School of Life Sciences, Sun Yat-Sen University, 132 Waihuan Dong Road, Guangzhou, Guangdong Province, 510006, People’s Republic of China, School of Chemistry and Chemical Engineering, Lingnan Normal University, Zhanjiang 524048, People’s Republic of China
Email: lssxh@mail.sysu.edu.cn
Received: 17 Sep 2014 Revised and Accepted: 20 Oct 2014
ABSTRACT
Objective: We previously found that total saponins, purified from the caudexes and leaves of Panax notoginseng (SCLPN), had antidepressant effects. In the present study, we investigated saponin monomers of SCLPN that may be the main constituents that contribute to the antidepressant effects of SCLPN.
Methods: Three effective fractions of SCLPN, purified using a macroporous resin method, at doses of 50 and 100 mg/kg were tested in four different animal models of stress, including the learned helplessness test, tail suspension test, forced swim test, open field test, and reserpine-induced syndrome model. Using the same models of stress and the same doses, we then evaluated the antidepressant effects of four main and representative saponin monomers (ginsenosides Rd, Rb1 and Rg1 and notoginsenoside R1) in different effective fractions. We also examined the effects of Rd and Rb3 on monoamine neurotransmitter levels. To investigate the biotransformation of Rb1 and Rb3 orally administered in mice, Rb1 and Rb3 metabolites in blood and brain were determined by high-performance liquid chromatography.
Results: Effective fraction A and C exerted greater antidepressant effects than fraction B in the behavioral tests and reserpine-induced syndrome model. Among the four saponin monomers, Rd had the strongest antidepressant effects, which improved depressive-like behavior in all four animal models of depression. We then found that Rb3 (50 and 100 mg/kg) and Rd (100 mg/kg) increased the levels of 5-hydroxytryptamine, dopamine, and norepinephrine, whereas 50 mg/kg Rd had no effect on the levels of these three neurotransmitters. Ginsenoside Rh2, C-K, and 20 (S)-protopanaxadiol saponins were detected in blood samples from mice that received Rb1 and Rb3, and protopanaxadiol saponins were found in the brain.
Conclusion: The present results indicate that protopanaxadiol saponins in SCLPN have potential antidepressant-like effects.
Keywords: Effective fraction, SCLPN, Ginsengnoside Rb3, Ginsengnoside Rd, Ginsengnoside Rb1, Ginsengnoside Rg1, Notoginsenoside R1, Antidepressant, Animal model, Macroporous resin.
INTRODUCTION
Depression has become a serious and deliberating health problem worldwide [1]. For example, a recent survey conducted from 2006 to 2008 indicated that 9.0% of 235,067 American adults met the criteria for current depression, including 3.4% who met the criteria for major depression [2]. The symptoms of depression include sadness, loss of interest or pleasure in usual activities, changes in weight and appetite, sleeplessness, energy loss, hopelessness, and even suicidal tendencies [3]. Although no conclusive theory exists to explain the pathogenesis of depression [4], disturbances in the function of monoaminergic neurotransmitters including 5-hydroxytryptamine (5-HT), norepinephrine (NE), and dopamine (DA) [5-7], are commonly accepted as being associated with the pathogenesis of depression.
With regard to pharmacological treatments for depression, selective serotonin reuptake inhibitors (SSRIs) are the most common, including fluoxetine and paroxetine. Serotonin norepinephrine reuptake inhibitors (SNRIs) are also widely available, including desvenlafaxine, venlafaxine, and duloxetine. Additionally, tricyclic antidepressants (TCAs) and monoamine oxidase inhibitors (MAOIs) have been used in the past but now have been mostly discarded [8-10]. These medications have some efficacy but tend to be associated with such side effects as sedation, sleep disturbances, apathy, fatigue, sexual dysfunction, and cognitive impairment [11]. Therefore, more effective and better-tolerated antidepressants are still needed. Increasingly more herbal medicines have been used as alternative remedies for depression, such as St. John's wort (Hypericum perforatum) [12, 13], Curcuma longa [14], Asparagus racemosus [15], and Salviasclarea [16]. Many of these are available as over-the-counter psychotropic herbal medicines. They are fairly safe and present fewer side effects compared with conventional pharmacotherapies [17]. Thus, herbal remedies may be prospective alternatives for the treatment of depression.
Several medicinal plants of the Panax genus, including Panax ginseng C. A. Mey. (ginseng), Panax quinquefolius L. (American ginseng), and Panax notoginseng (Burk.) F. H. Chen (notoginseng), are renowned and widely used in China. Asian ginseng and American ginseng are mainly used as tonics and stimulants, whereas notoginseng is used to eliminate blood stasis and arrest bleeding [18]. Modern pharmacological research on notoginseng has indicated that various therapeutic effects on different body systems [19, 20]. P. notoginseng contains dozens of drammarane triterpene saponins, which can be classified into two groups two groups— 20(S)-protopanaxatriol saponins (PTSs) and 20(S)-protopanaxadiol saponins (PDSs)—according to different aglycons [21]. The root of Panax notoginseng contains nearly equal amounts of PTSs and PDSs, but the leaves and flowers mostly include protopanaxadiol (ppd)-type saponins [22].
Numerous ginsenosides and notoginsenosides have been isolated from the total saponins of the caudexes and leaves of Panax notoginseng (SCLPN). Among these constituents, ginsenosides Rb3, Rb1, and Rc and notoginsenoside Fc were found in high concentrations in SCLPN, which all belonged to PDSs [23, 24]. Several studies have reported the effects of SCLPN for the treatment of anxiety, insomnia, and neurasthenia neurosis [25, 26]. Recently, studies in our laboratory demonstrated that SCLPN possessed potential antidepressant effects [27].
Specifically, ginsenoside Rb3, which is found in high amounts in SCLPN, has been shown to have antidepressant-like effects in several behavioral tests in mice [28]. Thus, we further purified SCLPN using a macroporous resin method and investigated the possible antidepressant-like effects of three effective fractions in rodent models of depression. To determine which types of saponin monomers in SCLPN are the main components that contribute to its anti depressant effects, we evaluated four main and representative saponin monomers (ginsenosides Rd, Rb1, and Rg1 and notoginsenoside R1) and ginsenoside Rb3 in different effective fractions. The metabolites of Rb1 and Rb3 in mouse blood and brain were detected to better understand the differences in the effects of these monomers.
MATERIALS AND METHODS
Animals
KM mice (Experimental Animal Center of Zhongshan School of Medicine, Guangdong, China), weighing 18-22 g at the beginning of the study, were group-housed under standard laboratory conditions (24 ± 2 °C; 12 h/12 h light/dark cycle) with standard food and water available ad libitum. All of the experiments were conducted in compliance with the National Institutes of Health Guide for the Care and Use of Laboratory Animals (NIH Publication no. 85-23, revised 1985) and the Animal Welfare Committee of Sun Yat-Sen University. All efforts were made to minimize the number of animals used and their suffering.
Drugs and chemicals
Paroxetine (Smith Kline, Tianjin, China), maprotiline and anafranil (Novartis, Beijing, China), and fluoxetine (Patheon, Bourgoin-Jallieu, France) were used as positive control drugs. 5-hydroxytryptophan (5-HTP) (Adobe Fournier Biological Technology, Nanjing, China) and clonidine (Advanced Technology and Industry Company, Hong Kong, China) were separately dissolved in sterilized physiological saline to form 10.0 mg/ml 5-HTP solutions and 5.0 mg/ml clonidine solutions. L-DOPA (Adobe Fournier Biological Technology, Nanjing, China) was first dissolved in hydrochloric acid solution (1 M), to which ascorbic acid (0.2 mg/ml) and NaH2PO3 (30 mg/ml) were successively added to form 10.0 mg/ml L-DOPA solutions. NaCl, ascorbic acid, and NaH2PO3 were all analytical grade and purchased from Guangzhou Chemical Reagent Factory (Guangzhou, China).
Effective fractions purified with macroporous resins from total saponins and saponin monomers
Effective fractions from the total saponins were extracted and purified using macroporous resins. D101 macroporous resins were sequentially pretreated with 95% ethanol, 1 M HCl solution, and 1 M NaOH solution to remove the resin residues and porogenic agents trapped inside the pores during the synthesis process. Macroporous resins were then thoroughly washed with distilled water. Total saponins (5 g) from the caudexes and leaves of Panax notoginseng (Guangdong Medi-World Pharmaceutical Co. Ltd. Foshan, China) were dissolved with 50 ml distilled water and filtered. The filtrate was then absorbed on a glass column (60 × 2 cm) that was wet-packed with D101 macroporous resin. The column was eluted with a gradient elution of 50%, 60%, 70%, 80%, and 90% ethanol at an optimized flow rate of 3 BV/h. After the resulting elution was respectively concentrated in a rotary evaporator under reduced pressure and further dried under vacuum, five fractions were obtained. Their chemical components were determined by high-performance liquid chromatography (HPLC). Among these, the fractions that were obtained with the 50% and 60% ethanol elutions showed nearly equal components, similar to the fractions obtained with the 80%and 90% ethanol elutions. The 60%, 70%, and 80% elution fractions, referred to as fractions A, B, and C, respectively, was chosen for further evaluation of their antidepressant effects, and SCLPN was referred to as total saponins D.
Ginsenosides Rd, Rb1, and Rg1 and notoginsenoside R1 (purity > 98%; Plant Pharmaceutical Company, Yunnan, China) and ginsenoside Rb3 (purity > 90%; Fengshanjian, Kunming, China) were purified by HPLC. The structural formulas of the main ginsenosides Rd, Rb1, Rb3, Rg1, and R1 are shown in Fig.1. Fractions A, B, and C, total saponins D, and all of dosages are expressed as milligrams per kilogram body weight.

| Compounds | R1 | R2 | R3 |
| GinsenosideRd | -Oglc(2→1)glc | -OH | -Oglc |
| GinsenosideRb1 | -Oglc(2→1)glc | -OH | -Oglc(6→1)glc |
| GinsenosideRb3 | -Oglc(2→1)glc | -OH | -Oglc(6→1)xyl |
| GinsenosideRg1 | -OH | -Oglc | -Oglc |
| NotoginsenosideR1 | -OH | -Oglc(2→1)xyl | -Oglc |
Fig. 1: It shows chemical structure of Panax notoginsenoside R1 and ginsenoside Rg1, Rd, Rb1, and Rb3.
Open field test
Psychostimulants may show antidepressant-like effects in the forced swim test (FST), but they are clinically ineffective as antidepressants [29]. To exclude the possibility of false positive results, we evaluated their acute effects on locomotor activity in the open field test (OFT) before conducting the FST. One hour after vehicle or saponin administration, each mouse was individually placed in a corner of a square arena ( × × 35 cm) [30] and videotaped continuously for 5 min. The total distance travelled was analyzed using the ZH-QPT Analytic System (Zhenghua, Huaibei, China).
We also analyzed the central distance travelled in the OFT to assess exploration of the new environment. The apparatus was cleaned between tests.Decreases in the total distance travelled were interpreted as a decrease in locomotor activity.
Tail suspension test
The mice were subjected to the TST as previously described [31]. They were individually suspended upside down by their tail from a ledge with adhesive tape (approximately 1 cm from the tip of the tail) in a sound-proof box, with their forelimbs 10 cm away from the tabletop. Each mouse was videotaped for 6 min and the cumulative time of immobility during the last 4 min was analyzed using the ZH-QPT Analytic System (Zhenghua, Huaibei, China). The mice were considered immobile only when they hung passively and completely motionless.
Forced swim test
The mice were subjected to the FST described by Porsolt [32]. Each mouse was placed in a glass cylinder (19 cm diameter × 25 cm height) with water at a depth of 18 cm (23-25 °C) for 6 min, and the cumulative time of immobility during the last 4 min was recorded using the ZH-QPT Analytic System. Immobility refers to the cessation of struggling and remaining motionless, with the exception of movements necessary to keep the mouse’s head above the water.
Learned helplessness test
In the learned helplessness test (LHT), the mice were exposed to inescapable and unpredictable electric shocks and observed for abnormal behaviors that reflect, to a certain extent, a deteriorated emotional state in humans [33]. The protocol was divided into two parts [34]. During the first part (helplessness induction, day 1), 60 scrambled randomized inescapable electric shocks (IESs; 36V, 15 s duration, 20-60 s intervals) were delivered through a stainless-steel grid floor in a two-way shuttle box (BA-200, TME Technology, Chengdu, China).
Control animals were placed in the boxes for the same period of time but did not receive electric shocks. During the second part (conditioned avoidance test, day 2), the mice were allowed to adapt to the shuttle box for 5 min and then were exposed to 30 avoidance trials. In each trial, a light signal (conditioned stimulus) was presented during the first 3 s, followed by a 3 s electric foot shock (36 V, unconditioned stimulus) that was administered via the grid floor of the shuttle box. A 24 s rest period than occurred. If a mouse failed to escape to the other compartment after the light signal (conditioned stimulus) and the electric foot shock (unconditioned stimulus), then an escape failure was recorded.
Reserpine-induced hypothermia, palpebral ptosis, and akinesia
The mice were randomly divided into 10 groups (n = 10 per group) that received saline (10 ml/kg, control group), saline (10 ml/kg, model group), effective fraction A (50 and 100 mg/kg), effective fraction B (50 and 100 mg/kg), effective fraction C (50 and 100 mg/kg), and total saponins D (50 and 100 mg/kg) continuously for 9 days. According to a previous study [35], 1 h after the final administration, the mice in the experimental groups (excluding the control group) were intraperitoneally injected with 2 mg/kg reserpine (Bangmin, Guangzhou, China). Three parameters (rectal temperature, degree of palpebral ptosis, and akinesia) were recorded 0, 1, 3, 5, and 7 h after reserpine treatment. The degree of palpebral ptosis was evaluated using the following rating scale: 0 (eyes open), 1 (eyes one-quarter closed), 2 (eyes half closed), 3 (eyes three-quarters closed), and 4 (eyes completely closed) [36]. The mice were placed in the center of a circle (7.5 cm diameter) to measure akinesia. A mouse was judged as akinetic (i. e. present or not) if it stayed within the circle for more than 15 s [37].
5-HTP-induced head-twitch test
The 5-HTP-induced head-twitch test [38] was performed to investigate the possible involvement of the serotonergic system in the antidepressant-like effects of Rd and Rb3. The mice were randomly divided into groups (n = 10 per group) and orally given distilled water, Rd or Rb3 (50 and 100 mg/kg), or Anafranil (30 mg/kg) for 2 days in a volume of 0.1 ml/10 g body weight. Thirty minutes after the last oral administration, each mouse was individually placed in a cage and the cumulative number of head twitches was counted 10-30 min immediately after 5-HTP injection (100 mg/kg, i. p.).
Clonidine-induced aggressive behavior in mice
Clonidine-induced aggression in mice [39] was assessed to determine the possible involvement of the noradrenergic system in the antidepressant-like effects of Rd and Rb3. Male mice were randomly divided into groups (n = 7 pairs per group) that were orally given distilled water, Rd and Rb3 (50 and 100 mg/kg), and maprotiline (18 mg/kg) for 2 days in a volume of 0.1 ml/10 g body weight. Thirty minutes after the final administration, each animal was intraperitoneally injected with clonidine (50 mg/kg). Pairs of two mice (from the same group) were then placed together in a cage. A blind observer recorded biting/fighting time over 20 min.
L-DOPA -induced running behavior in mice
L-DOPA-induced running behavior was evaluated according to a previous study [40] to investigate the possible involvement of the dopaminergic system in the antidepressant-like effects of Rd and Rb3. The mice were randomly divided into groups (n = 10 per group) and orally given distilled water, Rd, and Rb3 (both 50 and 100 mg/kg) for 2 days in a volume of 0.1 ml/10 g body weight. One hour after the last administration, the mice were intraperitoneally treated with L-DOPA (200 mg/kg) and then placed in the open-field box to videotape the distance travelled during the 20-30 min period after the injection.
Analysis of Rb1andRb3 metabolites
Distilled water and hydrosoluble Rb1 and Rb3 were administered to three groups (n = 4 per group) of KM mice that weighed 18-22 g after they were fasted for 24 h. Blood and brain samples were then collected 3 h after administration. The blood samples were collected using a centrifugal pipe that was wetted with 3.8% sodium citrate and mixed equally with 100% acetonitrile before centrifugation. Brain tissues from each mouse were rinsed several times in normal saline (0.9%) and homogenized in 50% acetonitrile to prepare the homogenates. After centrifugation at 5000 rotations per minute for 10 min (Eppendorf Centrifuge 5415R, Hamburg, Germany), the supernatant was analyzed using an HPLC system (Shimadzu) equipped with an ultraviolet-visible detector. Chromatographic separation was achieved using an Ultimate AQ-C18 column (250 × 4.6 mm inner diameter, 5 μm pore size, Welch Materials Inc, Shanghai, China) at 25 °C. The isocratic mobile phase consisted of methanol: water (90: 10, v/v), with a flow rate of 0.7 ml/min. The injection volume was 20 μl, the detection wave length was 203 nm, and the elution time was 20 min.
Data analysis
All of the data were analyzed using Origin 8.0 and Microsoft Excel 2003 software. The results are expressed as mean ± standard error of mean (SEM) unless stated otherwise. The statistical analysis of the results of reserpine-induced akinesia was performed using the χ2 test. All other significant differences between groups were evaluated using one-way analysis of variance (ANOVA) and an unpaired two-tailed Student’s t-test. Values of p < 0.05 were considered statistically significant.
RESULTS
Chemical characteristics of several effective fractions from total saponins purified with macroporous resins
As shown in Fig.2 fraction A mostly consisted of ppd-type ginsenosides, including 3.85% ginsenoside Rb1, 9.39% ginsenoside Rc, 10.77% notoginsenoside Fc, 2.86% ginsenoside Rb2, 20.34% ginsenoside Rb3 and 3.25% ginsenoside Rd. Fraction B contained a large amount of unknown components that appeared to be gypenosides, and also a small amount of the above panaxadiol-type ginsenosides, including 1.03% ginsenoside Rb1, 1.58% ginsenoside Rc, 2.16% notoginsenoside Fc, 0.65% ginsenoside Rb2, 4.69% ginsenoside Rb3 and 10.99% ginsenoside Rd. Compared with fraction A, fraction B had more ginsenoside Rd. Fraction C was composed of some low polar ginsenosides, such as 5.88% ginsenoside Rg3, 1.76% ginsenoside C-K, and 2.79% ginsenoside Rh2, which were a small amount in the total saponins.

Fig. 2: It shows HPLC chromatograms of several effective fractions from total saponins purified with macroporous resins
Total saponins, HPLC chromatogram of total saponins D; 50%, HPLC chromatogram of an effective fraction from the total saponins obtained from the resulting elution of a glass column wet-packed with macroporous resin. The column was eluted with an elution of 50% ethanol at an optimized flow rate of 3 BV/h. 60%, HPLC chromatogram of the effective fraction A obtained from the resulting elution of a glass column wet-packed with macroporous resin. The column was eluted with an elution of 60% ethanol at an optimized flow rate of 3 BV/h. 70%, HPLC chromatogram of the effective fraction B obtained from the resulting elution of a glass column wet-packed with macroporous resin. The column was eluted with an elution of 70% ethanol at an optimized flow rate of 3 BV/h. 80%, HPLC chromatogram of the effective fraction C obtained from the resulting elution of a glass column wet-packed with macroporous resin. The column was eluted with an elution of 80% ethanol at an optimized flow rate of 3 BV/h. 90%, HPLC chromatogram of an effective fraction from the total saponins obtained from the resulting elution of a glass column wet-packed with macroporous resin. The column was eluted with an elution of 90% ethanol at an optimized flow rate of 3 BV/h. The effective fractions obtained with 60%, 70%, 80% ethanol elutions were referred to as effective fractions A, B, and C, respectively.
Effects of effective fractions and total saponins on behavioral despair models
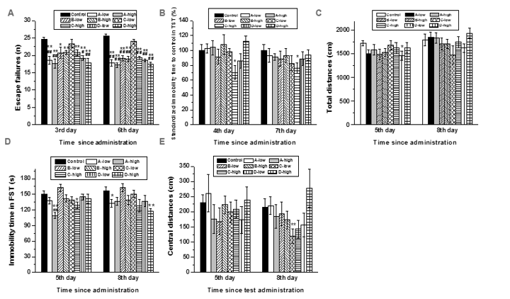
The mice were randomly divided into nine groups (n =10 per group): control (physiological saline), effective fractions A, B, and C (50 and 100 mg/kg), and total saponins D (50 and 100 mg/kg). The mice were orally administered the test drugs and vehicle for 9 days. On the second day, the mice were subjected to the LHT. On the third and sixth days, the mice were subjected to the conditioned avoidance test. On the fourth and seventh days, the mice were subjected to the TST. On the fifth and eighth days, the mice were subjected to the OFT and then the FST. On the ninth day, the mice were subjected to the reserpine reversal test.
As shown in Fig. 3A, fraction A (50 and 100 mg/kg) reduced the number of escape failures by 24.4% and 28%, respectively, on the third day and 30.4% and 32.8% on the sixth day (ANOVA and t-test; p<0.01, vs. control). Total saponins D (50 and 100 mg/kg) exerted similar effects as fraction A. Fractions B and C (100 mg/kg) both significantly decreased the number of escape failures on the third day (t-test; both p<0.01, vs. control) and sixth day (ANOVA and t-test; both p<0.01, vs. control). Fraction C (50 mg/kg) had no significant effect compared with the control group. Fraction B (50 mg/kg) exerted a significant effect on the third day (t-test; p<0.05, vs. control) and sixth day (ANOVA and t-test; p<0.01, vs. control).
The TST results (Fig. 3B) are expressed as a percentage of the mean immobility time in the control group. On the fourth and seventh days, fraction C (100 mg/kg) significantly reduced immobility time by 29.3% and 24% (t-test; p<0.05, vs. control), respectively. The other groups did not exhibit significant decreases compared with the control group.
The effects of effective fractions A, B, and C and total saponins D on the total distance travelled in the OFT are shown in Fig. 3C. On day 5, total saponins D (50 mg/kg) significantly decreased the total distance travelled (t-test; p<0.05, vs. control), but the other groups did not exhibit significant differences. On day 8, none of the groups exhibited significant differences compared with the control group. The effects of fractions A, B, and C and total saponins D on the central distance travelled in the OFT are shown in Fig. 3E. On day 5, no significant differences were observed among groups. On day 8, fraction C (50 mg/kg) significantly decreased the central distance travelled by 44.4%.
The FST results are shown in Fig. 3D. On the fifth day, fractions A (100 mg/kg) and C (100 mg/kg) significantly reduced immobility time by 27.8% (ANOVA and t-test; p<0.01, vs. control) and 14.6% (t-test; p<0.05, vs. control). The other groups did not exhibit significant differences. On the eighth day, fractions A (50 mg/kg) and D (100 mg/kg) significantly decreased immobility time by 15.3% (t-test; p<0.05, vs. control) and 24.8% (t-test; p<0.01, vs. control), respectively. The other groups did not exhibit significant differences.
Summarizing the above results, three effective fractions from SCLPN presented more significant effects in the LHT than in the TST and FST. Fraction A at both dosages exerted significant effects in the LHT and FST on both test days. Fraction B exerted significant effects only in the LHT. Fraction C at only 100 mg/kg exerted significant effects in the LHT, TST, and FST. In summary, fractions A and C presented more robust antidepressant potential than fraction B, and fraction C significantly influenced the central distance travelled in the OFT.
Effects of effective fractions on reserpine-induced syndrome
Reserpine is an antihypertensive drug that depletes neuronal storage granules of biogenic amines in the brains of rodents and produces a clinically significant depressive-like state [41]. Mice will show several symptoms such as, eyelid drooping, hypothermia, and akinesia, in response to reserpine.
Fig. 4A shows a significant reduction of rectal temperature from the 3rd hour to the 7th hour after reserpine administration. With the exception of the group that received the fraction A at 50 mg/kg at the 1st hour, pretreatment with fraction A significantly attenuated the hypothermic response from the 1st hour to the 7th hour (t-test; p< 0.01, vs. model). Fraction C at both dosages significantly increased rectal temperature from the 1st hour to the 7th hour (t-test, at the 1st hour, p < 0.05, vs. model; at the 3rd, 5th, and 7th hours, p < 0.01, vs. model). With the exception of the group that received total saponins D at 100 mg/kg at the 1st hour, pretreatment with total saponins D significantly increased rectal temperature from the 1st hour to the 7th hour. Neither fraction B group exhibited a significant increase in rectal temperature during the entire trial.
The degree of palpebral ptosis in mice (Fig. 4B) was significantly aggravated by reserpine treatment compared with controls. Fraction A (100 mg/kg) significantly reversed palpebral ptosis from the 1st hour to the 7th hour compared with the model group. However, fraction A (50 mg/kg) significantly ameliorated palpebral ptosis only at the 1st and 7th hours (t-test; p < 0.05, vs. model). A similar effect was observed with fraction D (50 mg/kg). The degree of palpebral ptosis in the fraction B groups was significantly decreased only at the 1sthour (t-test; p < 0.05, vs. model). Compared with the model group, total saponins D (100 mg/kg) and fraction C (50 mg/kg) significantly reduced in the degree of palpebral ptosis at the 1st, 3rd, and 7th hours. Fraction C (100 mg/kg) significantly attenuated the degree of palpebral ptosis only at the 7th hour (t-test; p < 0.01, vs. model). In the control group, all of the mice opened their eyes completely in the test (data from the control group were all zero and are not presented in the figure). The χ2 test was used to analyze the results of the akinesia test. As shown in Fig. 4C, the model group exhibited a significant reduction of the number episodes of creeping outside thecircle from the 1st hour to the 7th hour compared with the control group (p < 0.01). Fraction A, B, and C and total saponins D did not exert significant effects compared with the model group at the 1st, 3rd, 5th, and 7th hours. The results were standardized and are presented as a ratio of episode of creeping outside the circle. With the exception of fraction B (50 mg/kg) and fraction D (100 mg/kg), all of the other groups presented an increase in the ratio of the number of episodes of creeping outside the circle compared with the model group.

Fig. 3: It shows effects of fractions A, B, and C and total saponins D in behavioral despair models
The fig. shows the effects of fractions A, B, and C and total saponins D on (A) escape failures in the LHT (B), immobility time relative to controls in the TST (C), total distance travelled in the OFT (D), immobility time in the FST, *p<0.05, **p<0.01, vs. control group (t-test). #p<0.05, ##p<0.01, vs. control group (ANOVA). LHT, learned helplessness test; TST, tail suspension test; OFT, open field test; FST, forced swim test; Control, physiological saline; A-low, 50 mg/kg fraction A, A-high, 100 mg/kg fraction A; B-low, 50 mg/kg fraction B; B-high, 100 mg/kg fraction B; C-low, 50 mg/kg fraction C; C-high, 100 mg/kg fraction C; D-low, 50 mg/kg total saponins D; D-high, 100 mg/kg fraction D.
In summary, fractions A and C and total saponins D improved reserpine-induced hypothermia. Fraction B did not significantly influence this parameter. Fraction A had a similar effect on reserpine-induced eyelid drooping and akinesia as fraction C, and fraction B exerted weaker action in both tests.
Effects of Rd, Rb1, R1, and Rg1 in behavioral despair models
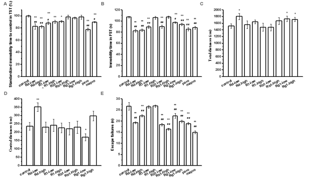
The three 20(S)- ppd-type ginsenosides Rd, Rb1, and Rb3, the main constituents of SCLPN [42], were distributed into effective fractions that were purified with macroporous resin, specially fraction A. Notoginsenoside R1 is characteristic of PN [43], and ginsenoside Rg1 is a 20(S)- ppd-type saponin. We chose R1 and Rg1 to investigate whether these types of saponins are responsible for the antidepressant effects of SCLPN. The antidepressant effect of Rb3, a major component of SCLPN, has been previously explored by our group. Therefore, we mainly evaluated the antidepressant effects of four representative saponin monomers (Rd, Rb1, R1, and Rg1).
The mice were randomly divided into 11 groups (n = 10 per group) that were orally administered with physiological saline (control), Rd, Rb1, R1 and Rg1 (50, 100 mg/kg), paroxetine (6 mg/kg), and maprotiline (18 mg/kg) for 6 days. The mice were subjected to the TST on the third day and OFT (with the exception of the paroxetine and maprotiline groups) and then the FST on the next day. On the fifth day, the mice were subjected to the LHT,followed by the conditioned avoidance test the next day.
In the TST (Fig. 5A), both the 50 and 100 mg/kg Rd and R1 groups exhibited a significant decrease in immobility time compared with the control group (ANOVA and t-test). The 50 mg/kg Rb1 group exhibited a significant decrease in immobility time (t-test; p < 0.05, vs. control). Rg1 at both 50 and 100 mg/kg had no significant effects on immobility time. The positive control drugs paroxetine and maprotiline significantly decreased immobility time by 22.2% and 10%, respectively (ANOVA: paroxetine, p < 0.01, maprotiline, p < 0.05, vs. control; t-test: both p < 0.01 vs. control).
As shown in Fig. 5B, both paroxetine and maprotiline exerted significant effects in the FST compared with the control group (ANOVA and t-test, p < 0.01), reducing immobility time by 20.0 % and 18.8%, respectively. Rd at both 50 and 100 mg/kg had similar effects as paroxetine and maprotiline in the FST, decreasing immobility time by 22.6% and 21.6%, respectively. Rg1 at 50 and 100 mg/kg significantly decreased immobility time (ANOVA: 100 mg/kg Rg1, p < 0.01, 50 mg/kg Rg1, p < 0.05, vs. control; t-test: both p < 0.01, vs. control). The 50 mg/kg R1 and Rb1 groups exhibited a significant decrease in immobility time in the FST (ANOVA and t-test; p < 0.01, vs. control), but the 100 mg/kg R1 and Rb1 groups did not exhibit significant differences from the control group.

Fig. 4: It shows effects of effective fractions A, B, and C and total saponins D on reserpine-induced hypothermia, palpebral ptosis, and akinesia. (A) Rectal temperature (B) Degree of palpebral ptosis (C) Number of episodes of creeping outside the circle. No significant difference was found among groups (χ2test). *p<0.05, **p<0.01, vs. control group (t-test). Control, noreserpine + saline; Model, reserpine + saline; A-l, reserpine + 50 mg/kg effective fraction A; A-h, reserpine + 100 mg/kg effective fraction A; B-l, reserpine + 50 mg/kg effective fraction B; B-h, reserpine + 100 mg/kg effective fraction B; C-l, reserpine + 50 mg/kg effective fraction C; C-h, reserpine + 100 mg/kg effective fraction C; D-l, reserpine + 50 mg/kg total saponins D; D-h, reserpine + 100 mg/kg effective fraction D.
The Rd (50 mg/kg) and Rg1 (50 and 100 mg/kg) groups exhibited a significant increase in the total distance travelled (Fig. 5C) in the OFT compared with controls (t-test; p < 0.05), indicating that Rd and Rg1 may enhance central nervous system excitation. The Rd (50 mg/kg) group exhibited a significant increase in the central distance travelled (Fig. 5D) in the OFT, whereas the 50 mg/kg Rg1 group exhibited a significant reduction of central locomotion compared with the control group (t-test; Rd, p < 0.01, Rg1, p < 0.05).
In the LHT (Fig. 5E), Rd (50 and 100 mg/kg) reduced the number of escape failures by 27.7% and 19.2%, respectively (ANOVA and t-test; p < 0.01, vs. control). Rb1 and Rg1 similarly significantly decreased the number of escape failures in the LHT by 31.1% (50 mg/kg Rb1), 38.6% (100 mg/kg Rb1), and by 16.1% (50 mg/kg Rg1), 25.5% (100 mg/kg Rg1). The R1 groups did not exhibit significant differences compared with the control group.
Based on the results of the TST, FST, OFT, and LHT, among the four saponin monomers, Rb1 and Rd exerted apparent effects in the TST, FST and LHT. R1 exerted apparent effects in the TST and FST, and Rg1 exerted effects in the FST and LHT. Rd and Rg1 also induced distinct changes in the OFT. Rd and Rb3 presented the most significant effects and were subsequently chosen to explore mechanisms of action that involve monoamine neurotransmitters in behavioral models.

Fig. 5: It shows effects of Rd, Rb1, R1, and Rg1 in behavioral despair models. The fig. shows the effects of ginsenoside Rd, Rb1, R1, and Rg1 and notoginsenoside R1 on (A) immobility time in the TST, (B) immobility time in the FST, (C) total distance travelled in the OFT, (D) central distance travelled in the OFT, and (E) escape failures in the LHT. *p<0.05, **p<0.01, vs. control group (t-test). #p<0.05, ##p<0.01, vs. control group (ANOVA). OFT, open field test; FST, forced swim test; TST, tail suspension test; LHT, learned helplessness test.
Mechanisms of action of Rb3 and Rd involving monoamine neurotransmitters in three behavioral models
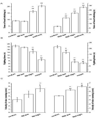
To further investigate the possible involvement of specific monoamine neurotransmitters in the antidepressant-like effects of Rd and Rb3, three animal models were established to test whether Rd and Rb3 affect 5-HT, NE, and DA. Some clinical antidepressants can increase the concentration of 5-HT in the synaptic cleft by blocking its reuptake to produce antidepressant-like effects [44, 45].
5-Hydroxytryptophan can be converted to 5-HT, a neurotransmitter that can enhance head-twitch behavior in mice. Therefore, the 5-HTP-induced head-twitch test was used to examine whether a drug can increase 5-HT levels. Rb3 (50 and 100 mg/kg) and Rd (100 mg/kg) significantly increased in the number of head twitches (ANOVA and t-test; p < 0.01), similar to the positive control drug anafranil (Fig. 6A), indicating that Rb3 and Rd may enhance 5-HT levels in vivo.
A previous study found that clonidine induced fighting behavior in mice at a high concentration [46]. This kind of behavior was suppressed by a noradrenergic receptor agonist. As shown in Fig. 6B, pretreatment with Rb3 (50 and 100 mg/kg) and Rd (100 mg/kg) significantly decreased the number of episodes of fighting behavior induced by clonidine compared with the control group (ANOVA and t-test; p < 0.01), demonstrating that Rb3 and Rd enhanced NE release similarly to maprotiline.
L-DOPA can induce running behavior in mice by activating dopaminergic systems [47]. Running behavior induced by L-DOPA is promoted by selective dopaminergic receptor agonists, indicating whether a drug activates dopaminergic neurons. In the present study, mice treated with Rb3 (50 and 100 mg/kg) and Rd (100 mg/kg) exhibited a significant enhancement of running velocity compared with the control group (ANOVA and t-test; p < 0.01; Fig. 6C). These results suggest that the effects of Rb3 and Rd might involve functional stimulation of dopaminergic pathways. Rb3 and Rd exerted obvious effects in three behavioral models, and the effects appeared to involve 5-HT, NE, and DA. However, the 50 mg/kg Rd group did not exhibit significant differences in the three experiments compared with the control group.

Fig. 6: It shows the effects of Rd and Rb3 in three behavioral models appear to involving monoamine neurotransmitters. (A) Effects of Rd and Rb3 on the number 5-HTP-induced head twitches in mice. (B) Effects of Rd and Rb3 on clonidine-induced aggressive behavior (episodes of fighting) in mice. (C) Effects of Rd and Rb3 on L-DOPA-induced running behavior (running velocity) in mice. *p<0.05, **p<0.01, vs. control group (t-test). #p<0.05, ##p<0.01, vs. control group (ANOVA). Control distilled water; Rd-low, 50 mg/kg Rd; Rd-high, 100 mg/kg Rd; Rb3-low, 50 mg/kg Rb3; Rb3-high, 100 mg/kg Rb3; mapro, maprotiline.
Metabolites of Rb1 and Rb3 in mouse blood and brain
Numerous studies have shown that a range of metabolites of ginsenosides might be formed in the gastrointestinal tract and might be the active principles in the body. Ginsenoside Rb1 is metabolized to secondary saponins and sapogenin or its corresponding oxygenated metabolites through the following pathway: Rb1 → Rd → F2, Rg3 → Compound K (CK), Rh2 →20 (S)-protopanaxadiol aglycon [48, 49]. Blood and brain samples underwent HPLC detection 3h after oral administration of Rb1 and Rb3 at a dosage of 500 mg/kg. The HPLC chromatograms (Fig. 7) showed that ginsenoside Rh2, C-K and 20(S)-PDSs were mainly detected in blood samples from mice that received Rb1 and Rb3. Only PDS were detected in the brain samples. These results are consistent with previous studies. However, other metabolites of Rb1 and Rb3 in blood and brain remain unknown and require further investigation.

Fig. 7: It shows HPLC chromatograms of metabolites in mouse blood and brain samples collected 3h after oral administration of distilled water, Rb1, and Rb3. CBL, HPLC chromatogram of metabolites in blood from the control group in the pre-test; DBL, HPLC chromatogram of metabolites in blood in the Rb3 group in the pre-test; Blood (control, Rb1, Rb3), HPLC chromatograms of metabolites in mice blood samples collected 3h after oral administration of distilled water, Rb1, and Rb3, respectively, in the final experiment; Brain (control, Rb1, Rb3), HPLC chromatograms of metabolites in mouse brain samples collected 3h after oral administration of distilled water, Rb1, and Rb3, respectively, in the final experiment; C-K and Rh2, HPLC chromatogram of the ginsenoside C-K and Rh2 standard; 20 (S)-protopanaxadiol saponins, HPLC chromatogram of the 20 (S)-protopanaxadiol saponins standard.
DISCUSSION
Macroporous resins are effective and economical for the separation and purification of ppd-type ginsenosides from total saponins
In recent years, macroporous resins have been widely used to separate and purify the bioactive constituents of herbs because of their relatively lower cost and time, higher efficiency, and less labor intensiveness compared with other routine methods [50]. Furthermore, macroporous resins easily regenerate and endure hydrophilic polymers because of their high adsorption ability [51]. The macroporous resign method is based on differences in the molecular polarity, weight, and shape of various molecules in the solution, resulting in different affinities for the adsorbent [52].
Some methods have been used to separate two types of saponins (PTSs and PDSs) in pharmacological research, such as liquid-liquid extraction, silica gel column chromatography, dialysis, and precipitation with sodium hydrate, but subsequent studies have shown that macroporous resins are a more favorable for separating ppd-type ginsenosides from total saponins [50, 53].
Based on these merits, we used macroporous resins to separate and purify SCLPN into five fractions with different characteristics Fig.2 We found different distributions of gensinoside compounds in three (A, B, C) of the five fractions. However, the three effective fractions (A, B, C) also exerted distinct antidepressant effects in several modes of depressive behavior in mice. This demonstrates that macroporous resin purification can be used to produce effective fractions from SCLPN with stronger antidepressant effects. The precise experimental conditions of macroporous resins still remain to be explored to improve the high-purity production of components from SCLPN.
Protopanaxadiol-type ginsenosides may be the main component of SCLPN that contributes to antidepressant effects.
San-Chi, the roots of Panax notoginsenoside Radix (Burk) F. H. Chen, has been commonly used in traditional Chinese medicine for thousands of years. Modern chromatographic methods have shown that it is rich in saponins in the aerial parts (leaf and flower) of P. notoginseng, similar to the underground parts (root, fiber root, rhizome) [22]. More than 60 dammarane saponins have been isolated from the roots, rhizome, rootlets, fibers, leaves, flower buds, seeds, and fruit pedicels of Notoginseng. Most of these saponins are ginsenosides and notoginsenosides [54], which can be classified according to their structures as 20(S)-PTSs and 20(S)-PDSs. PTSs and PDSs are the major constituents and are equally present in the roots of Panax notoginseng, and Panax notoginsenoside R1, and ginsenosides Rg1, Rd, Re, and Rb1 are considered to be the principal active components. The leafs and flowers containe ppd-type saponins only and are rich in ginsenoside Rc, Rb2 and Rb3, which are rare in the underground parts of Panax notoginseng [22, 50]. Other types of sapogenins were also isolated from the leaves of P. notoginseng, including quercetin galactopyranoside [55]. Although we did not identify every peak of SCLPN, three effective fractions (A, B, C) could be obtained through macroporous resin isolation and purification. According to our analysis and other reports, fraction A mainly consisted of ppd-type ginsenosides. Fraction B contained a small amount of ppd-type ginsenosides, and its major component is unknown. Fraction C comprised low-polar ppd-type ginsenosides that could be various deglycosylated metabolites. The evaluation of antidepressant-like effects showed that fractions A and C had more antidepressant effects than fraction B. Thus, ppd-type ginsenosides may be the major components of SCLPN that contribute to its antidepressant effects.
Ginsenosides have been shown to stimulate brain function and produce numbers of beneficial effects to protect against various diseases. The actions of ginsenosides have been attributed to specific pharmacological effects on particular central nervous system targets [56]. Through effects on neurotransmitter systems, ginsenosides may enhance brain function, particularly cognition and emotion. Monoamine neurotransmitters (e. g., 5-HT, NE, and DA) in the central nervous system have been suggested to play a vital role in the pathogenesis of depression [57]. The ginseng fraction has been reported to mainly include ginsenoside Rd, which concentration-dependently reduced the uptake of γ-aminobutyric acid, NE, DA, glutamate, and 5-HT, similar to ginsenoside Rc [58]. Ginsenosides increased DA and NE levels in the cerebral cortex in rodents [10, 59]. Ginsenosides Rg1 and Rb1 were shown to play a major role in the modulation of neurotransmission, which Rb1 promoted neurotransmitter release by increasing the phosphorylation of synapsins via the protein kinase A pathway, whereas Rg1 did not affect the phosphorylation of synapsins [60]. thses results suggest that the effect of ginsenoside Rg1 involves PTSs, in contrast to the effect of ginsenoside Rb1, which involves PDSs [61]. Consistent with the above reports, our previous data indicated that SCLPN exerted its antidepressant-like effect by increasing the levels of 5-HT, DA, and NE [27]. Furthermore, effective fraction A purified from SCLPN ameliorated hypothermia, ptosis, and akinesia induced by reserpine in mice, indicating that the fraction A exerted its antidepressant-like effect by restoring brain monoamine neurotransmitter levels. Moreover, these ppd-type saponin monomers (e.g., Rb3) might produce their antidepressant effects by selectively blocking 5-HT and NE reuptake [28]. Rb3 and Rd altered several behavioral parameters, including 5-HTP-induced head twitches, clonidine-induced aggression, and L-DOPA-induced running, in mice. Therefore, ppd-type ginsenosides may be the main component of SCLPN that contributes to its antidepressant effects and exerts these effects through neurotransmitter modulation via multiple pathways.
Differental effects of ginsenoside attributable to different chemical structures and bioavailability
Ginsenoside may have different pharmacological and mechanisms because of their different chemical structures. The complexity of the efficiency of ginsenosides is further increased because of the biotransformations that are elicited by low gastric pH, the presence of digestive enzymes, and microorganisms that form intestinal flora [62]. Protopanaxadiol sapoins possess sugar moieties at the C-3 and/or C-20 positions, whereas the PTSs have a hydroxyl group at C-3 and sugar moieties at C-6 and/or C-20. The bioconversion of ginsenosides occurs mainly in the large intestine through bacterial action, and intestinal bacteria cleave oligosaccharide chains that are connected to C-3, C-6, or C-20 hydroxyl groups stepwise from the terminal sugar. The sugar on C-20 was more easily eliminated under acidic conditions than sugars found at other positions. The bioconversion of ginsenosides by the intestinal microbiota is mainly based on the deglycosylation at the C3 position [63]. A bioconversion route of the ppd ginsenosides has been proposed, in which ppd ginsenosides (Rb1,Rc, Rb2, Rd) are metabolized by intestinal bacteria to compound K via ginsenosides Rd and F2 to reach the systemic circulation [63, 64]. Intact undecomposed G-Rb1 is absorbed and remain as detectable in plasma for 3 h prior to excretion after 6 h [63]. After oral administration of a Sanqi ginsenoside powder in rats, Panax notoginsenoside R1, and ginsenosides Rg1, Rd, Re, and Rb1 rapidly reached peak concentrations in plasma within approximately 0.75 h, hinting at their rapid absorption [65]. Poor membrane permeability and rapid extensive active biliary excretion are two primary factors that limit systemic exposure to most Sanqi ginsenosides and their deglycosylated metabolites. Many reports proved that PDS monomers (Ra3, Rb1, Rc, Rd, and so on) or their serial deglycosylated products (F2, CK, and so on) are measurable in rat plasma, even in the central nervous system [21]. Collectively, the effects of ginsenosides could be attributable to intact undecomposed molecules and serial degradation metabolites that reach the tissues. The different degradation routes and pharmacokinetics profiles of each ginsenoside could lead to different impacts on the same disease or physiological function,demonstrating why fractions A and C, and different ginsenoside monomers have different effects.
These ginsenosides may have potential antidepressant-like actions because of the structures of these compounds. These dammarane-type tetracyclic triterpenoid saponins are similar to the TCA antidepressant desipramine molecule. Both consist of multi-rings and a methyl aminopropyl chain (Fig.1). Researchers have determined the crystal structure of desipramine in complex with the bacterial leucine transporter, a homolog of the 5-HT transporter, NE transporter, and DA transporter, revealing how TCAs and SSRIs block neurotransmitter reuptake [66]. The desipramine molecule binds at the inner end of the extracellular cavity of the transporter with its three rings tilted at a 40° angle to the membrane plane. The methyl aminopropyl chain projects toward the extracellular space, and is held in place by a hairpin loop and salt bridge. This binding site is separated from the leucine-binding site by the extracellular gate of the transporter to block substrate transport. Similarly, it is possible that dammarane-type tetracyclic triterpenoid saponins also block neurotransmitter reuptake by noncompetitively blocking the substrate binding with the transporter, similar to desipramine. In addition to different pharmacokinetics profiles, ginsenosides or their metabolites may exert differential effects on neurotransmitter reuptake because of variations in their chemical structures, hydroxyl groups, and the stereoselectivity of ginsenosides have been reported to be related to the cancer chemopreventive effect of American ginseng [67]. The polar hydroxyl group at C-3 may influence the transmembrane action of ppd-type ginsenosides [68]. The sugar moieties at C-6 increase the steric hindrance of these molecules to target proteins, confirmed by molecular modeling and docking [69]. The sugar molecules,hydroxyl groups, and stereoselectivity of ginsenosides might also be involved in its actions on central nervous system targets, which should be further investigated.
CONCLUSION
The present study confirmed the antidepressant-like effects of components (three effective fractions and five saponin monomers) of SCLPN in behavioral models in mice. Protopanaxadiol saponins of SCLPN may be the main components that contribute to its antidepressant effects. We also found that these saponin monomers may exert these effects through monoamine neurotransmitter mechanism. The present study lays the theoretical foundation for the possible industrial production of effective fractions of SCLPN using macroporous resins and development of effective and safe antidepressant medications.
ACKNOWLEDGEMENT
This work was supported by grants from the Guangdong Science-Tech Program (2001331004202516 and 2007B031400001), Cooperation of Industry, Education and Academy between the Gongdong Province government and Chinese government Education Department (2008B090500028), National Natural Science Foundation of China (81202435), Foundation for Distinguished Young Talents in Higher Education of Guangdong (LYM11088), Science Foundation of Life Sciences School, and Opening Laboratory Fund, Sun Yat-Sen University.
CONFLICT OF INTERESTS
Declared None
REFERENCES