Int J Pharm Pharm Sci, Vol 6, Issue 10, ??-??Review Article

SYNTHESIS, CHARACTERIZATION AND ANTIMICROBIAL STUDY OF SOME NOVEL FLUORINE BASED 2-AMINOTHIAZOLES

KARAN SINGH1*, PAWAN K SHARMA2

1Akal School of Chemistry, Eternal University, Baru Sahib, Sirmour District, HP-173101, India, 2Department of Chemistry, Kurukshetra University, Kurukshetra, Haryana-136119, India.
Email: karansinghji@rediffmail.com

Received: 15 Jun 2014 Revised and Accepted: 25 Aug 2014


ABSTRACT

Objectives: To synthesize, characterize and evaluate antimicrobial properties of some novel fluorine based 2-aminothiazoles.

Methods: The syntheses of some novel fluorine based 2-aminothiazoles have been described by using hypervalent iodine [I(III)] mediated approach. It was observed that this is the more general and promising method for the synthesis of any thiazole, but, when other methods work, the hypervalent iodine [I(III)] mediated approach generally gives better yields. The structures of these compounds have been characterized from the rigorous analysis of their IR, 1H NMR, MS and elemental analysis. These compounds were screened for their anti-microbial activity.

Results: The results revealed that compounds 7d, 7f, 10a, 10b, 10c, 14e and 14f showed moderate to good antibacterial activity as compared with the standard drug Chloramphenicol.

Conclusion: The two thiazole synthetic methods described herein use readily available reagents and both of them are easily feasible, the hypervalent iodine mediated approach for the synthesis of title compounds is more significant because, in spite of the better yields, it avoids the use of highly toxic and lachrymatory α-halogenoketone, thereby being more eco-friendlier.

Keywords: Fluorine, 2-Aminothiazoles, Hypervalent iodine, α-Tosyloxyketones, Anti-microbial.


INTRODUCTION

The aminothiazoles have been reported by several researchers as an excellent precursor of a large variety of biologically active compounds such as antibiotics (cephalosporins [1-3], β-lactams [4], sulfathiazoles [5], etc.) and bactericides [6]. The application of aminothiazole derivatives in therapy and their utilization as agents are based upon cyclooxygenase inhibition [7-10] that led us to explore a convenient method for their synthesis.

In addition to this, it has been observed that the incorporation of fluorine in many heterocyclic systems increased lipid solubility, thus enhancing the rates of absorption and transport of drug in vivo [11].

By considering the wide range of applications of aminothiazoles and in continuation of our interest in hypervalent iodine [I(III)] mediated approach, we attempted the syntheses of some novel fluorine based 2-aminothiazoles (7a-g, 10a-c and 14a-f).

MATERIALS AND METHODS

All the chemicals required were purchased from the local suppliers and were purified by established methods. The melting points were recorded by open capillary method and are uncorrected. The purity and homogeneity of the synthesized compounds were routinely ascertained by the thin layer chromatography, performed on plates coated with silica gel-G. All compounds were isolated and purified by thin layer chromatography and column chromatography respectively. The visualization was done using iodine vapours and U. V. light chamber. The 1H NMR spectra were recorded on a Bruker 300 MHz instrument using CDCl3 or DMSO-d6 solvents and TMS (Tetra methyl silane) as internal standard. Chemical shifts (δ) are reported in ppm and coupling constants J are given in Hz. IR spectra were recorded using KBr disks with a Buck Scientific IR M-500 infrared spectrometer. The mass spectra was recorded on a JEOL JMS 600 mass spectrometer at an ionizing potential of 70eV (EI) electron impact ionization mode using the direct inlet system.

Experimental

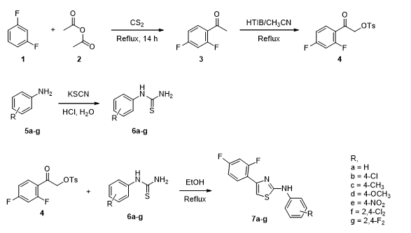
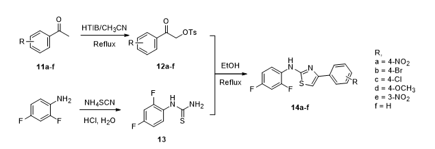
Synthesis of 2-aryl/benzothiazolylamino-4-(2,4-difluorophenyl) thiazoles (7a-g, 10a-c) and 2-(2,4-difluorophenyl)amino-4-arylthiazoles (14a-f)

2,4-Difluoroacetophenone was prepared by the acetylation of 1,3-difluorobenzene [12]. [Hydroxy(tosyloxy)iodo]benzene was prepared by the method of Neiland & Karele [13] and Koser et a.l [14].

Synthesis of phenyl thiourea (6a-g, 13)

General Procedure: To aniline (0.1 mol) in water, concentrated HCl was added and the solution was warmed. A saturated solution of potassium thiocyanate (0.8 mol) in water was added slowly with stirring in above hydrochloride salt solution. Then the solution was heated for 4-5 hrs until the solution became turbid. The turbid solution was poured in cold water. The separated precipitate was filtered, washed with water and recrystallized from ethanol, so as to obtain pure compound phenylthiourea (Yield: 70-80%).

Synthesis of 6-Substituted 2-aminobenzthiazole (8a-c)

General procedure: The p-substituted aniline (0.1 mol) and ammonium thiocyanate (0.2 mol) in 150 ml of glacial acetic acid were cooled in an ice bath and stirred mechanically. To the solution, bromine (0.2 mol) in 25 ml of glacial acetic acid was added dropwise at such a rate to keep the temperature below 10 oC throughout the addition. Stirring was continued for additional thirty minutes after the bromine addition. The precipitate of the benzthiazole hydrobromide was collected, dissolved in hot water and basified with a saturated sodium carbonate solution. The free substituted benzthiazole was collected, washed with water and dried under vacuum. Recrystallization from ethanol gave 6-substituted 2-aminobenzthiazoles 8a-c in good yield.

Synthesis of 1-(6-Substituted benzothiazol-2-yl)thiourea (9a-c)

General procedure: Benzoyl chloride (0.1 mol) was added dropwise to ammonium thiocyanate (0.1 mol) in dry acetone 50 ml with stirring. After the initial reaction had subsided, the mixture was heated for 5 min and then a hot solution of 2-amino benzthiazole (0.1 mol) in dry acetone (50 ml) was added with constant stirring. After refluxing for1 hr, the mixture was poured into water. A crystalline solid precipitated out slowly. After filtration, the solid were heated with 10% NaOH solution (300 ml) and filtered again. The filtrate was acidified with conc. HCl and then made alkaline by an addition of a little ammonia. The solid so obtained was filtered, washed with water and dried. Recrystallization from ethanol gave 1-(6-Substituted benzothiazol-2-yl)thiourea 9a-c in good yield.

Synthesis of 2-aryl/benzothiazolylamino-4-(2,4-difluorophenyl) thiazoles (7a-g, 10a-c) and 2-(2,4-difluorophenyl)amino-4-arylthiazoles (14a-f)

Method A: Hypervalent iodine [I (III)] mediated approach

Step I: Preparation of α-tosyloxy-2,4-difluoroacetophenone

To a stirred solution of 2,4-difluoroacetophenone (0.01 mol) in acetonitrile was added HTIB (0.01 mol) and the reaction mixture was refluxed for 5 hrs. Excess of the solvent was distilled off and the residual mass was crystallized from ethanol. The product was further washed with cold ethanol and dried under vacuum, yield 75%, m. p. 110-111°C.

All other α-tosyloxyphenylketones were prepared using this standard procedure [15].

Step 2: Preparation of 2-aminothiazoles 7a-g, 10a-c and 14a-f

General procedure: An equimolar mixture of α-tosyloxyphenylketone (0.01 mol) and appropriate thiourea derivative (0.01 mol) in ethanol was refluxed for 3-4 hrs. The reaction mixture was then cooled. A crystalline solid was separated out. Filtered the solid, washed with saturated sodium bicarbonate solution and then with water. Recrystallized from ethanol gave title compounds.

Method B: Hantzsch thiazole synthesis

General procedure: An equimolar mixture of α-bromomethylketone (0.01 mol) and appropriate thiourea derivative (0.01 mol) in ethanol was refluxed for 5-6 hrs. The reaction mixture was then cooled. A crystalline solid was separated out. Filtered the solid, washed with saturated sodium bicarbonate solution and then with water. Recrystallized from ethanol gave title compounds.

7a: m. p. 210-211°C; IR (KBr): 3153 cm-1 (N-H stretch); 1H-NMR (300 MHz, CDCl3): δ 6.95-7.02 (2H, m, thiazole C5-H & C3'-H), 7.06-7.13 (1H, dt, J=8.4 & 2.4 Hz, C5'-H), 7.34-7.53 (5H, m, C2''-H, C3''-H, C4''-H, C5''-H & C6''-H), 8.06-8.13 (1H, td, J=8.4 & 6.2 Hz, C6'-H), 11.60 (1H, brs, N-H exchangeable with D2O); MS: M+at m/z 288; Anal. Calcd. for C15H10F2N2S: C, 62.49 %; H, 3.50 %; N, 9.72 %. Found: C, 62.19 %; H, 3.24 %; N, 9.98 %.

7b: m. p. 145-146°C; IR (KBr): 3280 cm-1 (N-H stretch); 1H-NMR (300 MHz, CDCl3): δ 6.89-6.97 (1H, ddd, J=11.5, 8.6 & 2.7 Hz, C3'-H), 6.99-7.05 (2H, m, thiazole C5-H & C5'-H), 7.39 (4H, s, C2''-H, C3''-H, C5''-H & C6''-H), 8.03-8.11 (1H, td, J=8.6 & 6.3 Hz, C6'-H); MS: M+at m/z 322; Anal. Calcd. for C15H9ClF2N2S: C, 55.82 %; H, 2.81 %; N, 8.68 %. Found: C, 55.45 %; H, 2.94 %; N, 8.98 %.

7c: m. p. 135-137°C; IR (KBr): 3292 cm-1 (N-H stretch); 1H-NMR (300 MHz, CDCl3): δ 2.38 (3H, s, C4''-CH3), 6.91-6.98 (2H, m, thiazole C5-H & C3'-H), 7.02-7.08 (1H, dt, J=8.6 & 2.4 Hz, C5'-H), 7.23-7.26 (2H, d, J=8.6 Hz, C2''-H & C6''-H), 7.27-7.30 (2H, d, J=8.6 Hz, C3''-H & C5''-H), 8.06-8.14 (1H, td, J=8.6 & 6.5 Hz, C6'-H); MS: M+at m/z 302; Anal. Calcd. for C16H12F2N2S: C, 63.56 %; H, 4.00 %; N, 9.27 %. Found: C, 63.19 %; H, 4.24 %; N, 9.38 %.

7d: m. p. 173-175°C; IR (KBr): 3204 cm-1 (N-H stretch); 1H-NMR (300 MHz, CDCl3): δ 3.85 (3H, s, C4''-OCH3), 6.88-6.95 (1H, ddd, J=12.5, 9.0 & 2.8 Hz, C3'-H), 6.98-7.01 (3H, m, C3''-H, C5''-H & thiazole C5-H), 7.04-7.11 (1H, dt, J=8.7 & 2.8 Hz, C5'-H), 7.37-7.40 (2H, d, J=9.2 Hz, C2''-H & C6''-H), 7.96-8.03 (1H, td, J=8.7 & 5.7 Hz, C6'-H), 11.07 (1H, brs, N-H exchangeable with D2O); MS: M+at m/z 318; Anal. Calcd. for C16H12F2N2OS: C, 60.37 %; H, 3.80 %; N, 8.80 %. Found: C, 60.03 %; H, 3.56 %; N, 9.07 %.

7e: m. p. 242-244°C; IR (KBr): 3309 cm-1 (N-H stretch); 1H-NMR (300 MHz, CDCl3): δ 6.89-6.95 (1H, ddd, J=11.0, 8.9 & 2.3 Hz, C3'-H), 6.97-7.02 (1H, dt, J=8.6 & 2.3 Hz, C5'-H), 7.23 (1H, s, thiazole C5-H), 7.45 (1H, brs, N-H exchangeable with D2O), 7.63-7.66 (2H, d, J=9.0 Hz, C2''-H & C6''-H), 8.09-8.17 (1H, td, J=8.6 & 6.8 Hz, C6'-H), 8.26-8.29 (2H, d, J=9.0 Hz, C3''-H, C5''-H); MS: M+at m/z 333. Anal. Calcd. for C15H9F2N3O2S: C, 54.05 %; H, 2.72 %; N, 12.61 %. Found: C, 54.09 %; H, 2.54 %; N, 12.31 %.

7f: m. p. 150-151°C; IR (KBr): 3404 cm-1 (N-H stretch); 1H-NMR (300 MHz, CDCl3): δ 6.86-6.93 (1H, ddd, J=11.5, 8.8 & 2.6 Hz, C3'-H), 6.94-7.00 (1H, dt, J=8.8 & 2.6 Hz, C5'-H), 7.15 (1H, s, thiazole C5-H), 7.23-7.33 (1H, dd, J=8.9 & 2.4 Hz, C5''-H), 7.41-7.42 (1H, d, J=2.4 Hz, C3''-H), 7.47 (1H, brs, N-H exchangeable with D2O), 8.08-8.16 (1H, td, J=8.8 & 6.7 Hz, C6'-H), 8.31-8.34 (1H, d, J=8.9 Hz, C6''-H); MS: M+at m/z 357; Anal. Calcd. for C15H8Cl2F2N2S: C, 50.44 %; H, 2.26 %; N, 7.84 %. Found: C, 50.03 %; H, 2.24 %; N, 7.58 %.

7g: m. p. 130-132°C; IR (KBr): 3198 cm-1 (N-H stretch); 1H-NMR (300 MHz, CDCl3): δ 6.85-6.93 (4H, m, C3'-H, C5'-H, C3''-H & C5''-H), 7.09 (1H, s, thiazole C5-H), 8.07-8.23 (2H, m, C6'-H & C6''-H); MS: M+at m/z 324; Anal. Found: C, 55.19 %; H, 2.24 %; N, 8.98 %. Calcd. for C15H8F4N2S: C, 55.55 %; H, 2.49 %; N, 8.64 %.

10a: m. p. 258°C (decomp.); IR (KBr): 3222 cm-1 (N-H stretch); 1H-NMR (300 MHz, DMSO-d6): δ 6.90-6.98 (1H, ddd, J=11.1, 8.8 & 2.2 Hz, C3'-H), 7.01-7.07 (1H, dt, J=8.8 & 2.2 Hz, C5'-H), 7.29 (1H, s, thiazole C5-H), 7.52-7.55 (1H, d, J=8.4 Hz, C5''-H), 7.73 (1H, s, C7''-H), 8.05-8.08 (1H, d, J=8.4 Hz, C4''-H), 8.20-8.29 (1H, td, J=8.8 & 6.8 Hz, C6'-H), 11.67 (1H, brs, N-H exchangeable with D2O); MS: M+at m/z 379; Anal. Calcd. for C16H8ClF2N3S2: C, 50.59 %; H, 2.12 %; N, 11.06 %. Found: C, 50.19 %; H, 2.24 %; N, 10.98 %.

10b: m. p. 227-228°C; IR (KBr): 3157 cm-1 (N-H stretch); 1H NMR (300 MHz, DMSO-d6): δ 2.44 (3H, s, C6''-CH3), 6.90-6.97 (1H, ddd, J=11.3, 8.7 & 2.6 Hz, C3'-H), 7.01-7.07 (1H, dt, J=8.3 & 2.6 Hz, C5'-H), 7.16-7.19 (1H, d, J=8.3 Hz, C5''-H), 7.27 (1H, s, thiazole C5-H), 7.43-7.46 (1H, d, J=8.3 Hz, C4''-H), 7.52 (1H, s, C7''-H), 8.24-8.32 (1H, td, J=8.3 & 6.8 Hz, C6'-H), 12.02 (1H, brs, N-H exchangeable with D2O); MS: M+at m/z 359. Anal. Calcd. for C17H11F2N3S2: C, 56.81 %; H, 3.08 %; N, 11.69 %. Found: C, 56.69 %; H, 3.25 %; N, 11.98 %.

10c: m. p. 230-232°C; IR (KBr): 3156 cm-1 (N-H stretch); 1H NMR (300 MHz, DMSO-d6): δ 3.86 (3H, s, C6''-OCH3), 6.89-6.97 (2H, m, C3'-H & C5''-H), 7.01-7.07 (1H, dt, J=8.6 & 2.2 Hz, C5'-H), 7.26 (1H, s, thiazole C5-H), 7.49-7.52 (1H, d, J=8.8 Hz, C4''-H), 7.54 (1H, s, C7''-H), 8.23-8.31 (1H, td, J=8.6 & 7.0 Hz, C6'-H), 12.01 (1H, brs, N-H exchangeable with D2O); MS: M+at m/z 375. Anal. Calcd. for C17H11F2N3OS2: C, 54.39 %; H, 2.95 %; N, 11.19 %. Found: C, 54.69 %; H, 3.15 %; N, 11.08 %.

14a: m. p. 190-192°C; IR (KBr): 3258 cm-1 (N-H stretch); 1H-NMR (300 MHz, CDCl3): δ 6.87-6.99 (2H, m, C3'-H & C5'-H), 7.19 (1H, s, thiazole C5-H), 8.03-8.06 (2H, d, J=8.8 Hz, C2''-H & C6''-H), 8.23-8.26 (2H, d, J=8.8 Hz, C3''-H & C5''-H), 8.49-8.57 (1H, td, J=9.0 & 6.0 Hz, C6'-H), 9.55 (1H, brs, N-H exchangeable with D2O); MS: M+at m/z 333; Anal. Calcd. for C15H9F2N3O2S: C, 54.05 %; H, 2.72 %; N, 12.61 %. Found: C, 54.25 %; H, 2.40 %; N, 12.40 %.

14b: m. p. 238-239°C; IR (KBr): 3204 cm-1 (N-H stretch); 1H-NMR (300 MHz, CDCl3): δ 6.84-6.90 (2H, m, C3'-H & C5'-H), 7.45-7.49 (2H, d, J=8.6 Hz, C2''-H & C6''-H), 7.51 (1H, s, thiazole C5-H), 7.74-7.77 (2H, d, J=8.6 Hz, C3''-H & C5''-H), 8.23-8.32 (1H, td, J=8.9 & 5.9 Hz, C6'-H), 9.45 (1H, brs, N-H exchangeable with D2O); MS: M+at m/z 365. Anal. Calcd. for C15H9BrF2N2S: C, 49.06 %; H, 2.47 %; N, 7.63 %. Found: C, 49.09 %; H, 2.54 %; N, 7.31 %.

14c: m. p. 172-173°C; IR (KBr): 3215 cm-1 (N-H stretch); 1H-NMR (300 MHz, CDCl3): δ 6.84-6.90 (2H, m, C3'-H & C5'-H), 7.31-7.34 (2H, d, J=8.4 Hz, C2''-H & C6''-H), 7.53 (1H, s, thiazole C5-H), 7.82-7.85 (2H, d, J=8.4 Hz, C3''-H & C5''-H), 8.25-8.33 (1H, td, J=8.9 & 6.0 Hz, C6'-H), 9.49 (1H, brs, N-H exchangeable with D2O); MS: M+at m/z 322. Anal. Calcd. for C15H9ClF2N2S: C, 55.82 %; H, 2.81 %; N, 8.68 %. Found: C, 55.65 %; H, 2.65 %; N, 8.88 %.

14d: m. p. 188-189°C; IR (KBr): 3216 cm-1 (N-H stretch); 1H-NMR (300 MHz, CDCl3): δ 3.73 (3H, s, C4''-OCH3), 6.87-6.98 (2H, m, C3'-H & C5'-H), 7.21-7.24 (2H, d, J=9.0 Hz, C3''-H & C5''-H), 7.35 (1H, s, thiazole C5-H), 7.67-7.70 (2H, d, J=9.0 Hz, C2''-H & C6''-H), 7.96-8.03 (1H, td, J=8.6 & 6.0 Hz, C6'-H), 9.46 (1H, brs, N-H exchangeable with D2O); MS: M+at m/z 318; Anal. Calcd. for C16H12F2N2OS: C, 60.37 %; H, 3.80 %; N, 8.80 %. Found: C, 60.17 %; H, 3.76 %; N, 8.50 %.

14e: m. p. 165-167°C; IR (KBr): 3256 cm-1 (N-H stretch); 1H-NMR (300 MHz, CDCl3): δ 6.86-6.98 (2H, m, C3'-H & C5'-H), 7.21 (1H, s, thiazole C5-H), 7.58-7.64 (1H, t, J=8.9 Hz, C5''-H), 7.87-7.90 (1H, d, J=8.9 Hz, C6''-H), 8.15-8.18 (1H, d, J=8.9 Hz, C4''-H), 8.41 (1H, s, C2''-H), 8.51-8.59 (1H, td, J=8.6 & 5.9 Hz, C6'-H), 9.56 (1H, brs, N-H exchangeable with D2O); MS: M+ at m/z 333; Anal Calcd. for C15H9F2N3O2S: C, 54.05 %; H, 2.72 %; N, 12.61 %. Found: C, 54.35 %; H, 2.42 %; N, 12.51 %.

14f: m. p. 186-187°C; IR (KBr): 3167 cm-1 (N-H stretch); 1H-NMR (300 MHz, CDCl3): δ 6.96-7.02 (2H, m, C3'-H & C5'-H), 7.19 (1H, s, thiazole C5-H), 7.41-7.59 (5H, m, C2''-H, C3''-H, C4''-H, C5''-H & C6''-H), 8.01-8.08 (1H, td, J=8.4 & 6.2 Hz, C6'-H), 9.67 (1H, brs, N-H exchangeable with D2O); MS: M+at m/z 288; Anal. Calcd. for C15H10F2N2S: C, 62.49 %; H, 3.50 %; N, 9.72 %. Found: C, 62.59 %; H, 3.44 %; N, 9.58 %.

Antibacterial activity

The antibacterial activity of all the newly synthesized compounds was done by the Muller-Hinton agar-well diffusion assay technique. The stock solutions of all test compounds (100 mg/ml) were prepared by dissolving 100 mg of the test compound in DMSO (1 ml). Chloramphenicol and DMSO were used as positive and negative controls, respectively. Twenty millilitres of molten and cooled MHA and 320 ml of each test bacterial culture were mixed (separate flasks were used for each bacterial culture) and poured in sterilized and labeled petri plates. The wells of 6 mm were punched in the solidified petri plates, aseptically. Fifty micro litters from stock solutions of all compounds as well as controls was added to each well of labeled petri plates and incubated at 35oC for 24 h. The diameter of the zone of growth inhibition around each well was measured after incubation using vernier caliper. The minimum inhibitory concentration (MIC) of compounds against Gram-positive and Gram-negative test bacteria was determined in the range 100 to 40 mg/ml. All the test cultures were streaked on SCDA and incubated overnight at 37oC. Stock solution of each compound was prepared in DMSO and was appropriately diluted to get a final concentration of 100, 90, 80, 70, 60, 50 and 40 mg/ml. Standard antibiotic chloramphenicol was also diluted to get a final concentration in the same manner.

DISCUSSION

Several methods have been reported in the literature for the formation of thiazoles [16]. The most common method of thiazole synthesis involves the condensation of α-halogenoketones with thiourea (Hantzsch thiazole synthesis). However, the versatility of this reaction is somewhat limited by the difficulty in preparation, purification, toxicity and lachrymatory property of the intermediate α-halogenoketones [17].

Another similar and useful synthetic method [18] involves the use of hypervalent iodine reagents [I(III)] in organic synthesis. [hydroxy(tosyloxy)iodo]benzene (HTIB or Koser’s reagent) [19] is one of the hypervalent iodine reagents which has been recently used as an extremely important reagent providing new and useful synthesis of various heterocyclic compounds. One of the most important reactions of HTIB, particularly α-tosylation of carbonyl compounds, was first reported in 1982 by Koser et al. [20].

We first attempted to prepare the precursors α-tosyloxyketones 4 and 12a-f required for this work which was easily obtained via synthetic route [15] starting from commercially available aryl ketones as formulated in schemes 1 and 3.

The aryl thioureas 6a-g and 13 required for the formation of target compounds 7a-g and 14a-f were prepared by treating substituted aromatic amines with ammonium thiocyanate in acidic medium [21].

The various anilines on treating with bromine/ammoniumthiocyanate gave the corresponding benzothiazoles 8a-c [22] which on treatment again with ammoniumthiocyanate/benzoyl chloride yielded benzothiazolyl urease 9a-c [23].

Thus, various α-tosyloxyketones were condensed with appropriate thiourea in refluxing ethanol yielded the targets compounds i. e. 2,4-disubstituted-aminothiazoles (Scheme 1, 2 & 3).

Scheme:1


Scheme: 2


Scheme: 3

The structural elucidation of final targets was mainly based on IR, 1H NMR, MS and elemental analyses. The IR spectra of thiazoles 7a-g, 10a-c and 14a-f showed an absorption band due to N-H stretching in the range of 3150-3410 cm-1. The 1H NMR spectrum of the recrystallized samples showed the presence of a sharp singlet due to C5-H of the thiazole ring which confirmed the formation of the thiazole ring. It was further characterized by MS and elemental analysis.

Scheme: 4

For a comparative study of yield (%), the title compounds 7a-g, 10a-c and 14a-f were also prepared by Hantzsch thiazole synthesis. Outline of which is shown in Scheme 4.

The results obtained from the respective methods are depicted in Table 1.

As shown in Table 1, the comparison of yields (%) relating to the compounds synthesized from the recently known hypervalent iodine mediated approach and those from earlier method reveals that I(III) mediated approach is superior to the conventional Hantzsch thiazole synthesis.

Evaluation of antibacterial Activity

The newly synthesized compounds 7a-g, 10a-c and 14a-d were tested for their antibacterial activity against S. aureus, E. coli, B. subtilis, P. aeruginosa, S. pyogens, K. terrigena and K. pneumonae. All the synthesized compounds were dissolved in DMSO and antibacterial activity studied by disc diffusion method. Compounds 7d, 7f, 10a, 10b, 10c, 14e and 14f showed moderate to good antibacterial activity against several species as compared with standard drug chloramphenicol.

Table 1: Comparison of yields (%) relating to the compounds synthesized by two methods

Compound R’ Yield (%)
    Method Aa Method Bb
7a H 98 92
7b 4-Cl 85 73
7c 4-CH3 97 91
7d 4-OCH3 95 83
7e 4-NO2 76 52
7f 2,4-Cl2 89 72
7g 2,4-F2 83 72
10a Cl 73 58
10b CH3 90 76
10c OCH3 93 83
14a 4-NO2 81 70
14b 4-Br 79 51
14c 4-Cl 82 56
14d 4-OCH3 98 86
14e 3-NO2 91 75
14f H 87 73

  1. Hypervalent iodine [I (III)] mediated approach
  2. Hantzsch thiazole synthesis

Table 2: Antibacterial activity of the compounds (7a-g, 10a-c and 14a-f) as MIC (μg/ml)

Compound S. aureus E. coli B. subtilis P. aeruginosa S. pyogens K. terrigena K. pneumonae
7a 100 90 90 80 -- -- 90
7b 90 80 90 90 -- -- 100
7c 80 90 80 90 90 100 90
7d 90 70 80 70 80 90 80
7e 100 80 90 80 90 70 90
7f 70 90 100 80 70 80 100
7g 90 70 -- 90 -- 70 --
10a 60 60 70 60 70 80 70
10b 70 70 80 80 70 80 80
10c 70 80 80 70 80 70 70
14a -- 80 90 80 90 100 100
14b 90 70 100 90 100 90 100
14c 80 90 80 -- 100 90 --
14d 100 90 100 90 80 80 90
14e 90 80 80 90 70 80 80
14f 80 70 70 80 80 90 70
Chloramphenicol 50 50 40 40 50 40 50

CONCLUSION

The two thiazole synthetic methods described herein use readily available reagents and both of them are easily feasible, the hypervalent iodine mediated approach for the synthesis of title compounds is more significant because, in spite of the better yields, it avoids the use of highly toxic and lachrymatory α-halogenoketone, thereby being more eco-friendlier. All the synthesized compounds were dissolved in DMSO and antibacterial activity studied by disc diffusion method. Compounds 7d, 7f, 10a, 10b, 10c, 14e and 14f showed moderate to good antibacterial activity against several species as compared with the standard drug chloramphenicol.

CONFLICT OF INTERESTS

Declared None

ACKNOWLEDGEMENT

We are grateful to Sh. Avtar Singh, RSIC Panjab University, Chandigarh for 1H NMR spectra and to Sh. Manjit Singh, Department of Chemistry, Kurukshetra University, Kurukshetra for IR spectra. Financial support from the Ranbaxy Research Laboratories Ltd, Gurgaon is also gratefully acknowledged.

REFERENCES

  1. Kwang LH, Dong KH, Young KJ, Myung XX, Myeong YS. Process for the preparation of Cephem derivatives. PCT Int Appl WO93/10123.
  2. Schneider S, Endermann R, Metzger KG, Bremm KD. New 3-substituted cephalosporins, process for their preparation and their use as medicinal preparations. Eur Pat Appl EP477717.
  3. Charles GB, David HJ, George B. Cephalosporin derivatives and their homologues. PCT Int Appl WO9204353.
  4. Piotr B, Edward Z, Piotr G, Joanna C, Zofia S. Method for producing semisynthetic beta-lactam antibiotics. Pol PL154681.
  5. Currie RB, Beutel RH. Preparation of aminothiazole. US2850504.
  6. Eiji N, Osamu I, Satoru H, Noriko S, Masahaki O. New thiazole derivative and antimicrobial agent containing the same derivative. Jpn Kokai Tokkyo Koho JP04112890.
  7. Rout MK, Pujari HK. Preparation of 2-Substituted-4-methyl-5-carbethoxythiazoles. Condensation of ethyl acetoacetate with substituted thioureas. J Am Chem Soc 1953;75(16):4057-8.
  8. Singh JM. New compounds. possible anthelmintic thiazol-5-ylbenzimidazoles. iii. J Med Chem 1969;12(3):553-3.
  9. Litvinov OV, Safonova AA, Chalaya SN, Kharchenko VG. Synthesis of bis(aminothiazolyl)methanes and their inhibiting effects on acetylcholinesterase. Pharm Chem J (Engl Trans) 1994;28:83-5.
  10. Tanaka A, Sakai H, Motoyama Y, Ishikawa T, Takasugi H. Antiplatelet agents based on cyclooxygenase inhibition without ulcerogenesis. Evaluation and synthesis of 4,5-bis(4-methoxyphenyl)-2-substituted-thiazoles. J Med Chem 1994;37(8):1189-99.
  11. Welch JT. Selective fluorination in organic and bioorganic chemistry (American Chemical Society, Washington); 1999. p. 3;b) Welch JT, Eswarakrishnan S. Fluorine in bioorganic chemistry; Wiley, New York; 1991. c) Hudlicky M, Pavlath AE. Chemistry of organic fluorine compounds II (American Chemical Society, Washington); 1995.
  12. Sharma PK, Singh K, Dhawan SN, Singh SP. Synthesis and characterization of some novel 4-formyl pyrazolylthiazoles of potential medicinal interest using Vilsmeier-Haack reaction. Indian J Chem 2002;41A(10):2071-5.
  13. Neil O, Karele B. J Org Chem USSR (Eng Trans) 1970;6:889.
  14. Koser GF, Wattach RH, Troup JM, Frenz BA. Hypervalent organoiodine. Crystal structure of phenylhydroxytosyloxyiodine. J Org Chem 1976;41(22):3609-11.
  15. Prakash O, Saini N, Goyal S. Hypervalent iodine in the synthesis of bridgehead heterocycles: novel and facile syntheses of 3-substituted-5,6-dihydroimidazo[2,1-b]thiazoles and 3-phenylthiazolo[3,2-a]benzimidazole from acetophenones using [hydroxy(tosyloxy)iodo]benzene. J Chem Soc Perkin Trans-I 1992. p. 707-9.
  16. Katritzky AR, Rees CW. Comprehensive Heterocyclic Chemistry, (Pergamon Press); 1984. p. 294.
  17. Hantzsch A, Weber HJ. Ueber Verbindungen des Thiazols (Pyridins der Thiophenreihe). Ber Dtsch Chem Ges 1887;20:3118-32.
  18. Prakash O, Saini N, Sharma PK. [Hydroxy (tosyloxy) iodo]benzene: a useful hypervalent iodine reagent for the synthesis of heterocyclic compounds. heterocycles 1994;38(2):409-31. b) Koser GF. [Hydroxy(tosyloxy)iodo] benzene and closely related iodanes: the second stage of development. Aldrichimica Acta 2001;34(3):89-102.
  19. Moriarty RM, Vaid RK, Koser GF. [Hydroxy(organosulfonyloxy) iodo]arenes in organic synthesis. Synlett 1990;7:365-83.
  20. Koser GF, Relenyi AG, Kalos AL, Rebrovic L, Wattach RH. One-step. alpha.-tosyloxylation of ketones with [hydroxyl (tosyloxy)iodo]benzene. J Org Chem 1982;47(12): 2487-9.
  21. Mahajan DF, Bhosale JD, Bendre RS. Synthesis, characterization and plant growth regulator activity of some substituted 2-amino benzothiazole derivatives. J Appl Chem 2013;2(4):765-71.
  22. Lin AJ, Kasinat S. Synthesis of 3-substituted 7-(3,3-dimethyl-l-triazeno)-10-methylphenothiazines as potential antitumor agents. J Heterocyclic Chem 1981;18:759-61.
  23. Javali V, Jayachandran E, Shah R, Patel K, Sreenivasa GM. Synthesis, characterization and anthelmintic activity (perituma-posthuma) of fluoro substituted benzothiazole for biological and pharmacological screening. Int J Pharm Bio Sci 2010;1(3):1-8.