aBioanalytical Research Department, Lupin Bio-Research Center, Pashan, Pune 411021, Maharastra State, India. bPhD Research scholar*, Faculty of Pharmacy, Pacific University, P.B.-12 Pacific Hills, Airport Road, Pratap Nagar Extension, Debari, Udaipur 313024, Rajasthan State, India. cFaculty of Science, Pacific University, P.B.-12 Pacific Hills, Airport Road, Pratap Nagar Extension, Debari, Udaipur 313024, Rajasthan State, India.
Email: ashishsaxena@lupinpharma.com
Received: 03 Aug 2014 Revised and Accepted: 05 Sep 2014
ABSTRACT
Objective: A rapid and selective quantitative method was developed and validated in human plasma for urapidil pharmacokinetic study in healthy Indian volunteers.
Methods: The ultra-performance liquid chromatography–tandem mass spectrometry (UPLC-MS/MS) method with solid-phase extraction technique utilized Strata X 33µ polymeric reversed phase (30 mg/mL), extraction cartridge. Simple gradient chromatographic conditions and selective reaction monitoring in mass spectrometric detection enabled accurate and precise measurement of urapidil at nanogram levels in 0.1 mL of human plasma. The method used a deuterium labeled internal standard.
Results: The method was validated for a linear range of 5–500 ng/mL for urapidil with a correlation coefficient ≥099. The intra-run and inter-run precision and accuracy were within 10%. The overall recoveries for urapidil and urapidil D4 were more than 90%. The urapidil was found to be stable in plasma matrix and aqueous media.
Conclusion: The developed and validated method was specific, sensitive and reproducible in the analysis of clinical samples interspersed with quality control samples under freshly prepared calibration standards. The method was applied for the determination of the pharmacokinetic parameters of urapidil following a single oral administration of urapidil 60 mg capsules in nineteen healthy Indian male volunteers for fasting and fed study.
Keywords: Urapidil, UPLC–MS/MS, Human plasma, Pharmacokinetic study, Solid phase extraction
INTRODUCTION
Urapidil (6-{3-[4-(2-o-methoxyphenyl)-1-piperazinyl]-propylamino} -1, 3-dimethyluracil), is a derivative of pyrimidinedione. It has a melting point range of 156-158 °C and the pKa is 7.01. Its molecular formula and molecular mass is C20H29N5O3 and 387.48 g/mol, respectively [1]. Urapidil is a sympatholytic antihypertensive drug. It blocks peripheral α1-adrenergic receptors and also stimulates central serotonin 1A (5-hydroxytryptamine) (5-HT1A) receptors [2]. It prevents vasoconstrictive action of catecholamines resulting peripheral vasodilation to decrease blood pressure. The absolute bioavailability is approximately 72% the protein binding is 80%. Urapidil divides rapidly over the tissues. Urapidil is metabolised mainly to the p-hydroxy-urapidil, whose pharmacology activity in humans is not known. In addition, slightly (4%) the O-desmethyl urapidil formed has the same activity as urapidil. 50-70% of the amount of renal urapidil is excreted, about 15% as unchanged drug [3-7].
Reported literature has mentioned, to assess the effect of urapidil on fibrinogen concentration [8]. The pharmacological animal studies [9-13] and in patient studies [14-16] for the pharmacokinetics and pharmacodynamic evaluation of urapidil was done in last decades.
Veltkamp AC et al. reported the post-column ion-pair extraction to the on-line radiometric determination of [(14)C]-urapidil and its main metabolises in reversed-phase liquid chromatography (LC) [17]. Large sample volume (1-2 mL) and injection volume (100-50 µL) was used into the automated pre-column system, followed by high-performance liquid chromatography with electrochemical detection by Zech K et al. [18]. A sensitive flow-injection (FI) chemiluminescence (CL) method was developed for the determination of urapidil in pharmaceutical preparation, human urine, and serum by Q. Yue et al. [19]. The urapidil was analyzed in rat plasma by LC-MS/MS and liquid-liquid extraction protocol is followed for a linearity range of 0.1-500 ng/mL by Nirogi R et al. [20]. The aliquots of 0.3 mL plasma was used for Liquid-liquid extraction by ethyl acetate and injected 20 µL to detect urapidil in human plasma in which the linearity range was 2–2503.95 ng/mL and recovery was 74.53%.
This method was developed and validated by Ambavaram VBR et al. [21]. As the described methods were liquid-liquid extraction, it was felt necessary to develop a simple, specific, rapid, selective and sensitive analytical method for the quantification of urapidil in human plasma using solid phase extraction with as little as 0.1 mL sample volume.
This paper describes development and validation of a LC–MS/MS method for the quantification of urapidil in human plasma having reduced plasma volume and analytical run time with a lower limits of quantification (LOQ) 5.201 ng/mL. Urapidil D4 was used as internal standard.
MATERIAL AND METHODS
Chemicals and reagents
The analytical standards of urapidil and urapidil D4 were obtained from Clearsynth (Mumbai, India). High purity water was prepared in-house using a Milli-Q water purification system obtained from Millipore (Bangalore, India). Gradient grade methanol and acetonitrile were purchased from Merck (Darmstadt, Germany). GR-grade orthophosphoric acid and reagent grade ammonium formate were purchased from Merck (Darmstadt, Germany). Drug-free (blank) buffered human plasma was obtained from Drug Monitoring Research Institute (Mumbai, India) and was stored at –20°C prior to use.
Calibration curves
Stock solutions of urapidil and internal standard, urapidil D4 were prepared in methanol:water (50/50, v/v) at the concentration of 250 µg/mL and 150 µg/mL, respectively. Secondary and working standard solutions were prepared from stock solutions by dilution with methanol:water (50/50, v/v) using serial dilution method. These diluted working standard solutions were used to prepare the calibration curve and quality control (QC) samples in human plasma. A nine-point standard calibration curve for urapidil was prepared by spiking 2% of urapidil working standard solution in the blank screened plasma. The calibration curve ranged from 5.201 to 1501.188 ng/mL. Quality control samples were prepared at four concentration levels-5.201 ng/mL for Lower Limit of Quantification Quality Control (LLOQQC), 14.962 ng/mL for Low Quality Control (LQC), 610.679 ng/mL for Medium Quality Control (MQC) and 1197.409 ng/mL for High Quality Control (HQC) samples for urapidil from the stock solutions.
Sample preparation
A 0.1 mL aliquot of urapidil spiked on human plasma sample was mixed with 50 µL of internal standard working solution equivalent to 250 ng/mL of urapidil D4 as an internal standard. Then, added 0.9 mL of 2% ortho phosphoric acid and vortexed to mix. The sample mixture was loaded into a Strata X 33µ polymeric reversed phase (30 mg/mL), extraction cartridge that was pre-conditioned with 1.0 mL methanol followed by 1.0 mL water. The extraction cartridge was washed with 1.0 mL water followed by 1.0 mL of 5% methanol in water. Both urapidil and urapidil D4 were eluted with 1 mL of methanol; 2 µL of the sample was injected into the LC–MS/MS system.
Liquid chromatography and MS parameters
Chromatographic separation was carried out on Waters UPLC with Betasil-C18 (50mm x 4.6mm, 5µm) purchased from Thermo scientific, United States. A degassed mobile phase consisting of acetonitrile: methanol (70:30, v/v) (A) and 10mM ammonium formate pH about 4.50±0.05 (B) was delivered with a flow rate of 0.5 mL/min using solvent composition gradient. Each analytical run was started at 40% A up to 0.2 min followed by a liner gradient to 60% A over 0.6 min, held at 60% A for 1.2 min, shifted to linear to 40% A over 0.2 min and then held constant until the end of the run for column equilibration to take on the next analytical run. The total run time for each sample analysis was 2.5 min. The gradient elution program of chromatographic separation is presented in Table 1a. The column oven temperature was kept 40 ºC. Mass spectra were obtained using a Xevo TQ-S mass spectrometer, a triple-stage quadrapole-mass-analyzer with photomultiplier detector equipped with electro spray ionization (ESI) source (Waters Ltd. UK) running on positive ion mode. The mass spectrometer was operated in the multiple reaction-monitoring (MRM) scan mode. The data acquisition was ascertained by MassLynx 4.1 software. The details for ion source and analyte dependent MS parameters are presented in Table 1b.
Table 1a: Gradient elution program of chromatographic separation.
| Step | Time | Flow rate (mL/min) | Mobile phase A | Mobile phase B |
| 0 | 0.0 | 0.5 | 40 | 60 |
| 1 | 0.2 | 0.5 | 40 | 60 |
| 2 | 0.8 | 0.5 | 60 | 40 |
| 3 | 2.0 | 0.5 | 60 | 40 |
| 4 | 2.2 | 0.5 | 40 | 60 |
| 5 | 2.5 | 0.5 | 40 | 60 |
Method validation
The method was validated for specificity, selectivity, sensitivity, linearity, precision, accuracy, recovery, stability and matrix effect meeting the global regulatory requirements [22-23]. Specificity was performed by analyzing the human male blank plasma samples from different sources (or donors) to test for interference at the retention time of urapidil and internal standard, urapidil D4. Selectivity was performed by spiking concomitant drugs like ranitidine, paracetamol, ibuprofen and aspirin. The plasma samples were then processed and analyzed to investigate possible interference. Sensitivity was determined by analyzing six replicates of blank human plasma spiked with the analyte at the lowest level of the calibration curve. The intra-run and inter-run accuracy were determined by replicate (n=6) analysis of three quality control samples and at LOQ that were extracted from the sample batch. The intra-run (within batch) precision and accuracy were evaluated by analysis of six replicates at four concentrations in a same analytical run. The inter-run precision and accuracy of the calibration standards were assessed using seven calibration curves. The inter-run (between-batch) precision and accuracy were evaluated after repeated analysis in different analytical runs in different days and on different instrument.
Table 1b: Ion source and analyte-dependent MS parameters
| Ion source | ||||
| Capillary voltage | 3.20 kV | |||
| Source temperature | 150 ºC | |||
| Desolvation temperature | 500 ºC | |||
| Desolvation gas flow | 1000 L/hr | |||
| Cone gas flow | 150 L/hr | |||
| Polarity mode | Positive | |||
| Analyte dependent | ||||
| Urapidil | Urapidil-D4 | |||
| Precursor ion (m/z) | 388.2 | 392.2 | ||
| Product ion (m/z) | 190.1 | 190.1 | ||
| Cone voltage (V) | 18 | 20 | ||
| Q1 Pwª (amu) | 2.8 | 14.8 | ||
| Q3 Pwb (amu) | 2.8 | 14.7 | ||
| Collision energy | 36 | 32 | ||
ª Quadrapole 1 high and low mass resolution parameters.
b Quadrapole 3 high and low mass resolution parameters.
Accuracy was defined as the percent of relative error () and was calculated using the formula, where is the experimentally determined concentration and is the theoretical concentration. Assay precision was calculated by using the formula, where is percent of relative standard deviation, is the mean of experimentally determined concentrations and is the standard deviation of.
The extraction efficiencies of urapidil and urapidil D4 were determined by comparing the peak area of extracted analytes to the peak area of non-extracted standards (analyte spiked post extraction in blank plasma).
The processed sample stability was evaluated by comparing the extracted fresh plasma samples which were injected immediately (time 0), with the samples that were re-injected after keeping in the auto sampler at 10°C for specific duration of time. The stability of spiked human plasma stored at room temperature (bench-top stability) was evaluated by comparing the mean of back calculated concentrations of the samples kept on bench with freshly prepared extracted samples. The freeze-thaw stability was conducted by comparing the stability samples that had been frozen and thawed two times stored at –30°C, with freshly spiked quality control samples. The long-term stability of spiked human plasma was evaluated by analyzing low, medium and high quality control samples that were stored at –30°C for long duration together with freshly spiked calibration standard and quality control samples. Stability was determined by calculating the %change and was calculated using the formula, where is the mean stability sample concentration and is the mean freshly prepared or comparison sample concentration. Analytes were considered stable if the %Change were within ±15% of the freshly prepared or comparison sample.
Matrix effect was evaluated with eight different lots of plasma containing K2EDTA as anticoagulant including one hemolysed lot and one lipemic plasma lot. Three post spiked samples each of LQC, MQC and HQC were prepared from different lots of plasma (in total 24 samples). Aqueous (unextracted) spiked samples for urapidil and urapidil D4 at LQC, MQC and HQC levels were prepared in elution solution considering zero matrix effect. The post-spiked extracted LQC, MQC and HQC samples along with six replicate injections of aqueous un-extracted LQC, MQC and HQC levels were analyzed. The matrix effect was evaluated by calculating the matrix factor for area response of urapidil and urapidil D4 and IS normalized matrix factor for mean area ratio of urapidil and urapidil D4.
This was performed with the aim to see the matrix effect of these different lots of plasma on the %RSD of mean matrix factor for analyte area, IS area and IS normalized area ratio. It was considered there was no matrix effect if the %RSD for mean matrix factor was less than 15% at each level for analyte area, IS area and IS normalized area ratio.
The weighting factor for plotting the linear regression curve for the calibration standards was selected based on the ‘Least sum of squared residuals’. For this a calibration curve was plotted using the weighting factor-1/X and 1/X2 to obtain the calculated concentrations for each standard. The residual () for each calibration standard was obtained. Each residual was squared and the sum of squared residuals was calculated for each empirical weights. The weighting factor which results in the least sum was used for plotting the linear curves [24].
RESULTS AND DISCUSSION
Tuning and Chromatography Optimization
The development was initiated from mass optimization with ESI (electrospray ionization) in both positive and negative modes. The signal in positive ionization mode has shown a significant response but the baseline noise was very high. To reduce the baseline signal the heated nebulization with APCI (atmospheric pressure chemical ionization) source was also tried but the signal was decreased to ten times as compared to ESI. The inconsistency was also observed in APCI mode. So as a conclusion considering the signal ESI positive mode was considered and proceed for further optimization using three different mass transitions (m/z) as 388.2/190.1, 388.2/205.3, 388.2/233.3 for urapidil and 392.2/190.1, 392.2/200.1, 392.2/237.2 for urapidil D4. The final MRM parameters of the urapidil and its internal standard were set at m/z 388.2/190.1 and 392.2/190.1, respectively. The selected fragment ions of each compound, as product ion to be monitored are indicated in Fig. 1.
Sample extraction trials were initiated with precipitation, liquid-liquid extraction (LLE) and solid phase extraction (SPE) and also with hybrid-SPE technique using zirconium cartridges, in all trials the interference in blanks could not be eliminated. The buffers from acid pH to basic pH were used in LC but none of the conditions could mitigate the interference in blank plasma which may be due to the co-elution of the phospholipids. Trials for sample extraction using different LLE solvents were tried and also plasma sample treated from acidic to basic pH.
Further to the mass optimization and extraction trials, the chromatography LC conditions were optimized. The use of buffers like ammonium acetate, ammonium formate has shown broad peak shape with C18 column. The use of acetonitrile and methanol combination along with 10mM ammonium formate pH about 4.50±0.05 has shown the best signal-to-noise (S/N) among all the mobile phases. Use of Betasil-C18 (50mm x 4.6mm, 5µm) column enabled use of high flow rate, which resulted in low run time as low as 2.5 min with better peak symmetry and signal of analytes. The compound post to injection has shown carryover and needed a strong cleaning, hence the needle and seal wash optimization was also critical. The equal proportions of acetonitrile, methanol and water with 0.01% of isopropyl alcohol (IPA) used as strong and weak needle wash to remove carryover from autosampler. Autosampler carryover was evaluated for aqueous and extracted samples by injecting blank samples after highest concentration (ULOQ) standard. No carryover was observed at retention time of urapidil and urapidil D4 in blank samples injected after highest concentration. Also, the purity of deuterium labeled compound was confirmed by injecting urapidil D4 alone in optimized LC and MS conditions and no significant interference was observed at retention time on analyte.


Fig. 1: ESI product ion mass spectra of the precursor ions of (A) urapidil and (B) urapidil D4.
Specificity
Utilization of predominant product ions for each compound enhanced mass spectrometric specificity. The mass transition ion-pair was selected as, 388.2 → 190.1 for urapidil and 392.2 → 190.1 for urapidil D4. The product ions selected were specific for urapidil and urapidil D4, respectively.
Chromatographic specificity of the method was demonstrated by the absence of endogenous interfering peaks at the retention times of urapidil and its internal standard in eight different lots of extracted blank plasma including one haemolysed and one lipemic plasma. Representative chromatograms of extracted blank plasma, extracted plasma samples containing 5.201 ng/mL urapidil (low standard) and plasma sample from subjects are presented in Fig. 2.



Fig. 2: Representative chromatograms of (A) extracted blank plasma sample, (B) extracted plasma LLOQ sample and (C) extracted subject sample for time point collected at 4.50 h.
Linearity
The peak area ratios (area of urapidil/area of urapidil D4) of calibration standards were proportional to the concentration of analytes in each assay over the nominal concentration range of 5.201–1501.188 ng/mL for urapidil. The calibration curves were found to be linear and were well described by least squares lines. A weighting factor of 1/concentration2 was chosen to achieve homogeneity of variance. The correlation coefficients were ≥09980 (n=7) for urapidil. The mean (±SD) slopes and intercept of the calibration curves (n=7) for urapidil were 0.00884526 (±0.00015313) and 0.00415583 (±0.00186341), respectively. The mean accuracy and precision for back calculated concentrations of each standard calculated from calibration curve tabulated in Table 2a.
Sensitivity (lower limit of quantification)
The LOQ is defined as the lowest concentration of the calibration standard yielding accuracy ±20% and precision of ≤20%. The LOQ for urapidil was 5.201 ng/mL. These data are tabulated in Table 2b for urapidil. The intra-run precision at the LOQ plasma samples containing urapidil was 0.91%. The intra-run accuracy (%RE) at the LOQ plasma samples containing urapidil was –0.88%.
Precision and accuracy
The intra-run precision was ≤1.34% and intra-run accuracy was ≤2.23 for urapidil (Table 2b). The inter-run precision and accuracy were determined by pooling all individual assay results of replicate (n= 6) QC samples over the four separate batch runs. The inter-run precision was ≤3.00. The inter-run accuracy was ≤3.18 for urapidil (Table 2b).
Recovery
Six replicates at low, medium and high quality control concentrations for urapidil were prepared for recovery determination. The mean recovery for urapidil was 95.43% with precision of 7.98%. The mean recovery for urapidil D4 was 96.04%.
Stability
The bench top stability, process stability, freeze-thaw stability and long term stability in matrix of urapidil in plasma were investigated by analyzing quality control samples in replicates (n=6) at LQC, MQC and HQC levels. Process stability results indicated that processed samples were stable at least for 8 h at 10°C in autosampler of UPLC system. Results of bench-top stability for urapidil were found stable for at least 3 h at room temperature in plasma samples. Freeze and thaw stability results indicated that the repeated freezing–thawing (two cycles) did not affect the stability of urapidil for samples stored at –30°C temperatures. Long-term stability of urapidil in plasma was performed at LQC, MQC and HQC levels and was found to be stable for at least 6 days at –30°C.
Matrix effect
The matrix factor for urapidil and urapidil D4 was calculated by comparing the area response for analyte, IS and IS normalized area ratio observed in post spiked samples with that of unextracted samples at LQC, MQC and HQC levels and the matrix effect was evaluated from the %RSD of mean matrix factor at each level. Three quality control samples at each level were analyzed and the %RSD of the samples analyzed was found ≤7.33% for analyte area, IS area and IS normalized area ratio for urapidil and urapidil D4 (Table 3).
Table 2a: Calibration curve back calculated concentrations of urapidil (n= 7).
| Standard conc. (ng/mL) | Mean calculated conc. ±SD (ng/mL) | RSD(%) | RE(%) |
| 5.201 | 5.203 ±0.156 | 3.00 | 0.04 |
| 10.402 | 10.437 ±0.644 | 6.17 | 0.34 |
| 77.049 | 74.821 ±1.874 | 2.50 | –2.89 |
| 154.097 | 152.194 ±2.938 | 1.93 | –1.23 |
| 308.195 | 313.636 ±1.715 | 0.55 | 1.77 |
| 616.389 | 617.014 ±5.935 | 0.96 | 0.10 |
| 906.455 | 920.950 ±17.328 | 1.88 | 1.60 |
| 1208.606 | 1209.315 ±26.197 | 2.17 | 0.06 |
| 1501.188 | 1504.752 ±37.089 | 2.46 | 0.24 |
Table 2b: Intra-run (within-batch) and Inter-run (between batch) precision and accuracy of urapidil in human plasma (n=6).
| Spiked conc. (ng/mL) | Intra-run precision and accuracy | Inter-run precision and accuracy | ||||
| Mean calculated conc. ±SD (ng/mL) | RSD (%) | RE (%) | Mean calculated conc. ±SD (ng/mL) | RSD(%) | RE(%) | |
| 5.201 | 5.155 ±0.047 | 0.91 | –0.88 | 5.203 ±0.156 | 3.00 | 0.04 |
| 14.962 | 14.750 ±0.198 | 1.34 | –1.42 | 14.486 ±0.403 | 2.78 | –3.18 |
| 610.679 | 609.290 ±5.234 | 0.86 | –0.23 | 607.098 ±9.316 | 1.53 | –0.59 |
| 1197.409 | 1171.938 ±13.656 | 1.17 | –2.13 | 1168.837 ±17.001 | 1.45 | –2.39 |
Table 3: Matrix effect for urapidil and urapidil D4 (n=8).
| Parameter | LQC | MQC | HQC | |||
| Mean matrix factor ±SD | RSD (%) | Mean matrix factor ±SD | RSD (%) | Mean matrix factor ±SD | RSD (%) | |
| Analyte area | 0.989 ±0.033 | 3.34 | 1.064 ±0.077 | 7.24 | 1.038 ±0.037 | 3.56 |
| IS area | 1.022 ±0.032 | 3.13 | 1.078 ±0.079 | 7.33 | 1.058 ±0.045 | 4.25 |
| IS normalized | 0.967 ±0.010 | 1.03 | 0.987 ±0.005 | 0.51 | 0.981 ±0.009 | 0.92 |
Hence, this clearly proved that the elution of endogenous matrix peaks during the run had no effect on the quantification of urapidil. Therefore, the method of extraction of urapidil from plasma was robust enough and gave accurate and consistent results when applied to subject samples.
Application of method
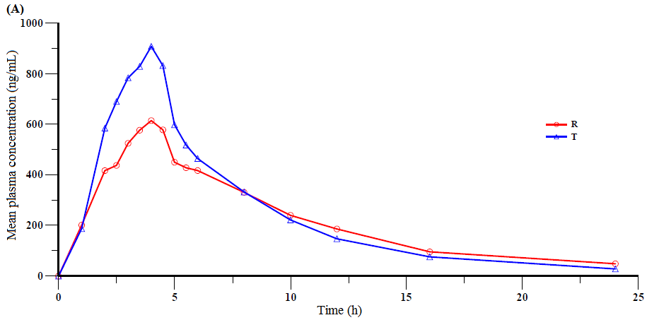
The proposed developed method was applied to the determination of urapidil in human plasma samples in Indian male volunteers. Plasma samples were periodically collected after a single oral dose administration of urapidil 60 mg capsule to healthy male volunteers in each phase under fasting (9 subjects) and fed (10 subjects). The time periods at which the plasma samples were drawn were 0.00, 1.00, 2.00, 2.50, 3.00, 3.50, 4.00, 4.50, 5.00, 5.50, 6.00, 8.00, 10.00, 12.00, 16.00 and 24.00 h after under fasting.
The time periods at which the plasma samples were drawn were 0.00, 1.00, 2.00, 3.00, 4.00, 4.50, 5.00, 5.50, 6.00, 6.50, 7.00, 8.00, 10.00, 12.00, 16.00 24.00 and 36.00 h under fed. A total of 628 human plasma samples from nineteen male volunteers were analyzed along with calibration standards and QC samples. Seven calibration curves were made for sample quantification with twenty six sets of interspersed LQC, MQC and HQC samples. No significant interference peak was found in predose samples for all volunteers. The mean (±SD) plasma maximum concentrations (Cmax) obtained for the urapidil test and reference formulations were 976.028 (±222.301) ng/mL and 634.531 (±125.706) ng/mL, respectively under fasting. The mean (±SD) plasma maximum concentrations (Cmax) obtained for the urapidil test and reference formulations were 1005.609 (±287.510) ng/mL and 887.864 (±239.801) ng/mL, respectively under fed.
Table 4a: Pharmacokinetic parameters for fasting study (n=9).
| Drug | Statistics | Cmax (ng/mL) | tmax (h) | AUC0-t (ng*h/mL) | AUC0-∞ (ng*h/mL) | t1/2 (h) | kel (h-1) |
| Test (T) | Mean | 976.0297 | 3.944 | 5907.1604 | 6084.7484 | 4.1779 | 0.1667 |
| SD | 222.3081 | 0.58 | 1340.6645 | 1417.8319 | 0.3109 | 0.0123 | |
| RSD(%) | 22.78 | 14.79 | 22.70 | 23.30 | 7.44 | 7.38 | |
| Reference (R) | Mean | 634.5314 | 3.944 | 5312.6941 | 5720.4004 | 5.6645 | 0.1240 |
| SD | 125.7061 | 0.53 | 857.5358 | 919.6214 | 0.6898 | 0.0150 | |
| RSD(%) | 19.81 | 13.36 | 16.14 | 16.08 | 12.18 | 12.11 |
The mean plasma concentration–time profile following a 60 mg oral dose of urapidil to human subjects is shown in Fig. 3 and the pharmacokinetic data are presented in Table 4 under fasting and fed conditions.


Fig. 3: Mean plasma concentration –time profile following a 60 mg oral dose of urapidil capsules in human subjects under (A) fasting and (B) Fed.
Table 4b: Pharmacokinetic parameters for fed study (n=10).
| Drug | Statistics | Cmax (ng/mL) | tmax (h) | AUC0-t (ng*h/mL) | AUC0-∞ (ng*h/mL) | t1/2 (h) | kel (h-1) |
| Test (T) | Mean | 1005.6091 | 5.100 | 6266.8428 | 6374.4837 | 4.6332 | 0.1641 |
| SD | 287.5095 | 0.57 | 2343.0736 | 2399.6547 | 1.5153 | 0.0502 | |
| RSD(%) | 28.59 | 11.13 | 37.39 | 37.64 | 32.70 | 30.60 | |
| Reference (R) | Mean | 887.8638 | 5.350 | 6229.6265 | 6355.9640 | 5.2762 | 0.1371 |
| SD | 239.8011 | 0.47 | 2191.0869 | 2244.2059 | 1.0577 | 0.0324 | |
| RSD(%) | 27.01 | 8.87 | 35.17 | 35.31 | 20.05 | 23.65 |
Cmax , the maximum plasma concentration, tmax , the time to reach Cmax, AUC0-t , the area under the plasma concentration –time curve from time zero to the last sampling point, AUC0-∞ , , the area under the plasma concentration –time curve from time zero to infinity, t1/2 , elimination half life, kel , elimination rate constant.
CONCLUSION
A first of its kind of solid phase extraction analytical method using LC–MS/MS system was developed for the determination of urapidil in human plasma. The described method was simple, specific, rapid, reproducible and sensitive method with a LOQ of 5 ng/mL for urapidil.
It was concluded that this sensitive and specific method was applicable for the quantitative determination of urapidil in human plasma in pharmacokinetic and bioavailability studies of urapidil.
ACKNOWLEDGMENTS
The Authors acknowledge the technical support provided by Lupin Bioresearch Center, (Maharastra, India). This paper is a part of research work for the grant of Doctorate in philosophy in pharmacy from Faculty of Pharmacy, Pacific University, (Rajasthan, India).
REFERENCES