Sep 2014 Revised and Accepted: 02 Oct 2014


ABSTRACT

Objectives: To synthesize, characterize and evaluate antimicrobial properties of some benzenesulfonamide based bipyrazole.

Methods: The benzenesulfonamide based bipyrazole 1a-d & 2a-f have been synthesized by the reaction between 1-[1-aryl / (benzothiazol-2-yl)-5-hydroxy-3-methylpyrazol-4-yl]butane-1,3-diones 5 and 2-hydrazinobenzothiazoles or Aryl hydrazines 3. The structures of these compounds have been characterized from the rigorous analysis of their IR, 1H-NMR, HRMS and elemental analysis. These compounds were screened for their anti-microbial activity.

Results: The results revealed that compounds 1a, 2b and 2f exhibited good antibacterial activity and 1b, 1c, 2a, and 2d showed moderate antibacterial activity as compared with standard drug Ofloxacin.

Conclusion: This study provides the simple method for the synthesis of new benzenzenesulfonamide based bipyrazoles which plays important role in numerous bioactive compounds.

Keywords: Bipyrazole, Butane-1,3-diones, 2-Hydrazinobenzothiazoles, Arylhydrazines, Benzenesulfonamide, Anti-microbial.


INTRODUCTION

Benzenesulfonamide functional group plays important role in numerous bioactive compounds [1, 2]. The interest in this functional group has widened since the discovery of two Cyclooxygenase (COX) isoforms in the early 1990s [3-5]. Pyrazole derivatives have a long history of application in the agrochemical and the pharmaceutical industry [6, 7] as herbicides, insecticides [8, 9] and as part of biologically active pharmaceuticals [10, 11]. Celebrex [10], a currently marketed selective COX-2 inhibitor, is a pyrazole derivative incorporated with benzenesulfonamide functional group. In place of the central pyrazole ring a large no of heterocycles [1] such as thiophene, furanone, pyridine, thiazole, triazole and oxazole have been reported to possess good COX-2 inhibitory activity. There are only few examples of replacement of the aryl substituents with some heterocycles [10] have been reported to possess excellent potency and selectivity. Several COX-2 inhibitors containing sulfone / sulfonamide moiety have been withdrawn from the market or clinical development. In fact celecoxib is still in the market but being prescribed cautiously. Inhibition of carbonic anhydrase is another problem of sulfonamide class of compounds.

In view of above facts and observations, we have therefore, synthesized two series of compounds, namely, 1-[(4-aminosufonyl)phenyl]-3-methyl-5-[1-aryl/heterocyclyl-5-hydroxy-3-methylpyrazol-4-yl]pyrazoles (1a-d) and 1-aryl/heterocyclyl-3-methyl-5-[1-(4-aminosulfonyl)phenyl-5-hydroxy-3-methylpyrazol-4-yl]pyrazoles (2a-f), in which the 5-aryl substituent of the lead class 1,5-diarylpyrazoles have been replaced by a heterocyclyl pyrazole moiety.

Fig. 1

MATERIALS AND METHODS

All the chemicals required were purchased from the local suppliers and were purified by established methods. The melting points were recorded by open capillary method and are uncorrected. The purity and homogeneity of the synthesized compounds were routinely ascertained by the thin layer chromatography, performed on plates coated with silica gel-G. All compounds were isolated and purified by thin layer chromatography and column chromatography respectively. The visualization was done using iodine vapours and U. V. light chamber.

The 1H NMR spectra were recorded on a Bruker 300 MHz instrument using CDCl3 or DMSO-d6 solvents and TMS (Tetra methyl silane) as internal standard. Chemical shifts (δ) are reported in ppm and coupling constants J are given in Hz. IR spectra were recorded using KBr disks with a Buck Scientific IR M-500 infrared spectrometer. High-resolution mass spectra were measured on a Kratos MS-50 mass spectrometer.

Experimental

Synthesis of 4-[5-(1-substituted-5-hydroxy-3-methylpyrazol-4-yl]-3-methylpyrazol-1-yl]benzenesulfonamides (1) and 4-[5-hydroxy-3-methyl-4-(1-substituted-3-methylpyrazol-5-yl)pyrazol-1-yl]benzenesulfonamides (2)

Phenylhydrazone of DHAA (4a)

Dehydroacetic acid (DHAA) (3.36 g, 0.02 mol) was dissolved in ethanol (50 ml) by warming and phenylhydrazine (2 ml, 0.02 mol) was added in it while shaking. The contents were stirred for 10 min. and allowed to stand at room temperature for 2 hrs. The yellow solid so obtained was filtered, crystallized from acetonitrile, mp 211ο (mp 212ο [12]) yield 81%.

Other hydrazones of DHAA (4b-4d) were prepared similarly by treating DHAA with corresponding hydrazines.

4-Chlorophenylhydrazone of DHAA (4b)

mp 250ο (mp 252ο[12]), yield 66%.

6-Chlorobenzothiazol-2-ylhydrazone of DHAA (4c)

mp 185-186ο (mp 186ο[13]), yield 60%.

4-Sulfamoylphenylhydrazone of DHAA (4d)

mp 232-234ο, yield 70%, IR (KBr) cm-1: 3309-3081 (br, O-H & N-H stretch), 1716 (s, C=O stretch), 1317 & 1149 (s, SO2 stretch), 1H NMR (CDCl3, 300MHz): δ 2.28 (s, 3H, pyrone C6-CH3), 2.64 (s, 3H, CH3-C=N-), 6.01 (s, 1H, pyrone C5-H),7.10-7.13 (d, 2H, J=8.8Hz, C3′-H & C5′-H), 7.71-7.68 (d, 2H, J=8.8Hz, C2′-H & C6′-H)

1-[5-Hydroxy-3-methyl-1-phenylpyrazol-4-yl]butane-1,3-dione (5a)

Phenylhydrazone of DHAA (0.01 mol) was dissolved in glacial acetic acid (30 ml) and the solution refluxed for 1.5 hrs. The solvent was distilled off at reduced pressure and the residue was crystallized from acetonitrile, mp 101ο (mp 101-102ο[12]), yield 66%.

All other compounds were synthesized by following the above procedure.

1-[1-(4-Chlorophenyl)-5-hydroxy-3-methylpyrazol-4-yl]butane-1,3-dione (5b)

mp 150ο(mp 151ο[12]), yield 67%.

1-[1-(6-Chlorobenzothiazol-2-yl)-5-hydroxy-3-methylpyrazol-4-yl]butane-1,3-dione (5c)

mp 216ο (mp 217ο[13]), yield 63%.

1-[1-(4-Sulfamoylphenyl)-5-hydroxy-3-methylpyrazol-4-yl]-butane-1,3-dione (5d)

mp 195-197ο, yield 55%, IR (KBr) cm-1: 3294 & 3174 (br, O-H & N-H stretch), 1666 (s, C=O stretch), 1324 & 1159 (s, SO2 stretch). 1H NMR (CDCl3, 300MHz): δ 2.12 (s, 3H, -CO-CH3), 2.51 (s, 3H, pyrazolone C3-CH3), 6.65 (s, 2H, -CO-CH2-CO-), 7.90-8.01 (m, 4H, C2′-H, C3′-H, C5′-H & C6′-H).

4-[5-(5-hydroxy-3-methyl-1-phenylpyrazol-4-yl)-3-methylpyrazol-1-yl]benzenesulfonamide (1a)

To an ethanolic solution of 1-[5-hydroxy-3-methyl-1-phenylpyrazol-4-yl]butane-1,3-dione (5 mmol) was added 4-sulfamoyl phenylhydrazine (5 mmol) and the contents having a few drops of concentrated HCl were refluxed for 3 hrs. The reaction mixture was concentrated and cooled at room temperature. A crystalline solid was obtained, filtered and dried. mp 152-154ο, yield 51%, IR (KBr) cm-1: 3570 (m, O-H stretch), 3394 & 3315 (m, N-H stretch), 1624 (s, N-H bend), 1335 & 1162 (s, SO2 stretch). 1H NMR (CDCl3/DMSO-d6): δ1.95 (s, 3H, pyrazolone C3′-CH3), 2.36 (s, 3H, pyrazole C3-CH3), 6.29 (s, 1H, pyrazole C4-H), 7.22-7.27 (t, 1H, J=7.6Hz, C4′″-H), 7.38-7.43 (t, 2H, J=7.6Hz, C3′″-H & C5′″-H), 7.53-7.56 (d, 2H, J=8.6Hz, C2″-H & C6″-H), 7.67-7.70 (d, 2H, J=7.6Hz, C2′″-H & C6′″-H), 7.85-7.88 (d, 2H, J=8.6Hz, C3″-H & C5″-H); MS: m/z 409.1212 (M+, 35.5%); Anal. Found: C, 58.45; H, 4.80; N, 17.51%. Calcd. for C20H19N5O3S: C, 58.67; H, 4.68; N, 17.10%.

4-[5-{1-(4-chlorophenyl)-5-hydroxy-3-methylpyrazol-4-yl}-3-methylpyrazol-1-yl]benzenesulfonamide (1b)

mp 187-189ο, yield 53%, IR (KBr) cm-1:3360 (m, O-H stretch), 3230 & 3105 (m, N-H stretch), 1642 (s, N-H bend), 1336 & 1163 (s, SO2 stretch); 1H NMR (CDCl3/DMSO-d6): δ2.01 (s, 3H, pyrazolone C3′-CH3), 2.43 (s, 3H, pyrazole C3-CH3), 6.36 (s, 1H, pyrazole C4-H), 7.38-7.41 (d, 2H, J=8.5Hz, C3′″-H & C5′″-H), 7.56-7.59 (d, 2H, J=8.2Hz, C2″-H & C6″-H), 7.67-7.70 (d, 2H, J=8.5Hz, C2′″-H & C6′″-H), 7.91-7.94 (d, 2H, J=8.2Hz, C3″-H & C5″-H); MS: m/z 445.0834 / 443.0826 (M++2 / M+, 13.4%); Anal. Found: C, 58.37; H, 4.48; N, 15.51%. Calcd. for C20H18ClN5O3S: C, 54.11; H, 4.09; N, 15.78%.

4-[5-{1-(6-chlorobenzothiazol-2-yl)-5-hydroxy-3-methyl pyrazol-4-yl}-3-methylpyrazol-1-yl]benzenesulfonamide (1c)

mp 276-277ο, yield 52%, IR (KBr) cm-1: 3355-3058 (br, O-H & N-H stretch), 1648 (s, N-H bend), 1338 & 1161 (s, SO2 stretch); 1H NMR (CDCl3/DMSO-d6): δ2.00 (s, 3H, pyrazolone C3′-CH3), 2.37 (s, 3H, pyrazole C3-CH3), 6.33 (s, 1H, pyrazole C4-H), 7.40-7.44 (dd, 1H, J=8.5 & 1.9Hz, C5′″-H), 7.60-7.63 (d, 2H, J=8.6Hz, C2″-H & C6″-H), 7.72-7.75 (d, 1H, J=8.5Hz, C4′″-H), 7.85-7.86 (d, 1H, J=1.9Hz, C7′″-H), 7.89-7.92 (d, 2H, J=8.6Hz, C3″-H & C5″-H); MS: m/z 502.0460 / 500.0491 (M++2 / M+, 100%); Anal. Found: C, 50.67; H, 3.68; N, 16.93%. Calcd. for C20H17ClN6O3S2: C, 50.35; H, 3.42; N, 16.78%.

4-[5-hydroxy-3-methyl-4-{3-methyl-1-(4-sulfamoylphenyl)pyrazol-5-yl}pyrazol-1-yl]benzenesulfonamide (1d)

mp 284ο(decomp), yield 54%, IR (KBr) cm-1: 3596 (m, O-H stretch), 3374 & 3272 (m, N-H stretch), 1625 (s, N-H bend), 1330 & 1160 (s, SO2 stretch); 1H NMR (CDCl3/DMSO-d6): δ1.95 (s, 3H, pyrazolone C3′-CH3), 2.38 (s, 3H, pyrazole C3-CH3), 6.30 (s, 1H, pyrazole C4-H), 7.57-7.60 (d, 2H, J=8.1Hz, C2″-H & C6″-H), 7.86-7.93 (m 6H, C3″-H, C5″-H, C2′″-H, C3′″-H, C5′″-H & C6′″-H); MS: m/z 488.0941 (M+, 47.9%); Anal. Found: C, 49.52; H, 4.38; N, 16.93%. Calcd. for C20H20N6O5S2: C, 49.17; H, 4.13; N, 17.20%.

4-[5-hydroxy-3-methyl-4-(3-methyl-1-phenylpyrazol-5-yl)pyrazol-1-yl]benzenesulfonamide (2a)

mp 199-200ο, yield 42%, IR (KBr) cm-1: 3431 (m, O-H stretch), 3294 & 3216 (m, N-H stretch), 1650 (s, N-H bend), 1332 & 1170 (s, SO2 stretch); 1H NMR (CDCl3/DMSO-d6): δ 1.91 (s, 3H, pyrazolone C3′-CH3), 2.48 (s, 3H, pyrazole C3-CH3), 6.46 (s, 1H, pyrazole C4-H), 6.96-7.49 (m, 8H, C2″-H, C3″-H, C4″-H, C5″-H, C6″-H, pyrazole C5-OH & C4′″-SO2NH2), 7.94 (bs, 4H, C2′″-H, C3′″-H, C5′″-H & C6′″-H); MS: m/z 409.1204 (M+, 37.1%); Anal. Found: C, 58.40; H, 4.78; N, 17.51%. Calcd. for C20H19N5O3S: C, 58.67; H, 4.68; N, 17.10%.

4-[4-{1-(4-chlorophenyl)-3-methylpyrazol-5-yl}-5-hydroxy-3-methylpyrazol-1-yl]benzenesulfonamide (2b)

mp 290ο, yield 53%, IR (KBr) cm-1: 3410 (m, O-H stretch), 3345 & 3270 (m, N-H stretch), 1553 (s, N-H bend), 1336 & 1163 (s, SO2 stretch); 1H NMR (CDCl3/DMSO-d6): δ 1.99 (s, 3H, pyrazolone C3′-CH3), 2.37 (s, 3H, pyrazole C3-CH3), 6.89 (bs, 2H, pyrazole C4-H & pyrazolone C5′-OH), 7.39-7.42 (d, 2H, J=8.8Hz, C3″-H & C5″-H), 7.48-7.51 (d, 2H, J=8.8Hz, C2″-H & C6″-H), 7.93-7.96 (d, 2H, J=8.7Hz, C2′″-H & C6′″-H), 8.11-8.14 (d, 2H, J=8.7Hz, C3′″-H & C5′″-H); MS: m/z 445.0781 / 443.0827 (M++2 / M+, 32.0%); Anal. Found: C, 58.29; H, 4.28; N, 16.93%. Calcd. for C20H19N5O3S: C, 58.67; H, 4.68; N, 17.11%.

4-[4-{1-(2,4-dichlorophenyl)-3-methylpyrazol-5-yl}-5-hydroxy-3-methylpyrazol-1-yl]benzenesulfonamide (2c)

mp 158-160ο, yield 59%, IR (KBr) cm-1: 3510 (m, O-H stretch), 3214 & 3136 (m, N-H stretch), 1587 (s, N-H bend), 1337 & 1185 (s, SO2 stretch); 1H NMR (CDCl3/DMSO-d6): δ 2.04 (s, 3H, pyrazolone C3′-CH3), 2.37 (s, 3H, pyrazole C3-CH3), 6.26 (s, 1H, pyrazole C4-H), 7.28-7.32 (dd, 1H, J=8.6 & 2.3Hz, C5″-H), 7.43-7.44 (d, 1H, J=2.3Hz, C3″-H), 7.52-7.55 (d, 1H, J=8.6Hz, C6″-H), 7.83-7.86 (d, 2H, J=8.8Hz, C2′″-H & C6′″-H), 7.89-7.92 (d, 2H, J=8.8Hz, C3′″-H & C5′″-H); MS: m/z 481.0631 / 479.0542 / 477.0431 (M++4 / M++2 / M+, 52.3%); Anal. Found: C, 50.11; H, 4.01; N, 14.51%. Calcd. for C20H17Cl2N5O3S: C, 50.22; H, 3.58; N, 14.64%.

4-[5-hydroxy-3-methyl-4-{3-methyl-1-(6-methylbenzothiazol-2-yl)pyrazol-5-yl}pyrazol-1-yl]benzenesulfonamide (2d)

mp 298ο, yield 54%, IR (KBr) cm-1: 3499 (m, O-H stretch), 3110 & 3059 (m, N-H stretch), 1633 (s, N-H bend), 1331 & 1163 (s, SO2 stretch); 1H NMR (CDCl3/DMSO-d6): δ 2.27 (s, 3H, pyrazolone C3′-CH3), 2.41 (s, 3H, pyrazole C3-CH3), 2.48 (s, 3H, C6″-CH3), 6.34 (s, 1H, pyrazole C4-H), 6.82 (bs, 2H, C4′″-SO2NH2), 7.27-7.30 (dd, 1H, J=8.3 & 1.1Hz, C5″-H), 7.64 (d, 1H, J=1.1Hz, C7″-H), 7.66-7.68 (d, 1H, J=8.3Hz, C4″-H), 7.99-8.02 (d, 2H, J=8.8Hz, C2′″-H & C6′″-H), 8.07-8.10 (d, 2H, J=8.8Hz, C3′″-H & C5′″-H); MS: m/z 480.1041 (M+, 100%); Anal. Found: C, 54.58; H, 4.03; N, 17.51%. Calcd. for C22H20N6O3S: C, 54.98; H, 4.19; N, 17.49%.

4-[4-{1-(6-chlorobenzothiazol-2-yl)-3-methylpyrazol-5-yl}-5-hydroxy-3-methylpyrazol-1-yl]benzenesulfonamide (2e)

mp 300ο(decomp), yield 65%, IR (KBr) cm-1: 3511-3077 (br, O-H & N-H stretch), 1630 (s, N-H bend), 1332 & 1162 (s, SO2 stretch); 1H NMR (CDCl3/DMSO-d6): δ 2.23 (s, 3H, pyrazolone C3′-CH3), 2.41 (s, 3H, pyrazole C3-CH3), 6.35 (s, 1H, pyrazole C4-H), 6.82 (bs, 2H, C4′″-SO2NH2), 7.38-7.41 (dd, 1H, J=8.7 & 1.8Hz, C5″-H), 7.69-7.72 (d, 1H, J=8.7Hz, C4″-H), 7.82-7.83 (d, 1H, J=1.8Hz, C7″-H), 7.97-8.00 (d, 2H, J=8.9Hz, C2′″-H & C6′″-H), 8.04-8.07 (d, 2H, J=8.9Hz, C3′″-H & C5′″-H); MS: m/z 502.0460 / 500.0500 (M++2 / M+, 100%); Anal. Found: C, 50.05; H, 3.61; N, 16.48%. Calcd. for C22H17ClN6O3S2: C, 50.35; H, 3.42; N, 16.78%.

4-[5-hydroxy-4-{1-(6-methoxybenzothiazol-2-yl)-3-methyl pyrazol-5-yl}-3-methylpyrazol-1-yl]benzenesulfonamide (2f)

mp 304ο, yield 73%, IR (KBr) cm-1: 3500-3083 (br, O-H & N-H stretch), 1627 (s, N-H bend), 1334 & 1165 (s, SO2 stretch). 1H NMR (CDCl3/DMSO-d6): δ 2.19 (s, 3H, pyrazolone C3′-CH3), 2.39 (s, 3H, pyrazole C3-CH3), 3.86 (s, 3H, C6″-OCH3), 6.36 (s, 1H, pyrazole C4-H), 6.99-7.03 (dd, 1H, J=8.9 & 2.5Hz, C5″-H), 7.18 (bs, 1H, pyrazolone C5′-OH), 7.38-7.39 (d, 1H, J=2.5Hz, C7″-H), 7.62-7.65 (d, 1H, J=8.9Hz, C4″-H), 7.94-7.97 (d, 2H, J=8.8Hz, C2′″-H & C6′″-H), 8.01-8.04 (d, 2H, J=8.8Hz, C3′″-H & C5′″-H); MS: m/z 496.0979 (M+, 100%); Anal. Found: C, 53.35; H, 3.92; N, 16.78%. Calcd. for C22H20N6O4S2 requires: C, 53.21; H, 4.06; N, 16.92%.

Evaluation of antibacterial activity

A Disc Diffusion Method (Kirby Bauer Method) was employed for the in vitro study of antibacterial activity against two gram positive bacteria namely Staphylococcus aureus and Bacillus subtilis and two gram negative bacteria namely Salmonella species and Pseudomonas species. Ofloxacin was used as standard drug.

Approximately 4 to 5 well isolated colonies of the bacterial strain are inoculated into 5 ml of nutrient broth and incubated at 37°C. After standardization of bacterial suspension, sterile cotton swap was immerged in it and the swap was rotated several times, with firm pressure on the inside wall of the tube to remove excess fluid. Nutrient agar media plate was prepared with a depth of 4 mm (millimetre).

Dried surface of nutrient agar plate was inoculated by streaking the swab 3 times over the entire agar surface. Antibacterial impregnated disc was placed on the surface of the agar using sterile forceps and disc was pressed gently to provide uniform contact. Compounds (1a-1d and 2a-2f) were evaluated for antibacterial activity.

RESULTS AND DISCUSSION

Condensation of appropriate hydrazine and 1,3-diketone is one of the most widely used methods for the synthesis of pyrazoles. Mechanism of this apparently simple reaction still evolves a lot of interest in the scientific community as complications are encountered in the delineation of reaction pathways when a substituted hydrazine and an unsymmetrical 1,3-diketone react.

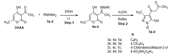
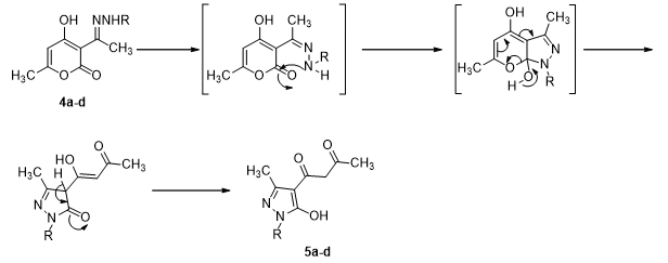
The present study concerns the preparation of bipyrazoles incorporated with benzenesulfonamide functional group. The reaction of dehydroacetic acid (DHAA) with aryl / benzothiazol-2-yl hydrazines (3a-d) in ethanol resulted in the formation of hydrazones (4a-d) which on refluxing in acetic acid underwent a rearrangement involving a nitrogen nucleophilic attack at the C2-lactone carbonyl with ring opening to yield 1-[1-aryl / (benzothiazol-2yl)-5-hydroxy-3-methylpyrazol-4-yl]-butane-1,3-diones (5a-d) (Scheme 1).

Various arylhydrazines [15] and 2-hydrazinobenzothiazoles [16] needed for the present study, were prepared according to the literature procedures. The bipyrazoles (1a-d) were prepared by the reaction between 1-[1-aryl / (benzothiazol-2yl)-5-hydroxy-3-methylpyrazol-4-yl]-butane-1,3-diones (5a-d) and (4-aminosulfonyl)phenyl hydrazine as shown in scheme-3.

Scheme 1

A plausible mechanism [14] for the formation of 1-[1-aryl / (benzothiazol-2yl)-5-hydroxy-3-methylpyrazol-4-yl]-butane-1,3-diones (5a-d) is outlined in Scheme 2.

Scheme 2

Scheme 3


Table 1: The physical data of substituted hydrazones (4a-d) and diketones (5a-d)

Compound No. Structure Formula MW amp (oC) bYield %
4a C14H14N2O3 258.27 211-212 (212) 81
4b C14H13ClN2O3 292.72 250-252 (252) 66
4c C15H12ClN3O3S 349.79 185-186 (186) 60
4d C14H15N3O5S 337.35 232-234 70
5a C14H14N2O3 258.27 100-101 (102) 66
5b C14H13ClN2O3 292.72 150 (151) 67
5c C15H12ClN3O3S 349.79 216 (217) 63
5d C14H15N3O5S 337.35 195-197 55

auncorrected melting points, bsynthesized yields

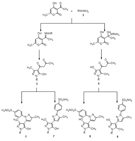
Formally, Dehydroacetic acid (DHAA) possesses four sites for nucleophilic attack [17]. In principle, the condensation of either of the two nitrogen atoms of the hydrazine can occur on the side chain carbonyl group of DHAA followed by acidic arrangement involving a nitrogen nucleophilic attack at the C2-lactone carbonyl with ring opening leads to the formation of two isomeric β-diketones which on reaction with (4-aminosulfonyl)phenylhydrazine can yield four isomeric (bipyrazolyl)benzenesulfonamides (Scheme 4).

Scheme 4

However, the determination of β-diketone structure will simplify the problem of assigning one of the four isomeric (bipyrazolyl) benzenesulfonamides. Literature results [18] showed that the secondary nitrogen atom is less nucleophilic than primary nitrogen atom; the most probable route for this reaction seems to be that leading to the formation of β-diketone 5. The formation of β-diketone 5 is also supported by the similar results obtained in the literature [12, 14]. Further NOE experiment study provided convincing evidence that the β-diketone in our case is 5 not isomer 6. Therefore, possibility of formation of (bipyrazolyl)benzene sulfonamides 8 and 9 stand discarded.

In the event, condensation of β-diketone 5a with (4-aminosulfonyl) phenylhydrazine in absolute ethanol containing few drops of conc. HCl resulted in the formation of hydrazone followed by cyclization through an intramolecular Friedel-Crafts reaction yielded only a single product as confirmed by thin layer chromatography (TLC) and the 1H NMR spectra. The structure of this product was assigned as 4-[5-(5-hydroxy-3-methyl-1-phenylpyrazol-4-yl)-3-methylpyrazol-1-yl]benzenesulfonamide (1a), based on a rigorous analysis of its 300 MHz 1H NMR spectrum. The 300 MHz 1H NMR spectrum of compound 1a showed two three-proton singlets due to two methyl groups appearing at δ1.95 and δ2.36 in the aliphatic region. It has earlier been observed through the NOE experimental study that upfield signal is due to methyl group located on the pyrazolone moiety (C3'-CH3) while the downfield signal is due to methyl group located on the pyrazole moiety (C3-CH3) [19].

The unexpected shielding of the 3-methyl protons of the pyrazolone moiety can be explained on the basis that the C3'-CH3 protons fall in the shielding zone of the phenyl ring. The signal of the C3-CH3 group at δ2.36 in DMSO-d6 is singlet which showed that there is no coupling between this methyl group and C4-H. This is the characteristics of a methyl group in position 3 of the pyrazole ring [20]. Had it been the isomeric 7a, the signal for the methyl group would show allylic coupling of 0.5-0.7 Hz with C4-H. These observations all support the structure 1a for the isolated product.

Other compounds in this series 1b-1d were prepared following the procedure similar to that adopted for 1a by the reaction between β-diketones 5 and (4-aminosulfonyl)phenyl hydrazine. Their elemental analyses as well as spectral data were consistent with the assigned structures of all the new compounds.

After successful synthesis of compounds 1a-d, we focused our attention on the synthesis of regioisomeric compounds 2a-f in which the (4-aminosulfonyl)phenyl substituent is shifted to N-1 of pyrazolone moiety from the N-1 of the pyrazole ring. In a way it will amount to the shifting of the (4-aminosulfonyl)phenyl grouping from N-1 to the substituent at the 5-position of the pyrazole ring in the lead class 1,5-diarylpyrazoles. 1-Aryl/heterocyclyl-3-methyl-5-[1-(4-aminosulfonyl) phenyl-5-hydroxy-3-methyl pyrazol-4-yl] pyrazoles (2a-f) were synthesized by the reaction of 1-[1-(4-aminosulfonyl) phenyl-5-hydroxy-3-methylpyrazol-4-yl]-1,3-butandione (5d) with various aryl/heterocyclyl hydrazines following a reaction sequence similar to as shown earlier in Scheme 3.

Table 2: The physical data of bipyrazoles (1a-d) and (2a-f)

Compound No. Structure Formula MW amp (oC) bYield %
1a C20H19N5O3S 409.46 152-154 51
1b C20H18ClN5O3S 443.91 187-189 53
1c C21H17ClN6O3S2 500.98 276-277 52
1d C20H20N6O5S2 488.54 284 (decomp) 54
2a C20H19N5O3S 409.46 199-200 42
2b C20H18ClN5O3S 443.91 290 53
2c C20H17Cl2N5O3S 478.35 158-160 59
2d C22H20N6O3S2 480.56 298 54
2e C21H17ClN6O3S2 500.98 300(decomp) 65
2f C22H20N6O4S2 496.56 304 73

auncorrected melting points, bsynthesized yields

Table 3: Antibacterial activity of synthesized compounds

Zone of Inhibition in mm (millimetre)

Compounds

Salmonella sp

% Inhibition

Pseudomonas sp.

% Inhibition

S. aureus

% Inhibition

B. subtilis

% Inhibition

1a

17.4±1.000

60.83

17.2±0.866

60.35

19.2±0.860

67.36

16.8±2.160

54.01

1b

15.2±1.000

53.14

14.9±0.866

52.28

16.9±0.860

59.30

14.8±2.160

47.59

1c

14.4±1.000

50.34

13.6±0.866

47.72

15.5±0.860

54.38

13.8±2.160

44.37

1d

13.3±1.000

46.50

13.1±0.866

45.96

15.1±0.860

52.98

15.8±2.160

50.80

2a

16.2±1.000

56.64

16.5±0.866

57.89

19.5±0.860

68.42

14.6±2.160

46.94

2b

17.8±1.000

62.23

17.2±0.866

60.35

19.2±0.860

67.36

17.3±2.160

55.63

2c

12.6±1.000

44.05

12.2±0.866

42.80

15.2±0.860

53.33

12.8±2.160

41.15

2d

14.9±1.000

52.09

14.2±0.866

49.82

17.2±0.860

60.35

14.6±2.160

46.94

2e

12.3±1.000

43.00

12.2±0.866

42.80

14.2±0.860

49.82

12.9±2.160

41.48

2f

18.2±1.000

63.63

17.7±0.866

62.10

16.7±0.860

58.59

18.1±2.160

58.20

Ofloxacin

28.6±1.890

100

28.5±1.800

100

28.5±1.510

100

31.1±1.500

100

Data presented in Mean ± SD (N=3), Concentration of derivatives = 25µg/dish, Concentration of Ofloxacin = 25µg/ml

Evaluation of antibacterial Activity

The compounds were evaluated for antibacterial activity using disc diffusion method. A few of the compounds showed moderate activity comparing to standard drug. The data is given in the Table-3.

The results revealed that compounds 1a, 2b and 2f exhibited good antibacterial activity and 1b, 1c, 2a, and 2d showed moderate antibacterial activity as compared with standard drug Ofloxacin.

CONCLUSION

This study provides the simple method for the synthesis of new benzenzenesulfonamide based bipyrazoles which plays important role in numerous bioactive compounds. The compounds were evaluated for antibacterial activity using disc diffusion method. The results revealed that compounds 1a, 2b and 2f exhibited good antibacterial activity and 1b, 1c, 2a, and 2d showed moderate antibacterial activity as compared with standard drug Ofloxacin.

CONFLICT OF INTERESTS

Declared None

ACKNOWLEDGEMENT

We are grateful to the Mass Spectrometry Facility, University of California, San Francisco which is supported by the Biomedical Research Technology Program, for providing mass spectra and to Sh. Avtar Singh, RSIC Panjab University, Chandigarh for 1H NMR spectra and to Sh. Manjit Singh, Department of Chemistry, Kurukshetra University, Kurukshetra for IR spectra. Financial support from the Ranbaxy Research Laboratories Ltd, Gurgaon is gratefully acknowledged.

REFERENCES

  1. Oinuma H, Takamura T, Hasegava T, Nomoto K, Naitoh T, Daiku Y, et al. Synthesis and biological evaluation of substituted benzenesulfonamides as novel potent membrane-bound phospholipase A2 inhibitors. J Med Chem 1991;34:2260-67.
  2. Dannhardt G, Kiefer W. Cyclooxygenase inhibitors-current status and future prospects. Eur J Med Chem 2001;36:109-26.
  3. Xie W, Chipman JG, Robertson DL, Erikson RL, Simmons DL. Expression of a mitogen-responsive gene encoding prostaglandin synthase is regulated by mRNA splicing. Proc Natl Acad Sci USA 1991;88:2692-6.
  4. Kujubu DA, Fletcher BS, Varnum BC, Lim RW, Herschman HR. TIS10, a phorbol ester tumor promoter-inducible mRNA from Swiss 3T3 cells, encodes a novel prostaglandin synthase/ cyclooxygenase homologue. J Biol Chem 1991;266:12866-72.
  5. Hla T, Neilson K. Human cyclooxygenase-2 cDNA. Proc Natl Acad Sci USA 1992;89:7384-8.
  6. Elguero J. Pyrazole and their Benzo derivatives, In Comprehensive Heterocyclic Chemistry Vol. 5, Katritzky AR, Rees CW. Eds; Pergamon Press, Oxford; 1984. p. 182.
  7. Elguero J. In Comprehensive Heterocyclic Chemistry II; Katritzky AR, Rees CW, Scriven EFV. (Eds.), Pergamon-Elsevier Science: Oxford; 1996. p. 1-75.
  8. Schallner O. Herbicides from pyrazole derivatives; Bayer AG. Fed Rep Ger, Ger Offen 1986;DE 3402308;Chem Abstr104, 34075j.
  9. Eto M. Bioorganic Chemistry of Pesticides research and Development (Japan): Soft Science, Inc., Tokyo, Japan; 1985. p. 519-37.
  10. Penning TD, Talley JJ, Bertenshaw SR, Carter JS, Collins PW, Doctor S, et al. Synthesis and biological evaluation of the 1,5-diarylpyrazole class of cyclooxygenase-2 inhibitors: identification of 4-[5-(4-methylphenyl)-3-(trifluoromethyl)-1H-pyrazol-1-yl]benzenesulfonamide. J Med Chem 1997;40:1347-65.
  11. Madsen U, Slok FA, Stensbol TB, Brauner-Osborne H, Lutzhoft HH, Poulsen MV, et al. Ionotropic excitatory amino acid receptor ligands. Synthesis and pharmacology of a new amino acid AMPA antagonist. Eur J Med Chem 2000;35:69-76.
  12. Gelin S, Chantegrel B, Nadi AI. Synthesis of 4-(acylacetyl)-1-phenyl-2-pyrazolin-5-ones from 3-acyl-2H-pyran-2,4(3H)-diones. Their synthetic applications to functionalized 4-oxopyrano[2,3-c]pyrazole derivatives. J Org Chem 1983;48(22):4078-82.
  13. Singh SP, Prakash O, Vaid RK. Reaction of 2-hydrazino-4-methyl-6-methoxyquinoline with dehydroacetic acid: formation of some novel products. Indian J Chem 1984;23B:191-2.
  14. Ranjana A, Chinu R, Chetan S, Aneja KR. Synthesis and biological evaluation of new 1-(4,6-dimethylpyrimidin-2-yl)-1′-aryl/heteroaryl-3,3′-dimethyl-(4,5′-bipyrazol)-5-ols as antimicrobial agents. Rep Org Chem 2013;3:13-22.
  15. Soliman R. Preparation and antidiabetic activity of some sulfonylurea derivatives of 3,5-disubstituted pyrazoles. J Med Chem 1979;22(3):321-5.
  16. Sawhney SN, Tomer RK, Prakash O, Prakash I, Singh SP. Benzothiazole derivatives: part XI-Synthesis and anti-inflammatory activity of some 2-(3',5'-dimethyl-4'-substituted-pyrazole-1'-yl)benzothiazoles. Indian J Chem 1981;20B:314-6.
  17. Stephen JF, Marcus E. Reactions of dehydroacetic acid and related pyrones with secondary amines. J Org Chem 1969;34:2527-34.
  18. Singh K, Sharma PK, Dhawan SN, Singh SP. Synthesis and characterization of some novel indeno [1,2-c]pyrazoles. J Chem Res 2005;8:526-9.
  19. Grover M. Dissertation, Kurukshetra University: Kurukshetra, India; 1987.
  20. Elguero J. In Comprehensive Heterocyclic Chemistry II; Katritzky AR, Rees CW, Scriven EFV. (Eds.), Pergamon-Elsevier Science: Oxford; 1984;5(4A):167-304.