
1Department of Chemistry, GITAM Institute of Science, GITAM (Deemed to be University), Visakhapatnam, Andhra Pradesh, India, 2GITAM Institute of Pharmacy, GITAM (Deemed to be University), Visakhapatnam, Andhra Pradesh, India
Email: logonchemistry@yahoo.co.in
Received: 26 Sep 2018 Revised and Accepted: 22 Jan 2019
ABSTRACT
Objective: The present work deals with the qualitative study of the phytoconstituents present in Aegialitis rotundifolia Roxb., ethanolic leaves extract and evaluate its antioxidant properties in vitro.
Methods: The qualitative phytochemical analysis of the extract was performed first using preliminary phytochemical tests and then by liquid chromatography quadrupole-time-of-flight mass spectrometry (LC-Q-TOF-MS). The antioxidant properties were investigated comprehensively using seven in vitro models viz., 2, 2-diphenyl-1-picrylhydrazyl (DPPH) radical scavenging, nitric oxide (NO) scavenging, hydrogen peroxide (H2O2) scavenging, superoxide (SOD) radical scavenging, lipid peroxidation (LPO) assay, reducing power (RP), and total antioxidant activity.
Results: The preliminary phytochemical analysis revealed the presence of several important phytochemical groups whereas the LC-Q-TOF-MS analysis detected 25 phytoconstituents in the extract mostly belonging to flavonoids and alkaloids. The test extract showed strong dose-dependent antioxidant activity in all the seven in vitro models, however, the activity of the extracts was slightly lower compared to the reference standard ascorbic acid.
Conclusion: The test extract showed strong antioxidant properties which could be possibly due to the phytoconstituents detected in the extract.
Keywords: Aegialitis rotundifolia, Mangrove, Phytochemical analysis, LC-Q-TOF-MS, In vitro antioxidant activity
© 2019 The Authors. Published by Innovare Academic Sciences Pvt Ltd. This is an open access article under the CC BY license (http://creativecommons.org/licenses/by/4.0/)
DOI: http://dx.doi.org/10.22159/ijpps.2019v11i3.29985
Free radicals are usually produced as a result of an imbalance between the formation and neutralization of pro-oxidants in the metabolic process taking place in the human body. Reactive oxygen species (ROS) or reactive nitrogen species (RNS) is an example of free radicals which also includes singlet oxygen, superoxide anions, hydrogen peroxide and hydroxyl radicals [1, 2]. Several pieces of evidence have reported that ROS and other oxidants has caused numerous disorders and diseases in humans [3]. Presently, huge number of synthetic antioxidants are extensively used in the food industry which are responsible for causing hepatotoxicity and cancer [4]. Therefore, looking at the adverse effects of synthetic antioxidants, scientists are currently investigating medicinal plants for more effective natural antioxidants. The bioactive chemical groups present in natural products are potent free radical eliminators which can help reduce the adverse effects caused by the free radicals and improve human health [5, 6]. Among the various kinds of natural antioxidants present, phenolic compounds have received much attention [7].
Aegialitis rotundifolia Roxb., (Plumbaginaceae) is a small mangrove tree or shrub which usually grows up to a height of 2-3 m and is available in shorelines of the Andaman Sea and the Bay of Bengal and are endemic to the coastal parts of South Asia. In Orissa it is locally known as Banrua [8, 9]. This mangrove species is reported to produce one of the best quality honey [10]. Traditionally the leaf is used in the treatment of sundry injuries accompanied by pain and inflammation and is locally utilized as an anti-ache agent [11]. Further, the leaf of the plant is pounded with oil to make a paste which acts as an antidote for insect bites [12]. According to the present literature, there have been very few scientific reports of pharmacological screening conducted such as analgesic, antipyretic [12], in vitro antioxidant [13], antimicrobial [14, 15], anti-inflammatory [12,16] in vitro thrombolytic activity [16], antibacterial [16], and anticancer activity [17]. Recently, we have reported the presence of gallic acid, chlorogenic acid, caffeic acid, p-coumaric acid, rutin, coumarin, and quercetin by performing quantitative high-performance liquid chromatography (HPLC) analysis and an organosilicon compound, (-)-spiro[1-[(tert-Butyldimethylsiloxy)methyl]-3,5,8-trimethyl-bicyclo[4.3.0]non-2-en-5,7-diol-4,1'-cyclopropane] was detected in gas chromatography-mass spectrometry (GC-MS) analysis as the most abundantly found compound [9]. However, its antioxidant property is hugely unexplored and there is also a need for further analysis to reveal its phytochemical constituents. Therefore, the present study was designed to investigate the phytochemical constituents of Aegialitis rotundifolia leaves using LC-Q-TOF-MS analysis and study its antioxidant properties in vitro comprehensively.
Chemicals and reagents
Ethanol 99.9% was procured from Changshu Hongsheng Fine Chemicals Co. Ltd., China. Ascorbic acid, DPPH, griess reagent, nitro blue tetrazolium (NBT), phenazine methosulphate (PMS), trichloroacetic acid (TCA), thiobarbituric acid (TBA), were purchased from Sigma-Aldrich (St. Louis, MO, USA). Riboflavin, sodium nitroprusside (Na2[Fe(CN)5NO]), sodium dihydrogen phosphate (NaH2PO4), ammonium molybdate, potassium ferricyanide [K3Fe(CN)6], glacial acetic acid (CH3COOH), n-butanol and ferric chloride (FeCl3) were purchased from Thermo Fisher Scientific India Pvt. Ltd., (Mumbai, India) and hydrogen peroxide (H2O2), and sodium dodecyl sulphate were procured from Molychem (Mumbai, India). All the solvents used were of high purity and HPLC grade. All other chemicals and reagents used in the whole study were of analytical grade.
Collection and authentication of plant materials
The fresh leaves of Aegialitis rotundifolia Roxb. was collected from healthy fully-grown plants from Bichitrapur mangrove located in Kharibil, Orissa, India (21 °34'54.0"N-87 °25'25.4"E). The plant materials were then authenticated from Botanical Survey of India (BSI), Central National Herbarium, Botanic Garden, Howrah, West Bengal, India and was assigned with a Voucher no. CNH/Tech. II/2016/11a and specimen no. DG-01.
Preparation of extracts
The collected plant materials were gently washed in tap water to remove dirt and then they were shade dried in the laboratory under room temperature (24±2 °C) for 3-4 w. After complete drying, the dried plant materials were pulverized by using a mechanical grinder followed by sieving to obtain a coarse powder. The powdered plant material was then extracted with ethanol (99.9%) using reflux technique. The crude extract solution obtained was filtered using Whatman No. 42 filter paper after which the excess solvents were evaporated by rotary vacuum evaporator (Evator, Media Instrument Mfg. Co., Mumbai, India) and concentrated on a water bath to obtain Aegialitis rotundifolia Roxb., ethanolic leaves extract (ARELE). The crude ethanol extract obtained was stored at 4 °C before analysis.
Qualitative phytochemical analysis
Preliminary phytochemical test
The ethanol extract from A. rotundifolia leaves was analysed for the presence of various phytochemical groups such as alkaloids, flavonoids, cardiac glycosides, triterpenoids, saponins, tannins, proteins, carbohydrates and sterols using standard procedures [18-20].
LC-Q-TOF-MS analysis
Preparation of stock solution
About 1 mg of ARELE was accurately weighed and dissolved accordingly with HPLC grade ethanol to get a concentration of 1 mg/ml solution. The solution was then filtered through PDVF filter of pore size 0.2 µm to get a completely clear sample solution. Then, 500 µl of the sample solution was centrifuged at 10,000 rpm for 5 min and the supernatant was collected and then diluted again with HPLC grade ethanol. Then about 300 µl aliquot of the following sample solution was transferred to autosampler vials to conduct the LC-Q-TOF-MS analysis.
Instrumentation
The analysis was performed using an Agilent 1260 affinity HPLC system coupled to an Agilent 6500 Series quadrupole time-of-flight (Q-TOF) mass spectrophotometer (Agilent technologies, USA). The 1260 affinity HPLC system is equipped with a quaternary pump for solvent delivery, auto-sampler, column compartment, and diode array detector (DAD). Agilent Mass Hunter Qualitative analysis software (version B.08.00) was used for sample analysis. The Q-TOF Firmware version and Driver version for the analysis was 20.698 and 8.00.00, respectively.
Chromatographic conditions
For the qualitative analysis of ARELE, the chromatographic separation was carried out using SB-C18 column (4.6 ×150 mm) with 2.7 µm particle size at 30 °C (Agilent technologies, USA). The mobile phase for the analysis was chosen from a previous report by Ghosh et al., [9] with few modifications, which consisted of 3 % acetic acid (Solvent A) and Acetonitrile (Solvent B) and were run at a flow rate of 0.4 ml/min. Analysis was performed using the following gradient elution: 0-5 % B in 5 min, 5-15 % B in 17 min, 15-20 % B in 40 min, 20-50 % B in 60 min, 50 % B in 65 min, 50-0 % B in 70 min. Each run was followed by a 5 min wash using 100 % B and the equilibration time was 10 min. The volume of the sample injected was 1 µl.
Mass spectrophotometric conditions
The mass spectrophotometer was recorded in positive electrospray ionization mode and spectra were recorded by scanning the mass range from m/z 50 to 1700. Nitrogen was used as the collision, nebulising and drying gas and was run at a flow rate of 8 L/min. The nebulizing temperature was adjusted to 350 °C and pressure at 45 psi. The capillary, fragmentation and skimmer voltages were set at 3500V, 140V and 65V respectively. The collision-induced dissociation energy was optimized in the range of 15-40 V.
In vitro antioxidant activity
Preparation of standard and test samples for in vitro antioxidant capacity measurements
To prepare the stock solution of the test sample, the extract was dissolved in ethanol to get a final concentration of 1 mg/ml. The extract solution was mixed thoroughly using a vortex (Inco, India) for 20 min and then filtered through Whatman No. 42 filter paper to obtain a clear solution. The sample solution was then stored at 4 °C prior to analysis. From the stock solution, different concentrations were prepared for evaluating the in vitro antioxidant capacity measurements. Ascorbic acid was used as the reference standard in all the antioxidant models. Stock solution of ascorbic acid (1 mg/ml) was prepared in the same way as that of the extract.
Equipment
All the absorbance at different nanometers (nm) for the antioxidant activities were recorded using a double beam ultraviolet-visible (UV-VIS) spectrophotometer (Model No. UV-1800; Shimadzu Corporation, Kyoto, Japan). A glass cell with an optical path length of 10 mm was used in all measurements.
DPPH radical scavenging activity
The DPPH free radical scavenging activity of ARELE was measured in vitro according to the methods described by Zengin et al. [21]. About 3 ml of DPPH solution in ethanol (6 × 10-5M) was added to 0.5 ml of various concentration of the extracts (50-500 µg/ml) and reference standard (Ascorbic acid). The mixture was shaken vigorously and kept in the dark at controlled room temperature (25-28 °C) for 30 min. The quenching of the free radicals by the extracts was evaluated at 517 nm against the absorbance of the DPPH radical. The percentage of the DPPH radical scavenging was calculated using the following equation given below:

Where Acontrol is the absorbance of control and Asample is the absorbance of the sample.
Nitric oxide (NO) scavenging activity
Nitric oxide scavenging activity of the extract was evaluated using the procedure outlined by Marcocci et al. [22]. To 0.5 ml of sample at various concentrations (50-500 µg/ml) was added 2 ml of 10 mmol sodium nitroprusside dissolved in 0.5 ml phosphate buffer saline (pH 7.4). The mixture was incubated at 25 °C for 150 min. After incubation, 0.5 ml of the incubated solution was withdrawn and mixed with 0.5 ml of Griess reagent [(1.0 ml sulfanilic acid reagent (0.33% in 20% glacial acetic acid at room temperature for 5 min with 1 ml of naphthylethylenediamine dichloride (0.1% w/v)]. The solution was again incubated at room temperature for 30 min and then absorbance was recorded at 546 nm. The amount of nitric oxide radical inhibition was calculated following this equation:

Where Acontrol is the absorbance of control and Asample is the absorbance of the sample.
Hydrogen peroxide (H2O2) scavenging assay
Hydrogen peroxide (H2O2) scavenging assay was performed according to the standard method [23]. A solution of hydrogen peroxide (2 mmol) was prepared in phosphate buffered saline (50 mmol; pH 7.4). Then, 2 ml of the above hydrogen peroxide solution was added to 1 ml of various concentration of the test extracts (50-500 µg/ml) and standard. The tubes were then vortexed and incubated for 10 min. After incubation, absorbance was recorded at 230 nm against a blank solution composed of only phosphate buffer (50 mmol) without hydrogen peroxide. The ability to scavenge the hydrogen peroxide was calculated using the following equation:

Where Acontrol is the absorbance of control and Asample is the absorbance of the sample.
Superoxide (SOD) radical scavenging activity
Superoxide radical scavenging activity of the extract was assisted by riboflavin-light-NBT system [24]. The test samples were prepared by dissolving the extract in its respective solvent to get different concentrations (50-500 µg/ml). The test samples (1 ml) was mixed with 0.5 ml phosphate buffer (50 mmol, pH 7.6), 0.25 ml PMS (20 mmol), 0.3 ml riboflavin (50 mmol), and 0.1 ml NBT (0.5 mmol). The reaction was started by illuminating the reaction mixture using a fluorescent lamp. The reaction mixture was incubated for 20 min and then the absorbance was measured at 560 nm. Reference standard ascorbic acid was used as the positive control and only the solvent to which the test extract was dissolved was used as the negative control. The % superoxide radical scavenging activity was measured by the following equation:
![]()
Where Acontrol is the absorbance of control and Asample is the absorbance of the sample.
Lipid peroxidation (LPO) assay
The effect of the extract on the formation of lipid peroxide with a lipid-rich media (egg yolk homogenate) was studied using a modified thiobarbituric acid-reactive species (TBARS) assay [24]. Briefly, 0.5 ml egg homogenate (10% in distilled water, v/v) and 0.1 ml of the sample solution were mixed thoroughly in a test tube and the volume was made up to 1 ml by distilled water. Then, 0.05 ml FeSO4 (0.07 M) was added to the above mixture and incubated for 30 min to induce lipid peroxidation. After incubation, 1.5 ml of 20% acetic acid (pH adjusted to 3.5 using NaOH), 1.5 ml of TBA (0.8%, w/v, prepared in 1.1%, w/v sodium dodecyl sulphate) and 0.05 ml of 20% TCA were added to the above mixture and then vortexed and heated in a water bath for 60 min. Then the mixture was cooled, and 5.0 ml of n-butanol was added to each test tube and centrifuged for 10 min at 3000 rpm. The absorbance of the organic upper layer was recorded at 532 nm. Inhibition of lipid peroxidation (%) by test samples was calculated by the following formula:

Where Acontrol is the absorbance of control and Asample is the absorbance of the sample.
Reducing power (RP) method
The method described by Zhou et al. [25], was adopted to assess the reducing power of the extract. To 0.2 ml of extracts at various concentrations was added 2.5 ml of phosphate buffer (0.2 mol/l, pH 6.6) and 2.5 ml of potassium ferricyanide (1%) and mixed. The mixture was then incubated for 20 min at 50 °C. After incubation, 2.5 ml of trichloroacetic acid (10%) was added to the mixture and centrifuged at 1000 rpm for 10 min. Subsequently, 2.5 ml of the supernatant was collected and mixed with 0.5 ml of ferric chloride (0.1%) and 2.5 ml of deionized water. The absorbance of the resulting mixture was recorded at 700 nm. The increased absorbance of the reaction mixture indicates an increase in reducing power.
Total antioxidant activity (Phosphomolybdenum method)
The total antioxidant activity assay was carried out as previously described by Prieto et al. [26]. To an aliquot of 0.1 ml of the sample solution, 1 ml of reagent solution (0.6 M sulphuric acid, 28 mmol sodium phosphate, and 4 mmol ammonium molybdate) was added and mixed. The tubes containing the mixture were capped and incubated in a water bath at 95 °C for 90 min. After, the samples were taken out from the water bath and kept for cooling. After the sample cooled to room temperature, the absorbance was recorded at 765 nm against a blank. The blank contained 1 ml of the reagent solution and the appropriate volume of the solvent and incubated under the same conditions.
Statistical analysis
All experiments were carried out in triplicate and the results are expressed as the average of three independent measurements (mean±Standard deviation). The data obtained in the studies were subjected to one way of analysis of variance (ANOVA) for determining the significant difference. The intergroup significance was analysed using Dunnet’s t-test. A p-value<0.01 was considered to be significant. All the statistical analysis and data presentation were done using GraphPad InStat Version 3.06 (GraphPad Software, Inc. La Jolla, CA, USA) and Microsoft excel 2013 standard (Microsoft Corp., Redmond, WA, USA).
Preliminary phytochemical screening
Preliminary phytochemical screening of ethanol extract from A. rotundifolia leaves revealed the presence of major phytochemical groups such as alkaloids, carbohydrates, tannins, steroids and sterols, triterpenoids, saponins and flavonoids as shown in table 1.
Table 1: Preliminary phytochemical test of ethanol extract of A. rotundifolia Roxb. leaves
| S. No. | Phytochemicals | Tests performed | Inference |
| 1. | Alkaloids | Mayer’s test | + |
| Dragondorff’s test | + | ||
| Wagner’s test | + | ||
| Hagers’s test | + | ||
| 2. | Carbohydrates | Molisch’s test | + |
| Fehling’s test | + | ||
| Benedict’s test | + | ||
| 3. | Proteins and amino acids | Biuret test | - |
| Ninhydrin test | - | ||
| Xanthoproteic test | - | ||
| Millon’s test | - | ||
| 4. | Tannins | Ferric chloride test | + |
| 5. | Steroids and sterols | Liberman Burchard test | + |
| Salkowski’s test | + | ||
| 6. | Triterpenoids | Sulphuric acid test | + |
| 7. | Cardiac glycoside | Keller killiani test | - |
| 8. | Saponins | Foam test | + |
| 9. | Flavonoids | Shinoda test | + |
| Ferric chloride test | + | ||
| Lead acetate test | + | ||
| Zn dust test | + |
(-) Absent, (+) Present
LC-Q-TOF-MS analysis of extracts
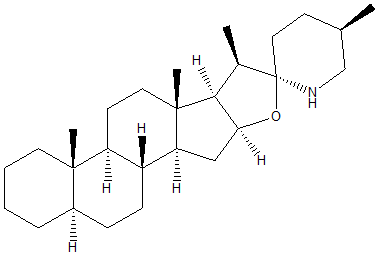
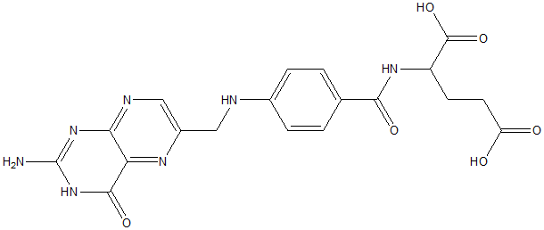
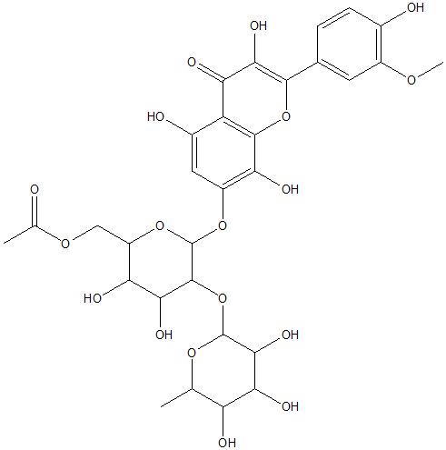
For the detection of several phytoconstituents in the extract, ARELE was subjected to LC-Q-TOF-MS analysis which resulted in the identification of 25 phyto-compounds belonging to different classes. The molecular formula, observed m/z values, exact mass and retention time is given in table 2 and their respective chemical structures are presented in fig. 1. The analysis revealed 12 compounds belonging to flavonoid class viz., 4-Methylumbelliferone, myricetin, 3',7-Dimethoxy-3-hydroxyflavone, neoeriocitrin, genistein, isorhamnetin-3-O-rutinoside, 3(2',4'-Dichloro-phenyl)-4-phenylcoumarin, 3(2'-Chlorophenyl)-7-hydroxy-4-phenyl-coumarin, hesperidin, hesperetin, icariin, and haploside D. Seven alkaloids were detected in the extracts such as oxoglaucine, demecolcine, metolachlor-Morpholinone, (S,R)-Noscapine, 1,2,9,10-tetramethoxy-6-methyl-5,6,6a,7-tetrahydro-4H-dibenzo[de,g]quinolin-3-yl) methanol, solasodine, and 10-hydroxy-Camptothecin. One compound belonging to lipid class was also identified namely myriocin. Two diterpenes were detected in the extract viz., sclareol and lagochiline and 3 miscellaneous compounds viz., 4-methoxy-1H-indole-3-carbaldehyde, folic acid, and (19R)-9-acetyl-19-hydroxy-10,14-dimethyl-20-oxopentacyclo [11.8.0.0<2,10>.0<4,9>.0<14,19>] henicos-17-yl acetate was identified in ARELE.
Table 2: Phyto-compounds detected in A. rotundifolia ethanolic leaves extract using LC-Q-TOF-MS analysis
| S. No. | Name of the compounds | Observed m/z values | Molecular formula | Exact Mass | Retention time |
| 1 | 4-methoxy-1H-indole-3-carbaldehyde | 104.1073 | C10H9NO2 | 175.06333 | 2.143 |
| 2 | 4-Methylumbelliferone | 121.0651 | C10H8O3 | 176.04734 | 2.557 |
| 3 | Myricetin | 319.0454 | C15H10O8 | 318.03757 | 3.831 |
| 4 | Folic acid | 442.1137 | C19H19N7O6 | 441.139681 | 4.096 |
| 5 | 3',7-Dimethoxy-3-hydroxyflavone | 299.0767 | C17H14O5 | 298.084124 | 4.791 |
| 6 | Neoeriocitrin | 597.2239 | C27H32O15 | 596.17412 | 5.751 |
| 7 | Genistein | 197.1175 | C15H10O5 | 270.0528 | 6.181 |
| 8 | Oxoglaucine | 374.1605 | C20H17NO5 | 351.110673 | 7.555 |
| 9 | Demecolcine | 344.1497 | C21H25NO5 | 371.173273 | 7.985 |
| 10 | Isorhamnetin-3-O-rutinoside | 625.2554 | C28H32O16 | 624.16903 | 9.590 |
| 11 | 3(2',4'-Dichlorophenyl)-4-phenylcoumarin | 389.29 | C21H12Cl2O2 | 366.021435 | 10.120 |
| 12 | Metolachlor-Morpholinone | 234.149 | C14H19NO2 | 233.1415788 | 10.798 |
| 13 | (S,R)-Noscapine | 351.2147 | C22H23NO7 | 413.147452 | 11.345 |
| 14 | 1,2,9,10-tetramethoxy-6-methyl-5,6,6a,7-tetrahydro-4H-dibenzo[de,g]quinolin-3-yl)methanol | 236.1648 | C22H27NO5 | 385.188923 | 2.404 |
| 15 | Myriocin | 356.2586 | C21H39NO6 | 401.27774 | 13.463 |
| 16 | Solasodine | 253.2165 | C27H43NO2 | 413.32938 | 16.657 |
| 17 | 3(2'-Chlorophenyl)-7-hydroxy-4-phenylcoumarin | 181.1226 | C21H13ClO3 | 348.055322 | 19.255 |
| 18 | 10-hydroxy-Camptothecin | 365.2301 | C20H16N2O5 | 364.105922 | 21.440 |
| 19 | Hesperidin | 369.2616 | C28H34O15 | 610.18977 | 25.213 |
| 20 | Hesperetin | 177.055 | C16H14O6 | 302.07904 | 25.908 |
| 21 | Lagochiline | 285.2436 | C20H36O5 | 356.256274 | 31.287 |
| 22 | Icariin | 699.3589 | C33H40O15 | 676.236721 | 34.679 |
| 23 | Sclareol | 331.2867 | C20H36O2 | 308.27153 | 45.221 |
| 24 | Haploside D | 537.3072 | C30H34O18 | 682.174514 | 47.605 |
| 25 | (19R)-9-acetyl-19-hydroxy-10,14-dimethyl-20-oxopentacyclo[11.8.0.0<2,10>.0<4,9>.0<14,19>]henicos-17-yl acetate | 467.4672 | C27H40O5 | 444.287574 | 52.139 |
![]() |
![]() |
| 4-methoxy-1H-indole-3-carbaldehyde | 4-Methylumbelliferone |
![]() |
![]() |
| Myricetin | Folic acid |
![]() |
![]() |
| 3',7-Dimethoxy-3-hydroxyflavone | Neoeriocitrin |
![]() |
![]() |
| Genistein | Oxoglaucine |
![]() |
![]() |
| Demecolcine | Isorhamnetin-3-O-rutinoside |
![]() |
![]() |
| 3(2',4'-Dichlorophenyl)-4-phenylcoumarin | Metolachlor-Morpholinone |
![]() |
![]() |
| (S,R)-Noscapine | 1,2,9,10-tetramethoxy-6-methyl-5,6,6a,7-tetrahydro-4H-dibenzo[de,g]quinolin-3-yl)methanol |
![]() |
|
| Myriocin | |
![]() |
![]() |
| Solasodine | 3(2'-Chlorophenyl)-7-hydroxy-4-phenylcoumarin |
![]() |
![]() |
| 10-hydroxy-Camptothecin | Hesperidin |
![]() |
![]() |
| Hesperetin | Lagochiline |
![]() |
![]() |
| Icariin | Sclareol |
![]() |
![]() |
| Haploside D | (19R)-9-acetyl-19-hydroxy-10,14-dimethyl-20-oxopentacyclo[11.8.0.0<2,10>.0<4,9>.0<14,19>]henicos-17-yl acetate |
Fig. 1: Chemical structures of compounds identified in LC-Q-TOF-MS analysis of an extract
In vitro antioxidant activity
DPPH radical scavenging activity
The scavenging effect of ARELE and reference standard (Ascorbic acid) on DPPH radical was evaluated and graphically displayed in fig. 2A. The scavenging activity of ascorbic acid and the test extract on DPPH radical was compared and the result revealed that the hydrogen donating activity of ARELE was little lower than that of the positive control (Ascorbic acid). The study also showed that the DPPH radical scavenging activity of ARELE was in a dose-dependent manner in the concentration range of 50-500 µg/ml. The IC50 values of scavenging DPPH free radicals were also calculated for ARELE and reference standard (Ascorbic acid) which were 12.41±5.60 µg/ml and 3.46±0.31 µg/ml, respectively (fig. 3). Lower the IC50 value greater is the DPPH scavenging activity. Though the antioxidant potential of ARELE was found to be lower than that of ascorbic acid, it can be said that ARELE possesses prominent DPPH radical scavenging activity where at a higher concentration (500 µg/ml) it showed almost similar percentage inhibition as that of ascorbic acid.
Nitric oxide (NO) scavenging activity
The nitric oxide radical scavenging activity of ARELE and reference standard (Ascorbic acid) at various concentrations is shown in fig. 2B. The results revealed that ARELE was able to inhibit the nitric oxide radical generated from sodium nitroprusside at physiological pH. The activity was also compared with reference standard ascorbic acid which shows that ARELE possesses strong NO scavenging effect which was slightly less than ascorbic acid. The results also showed that the percentage inhibition of nitric oxide radical for both ascorbic acid and ARELE was in a dose-dependent manner. The concentration of ARELE and ascorbic acid needed for 50% inhibition (IC50) was found to be 100.82±1.72 µg/ml and 59.14±4.85 µg/ml, respectively (fig. 3).
Hydrogen peroxide (H2O2) scavenging assay
The hydrogen peroxide scavenging activity of ARELE and reference standard (Ascorbic acid) is given in fig. 2C. The result showed that the ability of ARELE and ascorbic acid to inhibit hydrogen peroxide was concentration dependent. The IC50 values for ARELE and ascorbic acid were 157.25±3.61 µg/ml and 111.75±4.43 µg/ml, respectively (fig. 3). Lower the IC50 value greater is the hydrogen peroxide scavenging activity. Thus, it can be said that ARELE has a strong H2O2 scavenging activity although ascorbic acid showed a little better scavenging potential than the test extract.
Superoxide (SOD) radical scavenging activity
Superoxide radical scavenging activity of ARELE and reference standard (Ascorbic acid) is given in fig. 2D. The superoxide radical scavenging effect of ARELE was compared with the same concentrations of ascorbic acid in the range of 50-500 µg/ml, which revealed ascorbic acid had a better scavenging effect than ARELE. It was also found that the percentage inhibition of superoxide radical by ARELE and ascorbic acid was in a dose-dependent manner. The IC50 values for ARELE (147.34±7.06 µg/ml) were found to be greater than that of ascorbic acid (71.93±2.87 µg/ml) (fig. 3). Lower the IC50 value greater is the Superoxide radical scavenging activity.
Lipid peroxidation (LPO) assay
The scavenging of lipid peroxides by ascorbic acid and ARELE is summarized in fig. 2E. The results showed that the percentage inhibition of lipid peroxidation was dose-dependent. The concentration of ARELE and ascorbic acid required to inhibit 50% of lipid peroxidation (IC50) was found to be 121.12±3.85 µg/ml and 95.85±6.22 µg/ml, respectively (fig. 3). From the IC50 values it can be inferred that ascorbic acid inhibited more lipid peroxides than the test extract although the test extract at a dose of 50 µg/ml showed better lipid peroxides scavenging ability than ascorbic acid. Thus, it can be said that ARELE act as powerful lipid peroxides scavengers.
Reducing power (RP) method
The reducing power of ARELE and ascorbic acid at various concentrations has been presented in fig. 2F. Increase in absorbance is correlated with the reducing ability of the extract. The result revealed that both ascorbic acid and ARELE has a dose-dependent reducing ability in the concentration range of 25-100 µg/ml.

A

B

C

D

E

F

G
Fig. 2: Antioxidant activities of A. rotundifolia ethanolic leaves extract on various antioxidant models. (A) DPPH Radical scavenging activity; (B) Nitric oxide (NO) scavenging activity; (C) Hydrogen peroxide (H2O2) scavenging assay; (D) Superoxide (SOD) radical scavenging activity; (E) Lipid peroxidation (LPO) assay; (F) Reducing power (RP) method; (G) Total antioxidant activity. All experiments were carried out in triplicate (n=3) and the results are expressed mean±Standard deviation
Total antioxidant activity (Phosphomolybdenum method)
Phosphomolybdenum assay was conducted to evaluate the total antioxidant capacity of the test extract and the results are given as ascorbic acid equivalent/g extract (fig. 2G). The result showed that the total antioxidant capacity of ARELE was dose-dependent in the concentration range of 50-500 µg/ml.
This showed that ARELE was able to strongly reduce Mo (VI) to Mo (V) thus possessing powerful total antioxidant capacity.

Fig. 3: IC50 values of A. rotundifolia ethanolic leaves extract for various antioxidant systems. All experiments were carried out in triplicate (n=3) and the results are expressed mean±Standard deviation
Plant kingdom harbors an almost inexhaustible source of active phytoconstituents responsible for the treatment and management of various diseases [27]. According to a previous report by Mahajan and Tuteja [28], production of reactive oxygen species (ROS) in plants increases under stress conditions such as drought, high salinity, high and low temperature, heavy metal toxicity etc. The accumulation of ROS induced by the above-mentioned stress conditions are counteracted by enzymatic and non-enzymatic antioxidant systems in plants which include the variety of scavengers. Mangrove plants, unlike terrestrial plants, can survive in highly stressed conditions such as extreme tides, high salinity, high temperature, strong winds and anaerobic soil. Thus, to combat the excessive production of ROS due to the stress conditions of mangroves areas, mangrove plants produce high levels of antioxidant enzymes. Investigation on the chemical composition of mangroves revealed that they are rich in phenolic compounds such as flavonoids, flavones, isoflavones, coumarins, anthocyanins, catechins, isocatechins and lignans which might be the source of the superior antioxidant potential of mangrove plants [29].
According to the current literature of this plant, the antioxidant potential has not been investigated comprehensively and there are very few reports on the phytochemical constituents. Thus, the present study was designed to give a clear insight on the phytochemicals present in the crude extract and antioxidant potential of the plant. The phytochemical composition was studied by investigating the phytochemical groups qualitatively using preliminary phytochemical tests and LC-Q-TOF-MS analysis. The antioxidant potential of the plant was studied comprehensively on seven different in vitro models which will provide information on the free radical scavenging potential, reducing ability and ability to scavenge radicals such as superoxide and hydrogen peroxide of the plant.
The preliminary phytochemical test of ARELE was conducted and the result revealed the presence of alkaloids, carbohydrates, tannins and phenolic compounds, steroids and sterols, triterpenoids, saponins, and flavonoids. Thus, the preliminary phytochemical test helps in determining the class of chemical compound present in the extracts which may lead to their quantitative estimation and identifying the source of pharmacologically active phytoconstituents [18].
In recent years, LC-MS has become one of the most widely used analytical techniques among researchers for rapid identification of chemical constituents present in herbal extracts. Almost all the MS systems are based on triple-quadrupole via electrospray ionization (ESI) or atmospheric pressure chemical ionization (APCI), however TOF-MS is considered a powerful analytical tool for analysis of herbal extract as it is capable of 10,000 or more resolving power expressed in terms of full peak width at one-half maximum (FWHM). The TOF-MS provides accurate mass measurements and has high acquisition speed as well as full scan spectral sensitivity [30]. Twenty-five compounds were detected in the extracts mainly belonging to flavonoids and alkaloids.
DPPH is a dark-colored crystalline powder composed of stable free radical molecules. The DPPH scavenging assay is considered a simple, rapid, sensitive and reproducible procedure to evaluate the free radical scavenging effect of plant extracts. The assay is based on the scavenging of DPPH by the addition of a radical or an antioxidant species that decolorizes the DPPH solution. The degree of decolorization of the DPPH solution is proportional to the concentration and potency of the antioxidant compound [31]. The result of our DPPH scavenging activity showed the strong antioxidant activity of the plant extract in a dose-dependent manner. Previously, the DPPH scavenging effect of A. rotundifolia leaves was also studied by Reddy and Grace [13], where they concluded that the extracts possess strong DPPH activity which correlated well with our study. Thus, ARELE contain phytochemical constituents that were able to donate hydrogen to a free radical to scavenge the potential damage.
Nitric oxide plays a vital role in various types of inflammatory processes taking place in an animal body. In biological tissues, nitric oxide radical (NO•) is produced by specific nitric oxide synthesis. In the process of synthesis, arginine is metabolized to citrulline with the production of nitric oxide radical (NO•) via five electron oxidative reaction. At a pH of 7.2 sodium nitroprusside decomposes in aqueous solution and produce nitric oxide radical (NO•). Stable products like nitrite and nitrate are produced when nitric oxide radical (NO•) reacts with oxygen under aerobic conditions. The quantities of these stable products (nitrite and nitrate) are determined by the help of Griess reagent [32]. In our study, the test extract showed dose-dependent nitric oxide radical scavenging activity which was comparatively lower than reference standard ascorbic acid.
Hydrogen peroxide like superoxide is an important member of ROS mainly because of its capability to penetrating biological membrane. They occur naturally in air, water, plants, the human body, micro-organisms at a low concentration [33]. H2O2 damages cells and deoxyribonucleic acid (DNA) by rapidly decomposing into oxygen and water thereby producing hydroxyl radicals (OH) which initiates lipid peroxidation resulting in DNA damage [34]. Our investigation of ARELE on its ability to scavenge H2O2 free radical showed that they produced the moderately high scavenging effect which could be due to the presence of phenolic groups which might have donated electrons to hydrogen peroxide which neutralizes into the water.
Superoxide is a reactive oxygen species (ROS) which are responsible for causing various diseases by damaging cells and DNA [35]. Superoxide anion is a weak oxidant and produces singlet oxygen as well as dangerous hydroxyl radicals, both of which are known for causing oxidative stress [36]. The result of our study showed that the plant extract had enough capacity of scavenging superoxide radical in a dose-dependent manner and thus it can be said that ARELE was able to scavenge superoxide radical indicating its potent antioxidant effect.
Peroxidation in polyunsaturated lipids induced by free radical usually occurs through ferryl-perferryl complex or through OH radicals [37]. In this study lipid peroxidation was induced in egg-yolk homogenate which was chosen as the lipid-rich media. The study revealed high activity which was in a concentration-dependent manner.
The reducing ability of a compound may also be taken as an indicator of its antioxidant potential. In this assay the yellow colour of the test sample changes to green depending on the reducing ability of the test samples. The reducing agents present in the test solution reduce the Fe3+/ferricyanide complex to the ferrous form. Thus, the formation of Fe2+is measured by recording the absorbance at 700 nm. Thus, an increase in absorbance denotes an increase in reducing ability of the test substance. According to a report by Gordon [38], the reducing ability have been shown to exert an antioxidant effect by donating a hydrogen atom to break the free radical chain. In our study, the reducing ability of the test extract was in a dose-dependent manner thus more the concentration more was the reduction of Fe3+/ferricyanide complex to the ferrous form.
The total antioxidant capacity of the test extracts was recorded spectrophotometrically through phosphomolybdenum method which is based on the reduction of Mo (VI) to Mo (V) by the sample under study and the subsequent formation of green phosphate/Mo (V) compounds having maximum absorption at 765 nm [39]. Our study revealed that the test extract was able to strongly reduce Mo (VI) to Mo (V) showing its potent antioxidant capacity. In our LC-Q-TOF-MS study, few of the compounds detected were proved to possess strong antioxidant properties previously such as solasodine [40], hesperidin [41], genistein [42], neoeriocitrin [43]. Thus, the antioxidant activity shown by the extract could be possibly due to the presence of these phytoconstituents in the extract.
This study revealed that ARELE possesses strong antioxidant properties which has been demonstrated in seven in vitro models viz., DPPH radical scavenging activity, NO scavenging activity, H2O2 scavenging assay, SOD radical scavenging activity, LPO assay, RP method, and total antioxidant activity (Phosphomolybdenum method). The antioxidant properties of ARELE may be attributed due the presence of several phytoconstituents which has been estimated qualitatively using the LC-Q-TOF-MS analysis. This work gives much in-depth information of its phytochemical and antioxidant properties. All the phytoconstituents detected in the LC-Q-TOF-MS analysis are being reported for the first time from this mangrove plant. This study can also be taken as a benchmark for further investigation to identify the phytoconstituents which are responsible for the antioxidant activities and study their mechanism of actions.
This research did not receive any specific grant from any funding agencies. We are thankful to GITAM (Deemed to be University), Visakhapatnam, Andhra Pradesh, India for providing facilities to carry out this research.
This research work has been performed in collaboration between all authors. All authors revised and approved the final manuscript.
The authors declare that they have no conflicts of interest.
Lu JM, Lin PH, Yao Q, Chen C. Chemical and molecular mechanisms of antioxidants: experimental approaches and model systems. J Cell Mol Med 2010;14:840-60.
Pham Huy LA, He H, Pham Huy C. Free radicals, antioxidants in disease and health. Int J Biomed Sci 2008;4:89-96.
Geetha S, Irulandi K, Mehalingam P. Evaluation of antioxidant and free radical scavenging activities of different solvent extracts of leaves of Piper umbellatum. Asian J Pharm Clin Res 2017;10:274-6.
Taghvaei M, Jafari SM. Application and stability of natural antioxidants in edible oils in order to substitute synthetic additives. J Food Sci Technol 2015;52:1272-82.
George M, Britto SJ. Phytochemical, antioxidant and antibacterial studies on the leaf extracts of Curcuma amada Roxb. Int J Curr Pharm Res 2016;8:32-8.
Lobo V, Patil A, Phatak A, Chandra N. Free radicals, antioxidants and functional foods: Impact on human health. Pharmacog Rev 2010;4:118-26.
Zhao HX, Zhang HS, Yang SF. Phenolic compounds and its antioxidant activities in ethanolic extracts from seven cultivars of Chinese jujube. Food Sci Human Wellness 2014;3:183-90.
Bandaranayake WM. Bioactivities, bioactive compounds and chemical constituents of mangrove plants. Wetl Ecol Manag 2002;10:421-52.
Ghosh D, Mondal S, Ramakrishna K. Pharmacobotanical, physicochemical and phytochemical characterisation of a rare salt-secreting mangrove Aegialitis rotundifolia Roxb., (Plumbaginaceae) leaves: a comprehensive pharmacognostical study. S Afr J Bot 2017;113:212–29.
Bandaranayake WM. Traditional and medicinal uses of mangroves. Mangroves Salt Marshes 1998;2:133-48.
Ray T. Customary use of mangrove tree as a folk medicine among the sundarban resource collectors. Int J Res Humanities Arts Literature 2014;2:43-8.
Raju GS, Moghal MMR, Hossain MS, Hassan MM, Billah MM, Ahamed SK, et al. Assessment of pharmacological activities of two medicinal plant of Bangladesh: Launaea sarmentosa and Aegialitis rotundifolia roxb in the management of pain, pyrexia and inflammation. Biol Res 2014;47:55.
Reddy ARK, Grace JR. In vitro evaluation of antioxidant activity of Brugeiera gymnorrhiza and Aegialitis rotundifolia. Med Aromat Plants 2016;5:231.
Sett S, Mahish C, Poirah I, Dutta D, Mitra A, Mitra AK. Antifungal activity of Aegialitis rotundifolia extract against pathogenic fungi Mycovellosiella. World J Pharm Res 2014;3:403-17.
Sett S, Hazra J, Datta S, Mitra A, Mitra AK. Screening the Indian sundarban mangrove for antimicrobial activity. Int J Sci Innovations Discoveries 2014;4:17-25.
Hasan I, Hussain MS, Millat MS, Sen N, Rahman MA, Rahman MA, et al. Ascertainment of pharmacological activities of Allamanda neriifolia hook and Aegialitis rotundifolia roxb used in Bangladesh: an in vitro study. J Tradit Complement Med 2018;8:107-12.
Reddy ARK, Grace JR. Anticancer activity of methanolic extracts of selected mangrove plants. Int J Pharm Sci Res 2016;7:3852-6.
Harborne JB. Phytochemical methods: a guide to modern techniques of plant analysis. Chapman and Hall. New York; 1984.
Kokate CK. Practical pharmacognosy. Fourth ed. Vallabh Prakashan, Delhi, India; 1994.
Mondal S, Ghosh D, Ganapaty S, Chekuboyina SV, Samal M. Hepatoprotective activity of Macrothelypteris torresiana (Gaudich.) aerial parts against CCl4-induced hepatotoxicity in rodents and analysis of polyphenolic compounds by HPTLC. J Pharm Anal 2017;7:181–9.
Zengin G, Cakmak YS, Guler GO, Aktumsek A. In vitro antioxidant capacities and fatty acid compositions of three centaurea species collected from central anatolia region of turkey. Food Chem Toxicol 2010;48:2638–41.
Marcocci L, Maguire JJ, Droy Lefaix MT, Packer L. The nitric oxide-scavenging properties of Ginko bilboa extract EGb 761. Biochem Biophys Res Commun 1994;201:748-55.
Ruch RJ, Cheng SJ, Klaunig JE. Prevention of cytotoxicity and inhibition of intercellular communication by antioxidant catechins isolated from Chinese green tea. Carcinogenesis 1989;10:1003–8.
Dasgupta N, De B. Antioxidant activity of Piper betel L. leaf extract in vitro. Food Chem 2004;88:219-24.
Zhou G, Chen Y, Liu S, Yao X, Wang Y. In vitro and in vivo hepatoprotective and antioxidant activity of ethanolic extract from Meconopsis integrifolia (Maxim.) Franch. J Ethnopharmacol 2013;148:664–70.
Prieto P, Pineda M, Aguilar M. Spectrophotometric quantitation of antioxidant capacity through the formation of a phosphomolybdenum complex: specific application to the determination of Vitamin E. Anal Biochem 1999;269:337–41.
Archana D, Dixitha M, Santhy KS. An antioxidant and anti clastogenic potential of Piper longum L. Int J Appl Pharm 2015;7:11-4.
Mahajan S, Tuteja N. Cold, salinity and drought stresses an overview. Arch Biochem Biophys 2005;444:139–58.
Thatoi HN, Patra JK, Das SK. Free radical scavenging and antioxidant potential of mangrove plants: a review. Acta Physiol Plant 2014;36:561-79.
Zhou JL, Qi LW, Li P. Herbal medicine analysis by liquid chromatography/time-of-flight mass spectrometry. J Chromatogr A 2009;1216:7582–94.
Krishnaiah D, Sarbatly R, Nithyanandam R. A review of the antioxidant potential of medicinal plant species. Food Bioprod Process 2011;89:217-33.
Alam MN, Bristi NJ, Rafiquzzaman M. Review on in vivo and in vitro methods evaluation of antioxidant activity. Saudi Pharm J 2013;21:143-52.
Gulcin I, Berashvili D, Gepdiremen A. Antiradical and antioxidant activity of total anthocyanins from Perilla pankinensis decne. J Ethnopharmacol 2005;101:287-93.
Kasangana PB, Haddad PS, Stevanovic T. Study of polyphenol content and antioxidant capacity of Myrianthus Arboreus (Cecropiaceae) root bark extracts. Antioxidants 2015;4:410-26.
Alves CQ, David JM, David JP, Bahia MV, Aguiar RM. Methods for determination of in vitro antioxidant activity for extracts and organic compounds. Quim Nova 2010;33:2202-10.
Meyer AS, Isaksen A. Application of enzymes as food antioxidants. Trends Food Sci Technol 1995;6:300-4.
Gutteridge JM. Age pigment and free radicals. Fluorescent lipid complexes formed by Iron and copper containing proteins. Biochim Biophys Acta 1985;834:144-8.
Gordon MH. The mechanism of antioxidant action in vitro. In: B. J. Hudson (Eds.), Food antioxidants. Elsevier Applied Science, London; 1990. p. 1-18.
Zengin G, Nithiyanantham S, Locatellic M, Ceylan R, Uysal S, Aktumsek A, et al. Screening of in vitro antioxidant and enzyme inhibitory activities of different extracts from two uninvestigated wild plants: Centranthus longiflorus subsp. longiflorus and Cerinthe minor subsp. Auriculata. Eur J Integr Med 2016;8:286-92.
Srinivas K, Jimoh FO, Grierson DS, Afolayan AJ. Antioxidant activity of two steroid alkaloids extracted from Solanum aculeastrum. J Pharmacol Toxicol 2007;2:160-7.
Wilmsen PK, Spada DS, Salvador M. Antioxidant activity of the flavonoid hesperidin in chemical and biological systems. J Agric Food Chem 2005;53:4757-61.
Record IR, Dreosti IE, McInerney JK. The antioxidant activity of genistein in vitro. J Nutr Biochem 1995;6:481-5.
Yu J, Wang L, Walzem RL, Miller EG, Pike LM, Patil BS. Antioxidant activity of citrus limonoids, flavonoids, and coumarins. J Agric Food Chem 2005;53:2009-14.