1Application Organic Chemistry Laboratory, Faculty of Sciences and Techniques, BP 2202 route d’immouzer-Fès- University Sidi Mohamed Ben Abedallah-Morocco, 2Central Laboratory of analysis Medical, University Hospital Hassan II- Fès, Morocco, 3Regional University Center of Interface, University Sidi Mohamed Ben Abedallah, BP 2626 route d’immouzer-Fès, Morocco.
Email: chouaibihssane@yahoo.fr
Received: 17 Sep 2014 Revised and Accepted: 20 Oct 2014
ABSTRACT
Objective: The use of the classical approach of analytical validation, in practice or in the literature, is common. However, statistical verification, that looks separately the two errors (such as bias and precision) to make a decision, presents a risk to declare that an analytical method is valid while it is not, or conversely. To minimize this risk, a new approach based on the concept of total error was proposed.
Methods: This approach proposes a calculation the two sided tolerance interval by combining the two errors; bias and precision, in order to examine the validity of an analytical and bioanalytical method at each concentration level. In this paper, we aim to demonstrate the applicability and simplicity of the both methods based on the total error approach: accuracy profile and uncertainty profile. This study will be illustrated by validation case of a spectrophotometric method for the determination of trace amounts of acetaminophen in human plasma.
Results: After the introduction of the correction coefficient which is worth 1.16, the results obtained with accuracy profile approach show clearly that the bioanalytical method is valid over a concentrations range of [100.34- 500] µg mL-1 since the upper and lower 90%-expectation tolerance limits have fallen within the two acceptance limits of ± 20%. The same results found using the uncertainty profile approach because the "two - sided 66.7%-content, 90% -confidence tolerance intervals "are found within two acceptance limits of ± 20% over the range of [170; 500] µm mL-1.
Conclusion: The excellence of the total error approach was showen since it enables successfully to validate the analytical procedure as well the calculation of the measurement uncertainty at each concentration level.
Keywords: Error total, Analytical validation, Uncertainty profile, Accuracy profile, Measurement uncertainty, Bioanalytical method.
INTRODUCTION
Every day, thousands of results are provided by several analytical and bioanalytical methods. These analytical results are intended for an envisaged use in various sectors (chemical, biochemical, pharmaceutical, environment..) on behalf of customers who expect to be able to trust the results reported. Such confidence should be maintained by providing material and scientific proofs by the supplier, notably the laboratory, to justify and ensure the reliability of these results. Indeed, view of the importance of the decisions, such as compliance with government regulations or limits to set in international trade, it is important to prove the reliability of these results. This amounts to demonstrate suitability for the use of analytical methods [1].
In such context, many standards and guidelines require the application of validated and verified analytical methods including FDA, ICH and ISO / IEC 17025, since that a validation is the set of operations performed in order to prove that a procedure is sufficiently accurate and reliable to have confidence in the results provided for the intended purpose (of the assay method) [2-5].
Furthermore, most guidelines suggest the use of conventional approaches of validation based on hypothesis test H0 using a colossal number of statistical tests to check all validation criteria. These statistical tests aim to verify separately the two characteristic errors of the method such as bias and precision. In this way, the risk of accepting a precise and unbiased method or reject a true method that is not precise is likely [6]. This means that decision making is not consistent with the objective of an analytical method. Since the objective of a good analysis procedure is to be able to quantify as accurately as possible each unknown quantities that the laboratory should determine.
In other words, good analytical procedure is the one, when it’s applied; we will get an accepted probability that the difference, between each measured value (x) of a sample and its actual value (μ), will be within the acceptable limits, according to the following relationship: Pr(|x−u|<λ) ≥ β[7-9].
In order to make a correct decision, the two errors (bias and precision), peculiar to each analytical method, are combined to calculate a two sided tolerance interval according to the Mee's proposal. Indeed, Mee have successfully developed two types of tolerance interval that shows their effectiveness to be used for quality measurement [12]:
Hubert and al. has succeeded by using (β-IT) to develop the accuracy profile as a simple and powerful tool for decision making with respect to the method validation [9-11]. In this graphical tool, it have combined two sided β-tolerance intervals and the acceptance limits along the studied concentration range. If these two tolerance intervals fall within the two acceptable limits, the method is declared valid.
Recently, Saffaj and Ihssane have developed a new approach based on the calculation of measurement uncertainty using (β, γ -CTI), called the uncertainty profile as a powerful tool for the validation of the analytical method [13-16].
The uncertainty profile has also shown its capacity and efficiency by applying it on a set of the chromatographic method for the determination of analytes in chemical matrix as well as in biological matrix [16, 17].
The main objective of this paper is to verify the validity of the determination method of trace amounts of acetaminophen in human plasma using two chemometric approaches (the β- expectation tolerance interval and the β-content, γ-confidence tolerance interval). We try to show the applicability of total error approach: accuracy profile and uncertainty profile as the powerful tool to assess the performance the bioanalytical spectrometric method and its suitability for use in routine control.
MATERIALS AND METHODS
Reagents
All the experiments were performed with analytical-reagent grade chemicals and pure solvents. Deionized water was used to prepare all solution and all experiments.
Solutions
Accurately weighed (100 mg) of ACP was transferred and dissolved in a 100 ml standard flasks. Solution was stable for at least 1 week. Working solutions were obtained by appropriate dilution with deionised water.
A 10% trichloroacetic acid solution was prepared in amber-glass volumetric flasks. A 20% sodium nitrite solution, a 30% sulfamic acid solution, 6M HCl and 25% sodium hydroxide solution were prepared separately in deionised water in amber-glass volumetric flasks.
Apparatus
A JASCO UV-visible spectrophotometer type V530 with Band width: 2.0 nm. Measurement range: 1000-200 nm and data pitch: 1 nm was used
Basic procedure
In glass centrifuge tubes of 10 ml, 1 ml of plasma standard, 0-400 µL of Acetaminophen and 2 ml of 10% trichloroacetic acid solution were added and a quantity of deionised water was added to complete 4 ml. After vortex mixing for 1 min. 1 ml of 6M HCl and 2 ml of NaNO2 were added with swirling. The solutions were allowed to stand for 5 min and then 2 ml of 30% sulfamic acid solution was added. The solutions were swirled again and allowed to stand for 5 min. Add 2 ml of 25% NaOH and in vortex mix for 30 seconds. A reagent blank solution was prepared in a similar way. The absorbance at 430 nm was measured against the reagent blank. After addition of trichloroacetic acid, proteins defecation occur. In acid medium, the presence of nitrous acid leads to the transformation of Acetaminophen in a nitrous derivative which is colored in yellow-orange in alkaline medium. The stochiometric equation derived is illustrated in Fig. 1.
Fig. 1: Proposed mechanism of reaction of determination of Acetaminophen
Pre-validation study
Validity of the Beer-Lambert law
The determination of the concentration range wherein the Beer-Lambert law is checked depends on the quality of the linear regression between the absorbance and concentrations. Indeed, in order to avoid the effect of parasite light, we look for the concentration range in which the coefficient of determination R² which represents the quality of explanatory right fit to be close to 1.
Matrix effect
The main cause of a lack of specificity is the presence of interference. Interference is a major contributor of inaccuracy. When it comes to the specificity and interference, systematic errors that occur, are directly related to the method and contribute to the final budget of uncertainty. Interference sources are also due to the presence of constituents of the matrix generally unknown, known as matrix effects. In practice, the interference has two negative consequences. They lead an overestimation of the concentration of the sample, because the analytical response is greater than it should be; or they cause an underestimation of the concentration, because the signal is partially masked.
Let Xj is the concentration introduced and Zj is the calculated concentration by inverse calibration. If we plot the calculated concentrations versus introduced concentrations three different situations occur: (1) equation Z = X is obtained meaning absence of the matrix effect, (2) equation Z = b1X is achieved indicating presence of the multiplicative effect and (3) equation Z = b0X is produced signifying the presence of the additive effect. One might think that there is another situation where the past two effects were combines called combined effect: Z = b0 + b1X.
Thus, the coefficient b1, slope of the equation of the straight, can be likened to an inverse average recovery rate, as defined in the literature. This rate is regarded as a correction factor on the results which present a lack of exactitude [18].
Validation using total error approach
In order to check the validity of the bioanalytical method, we propose in this paper the use of two chemometrics approaches such as the accuracy profile approach using β-expectation tolerance interval and uncertainty profile approach developed in our laboratory, and based on the use of β,γ-content tolerance interval. Furthermore, to complete the interpretation of the results performed by this method and judge its capability to provide accurate measurements, uncertainty is estimated at each concentration level. Uncertainty values calculated are compared with the acceptance limits.
We note that the both concepts of an accuracy profile and uncertainty profile were based on the selection of the appropriate regression model for calibration.
Several documents in the literature introduce and explain the total error approach [10, 11, 19-25]. We can summarize it in the following steps:
Select the suitable model
The series of calibration standards prepared using material reference (SMR) help to generate many regression models for calibration, e. g. simple linear regression, weighted simple regression, quadratic regression, weighted quadratic regression, logarithmic transformation, square root transformation.. We will then select the most suitable model that allows a good inverse prediction.
Inverse prediction
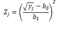
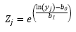
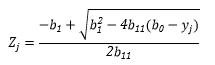
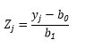
The inverse prediction performed via the selected model gives the retrieved concentrations, denoted Zj for each concentration level. Table1 elucidates some sample formula of inverse prediction of concentrations
Table 1: Some examples of formulas of calculation of the inverse prediction
| Model | Inverse prediction formula |
| straight regression through origin | ![]() |
| simple linear regression | > |
| quadratic regression | ![]() |
| logarithmic transformation | ![]() |
| square root transformation | ![]() |
Estimation of trueness
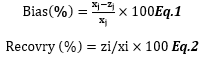
The trueness of a bioanalytical method (or bias) at each concentration level is obtained by calculating the difference between the introduced concentrations mean (Xj) and the calculated concentrations mean ((Zj). The bias can be expressed in absolute or relative terms or in recovery terms, compared to the introduced concentration and was assessed from the validation standards in the matrix as follows:

Estimation of precision
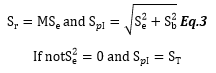
The precision of a bioanalytical procedure is usually expressed as the variance, standard deviation or coefficient of variation of a series of measurements. In the present study, no data is missed; therefore the repeatability and intermediate precision can be evaluated at each level of concentration using one way analysis of variance (one way ANOVA). Indeed, two main variances are estimated, within-series variance Sw2 and between-series variance SB2. A statistical model to describe the measured values is given by:
yij = μ + bi + eij; j = 1, 2, …, n; i = 1, 2, …, a
Where Yij denote the jth replicate observation corresponding to ith run, µ is an unknown general mean, bi’ s represent random effects and eij’s represent error terms. It is assumed that bi’s and eij’s are all independent having the distributions bi ∼ N(0, σb2)
and eij ∼ N(0, σe2). Thus,yij ∼ N(0, σb2 + σe2)
and σb2
and σe2
represent the two variance components in the model.
We define

Also we identify the expected mean squares under the model:


If MSe < MSb;
The repeatability and intermediate precision will respectively:

Where,S T2 was the total variance of the set of measures.
Accuracy profile method
Estimation of β-expectation tolerance interval
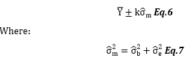
The accuracy is the total error linked to the result which combines the systematic error and the random errors that are related to the test result. The accuracy is expressed as a tolerance interval. Using the parameters calculated previously; bias (%), Sw2, SB2 and RSDPI the lower and the upper (Lj, Uj) β-expectation tolerance limits are calculated as follows:

Construction of accuracy profile
Accuracy profile is a decision-making graphical tool aiming to help the analyst in deciding whether a bioanalytical procedure is valid. It is based on the combination in the same graphic of the tolerance interval and the acceptability limits. Two modes of representation of the accuracy profile are possible. The first is to express all results in relative values returned to the reference value level. Acceptability limits are also expressed as relative. Second is to express the results (accuracy, precision, tolerance interval and limits of acceptability) as an error.
Each method can be considered as accurate over the concentration range investigated, as long as the upper and lower β-expectance limits did not exceeded the acceptance limits settled at ±λ for each concentration level.
Uncertainty profile method
Uncertainty profile approach was developed by Saffaj and Ihssane in [13,16]. In this paper, we aim to demonstrate the applicability and capability of our approach to validate and demonstrate the performance of a bioanalytical method.
In order to calculate the uncertainty for each concentration level, we needed to calculate the upper and lower β-content, γ-confidence tolerance interval.
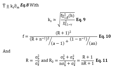
To construct a two-sided β-content, γ-confidence tolerance interval, in this work we have using Mee's approach. The (β, γ) two-sided tolerance interval is assumed to be of the form [13, 16]:


Where:

According to the demonstration of Saffaj et al. [13], the uncertainty can be determined from validation data using such the upper and lower β- content tolerance interval (β-CTI).
In Ref. [16], we have showed that for calculating the uncertainty of analytical measurements, it is doable and preferable that one should use as much as possible data obtained from method validation [8,26-35].

Where Uj is the upper β-CTI; Lj is the lower β-CTI, t(ν) is the (1 + γ)/2 quantile of Student t distribution with ν degrees of freedom. For balanced data, ν can be estimated by the Satterthwaite formula [14] and yj was the calculated concentration at jth level. After calculating the uncertainty through equation (12), we have used the following formula to build the uncertainty profile.

Where
k is a coverage factor. The choice of the factor k is based on the level of confidence desired. For an approximate level of confidence of 95%, k = 2.
Zj is the estimate of the mean results.
λ is the acceptance limits.
RESULTS
Pre-validation study
The study of validity of the Beer-Lambert is performed on four concentration ranges like (50-700) µg mL-1, (50-600) µg mL-1, (50-500) µg mL-1 and (50-400) µg mL-1. table 2 shows the values of coefficient of determination R² obtained for each concentration range considered. While, the value of R² is approximately 95% in the range (50-400) µg mL-1, it is preferable to study the validation of bioanalytical method in the range (50-500) µg mL-1.
Table 2: Values of coefficient of determination of different studied concentration ranges
| Concentrations range (µg mL-1) | Coefficient of determination, R² (%) |
| 50-700 | 81.4 |
| 50-600 | 89.3 |
| 50-500 | 92.6 |
| 50-400 | 94.8 |
Validation study
Accuracy profile
The experimental design for calibration standard solutions was prepared in three replicates for three series (three separated days) of analyses and five levels of concentration. Independent validation standard solutions were prepared in three replicates for three series (days) of analyses and six levels of concentration.
In order to find a more appropriate model, namely that allows us to obtain a guarantee of future results included in the acceptance limits. We generated several models relating the absorbance to concentration. As a response function, the simple linear regression model has been selected.
By using inverse prediction and based on the selected calibration model. The concentrations are calculated at each concentration level. Then, recovery (Bias %), repeatability (RSDrep). Intermediate precision (RSDPI) and upper-lower β-expectation tolerance intervals are calculated at each concentration level and summarized in table 3. The accuracy of a bioanalytical method is represented by the accuracy profile illustrated in Fig. 2.
Table 3: Results of the trueness, precision and accuracy for the validation of the assay method of acetaminophen in human plasma before the introduction of the correction factor
Response function: linear simple |
|
Series #1 |
Series #2 |
Series #3 |
|
|
Slope |
0.0012 |
0.0013 |
0.0013 |
|
|
|
(p= 3; n= 3; m= 6) |
Intercept |
0.1783 |
0.1787 |
0.1737 |
|
|
R² |
93.55 |
96.08 |
95.78 |
|
|
|
Concentration level µg mL-1 |
Trueness |
Precision |
Accuracy |
|||
Relative Bias % |
Recovery % |
Repeatability RSD % |
Intermediate precision RSD% |
Upper tolerance interval % |
Lower tolerance interval % |
|
50 |
18.69 |
118.69 |
10.41 |
14.07 |
-8.94 |
46.33 |
100 |
-21.49 |
78.51 |
10.56 |
11.51 |
-35.23 |
-7.75 |
200 |
-9.31 |
90.69 |
6.64 |
9.03 |
-22.89 |
4.27 |
300 |
-16.55 |
83.45 |
4.19 |
5.65 |
-23.81 |
-9.29 |
400 |
-5.24 |
94.76 |
0.85 |
3.06 |
-13.10 |
6.25 |
500 |
-16.31 |
83.69 |
2.48 |
3.68 |
-21.23 |
-11.40 |
As can be seen from table 3, the results show a lack of accuracy. The fig. 2 shows a gap between the accuracy profile (the upper and lower β-expectation tolerance limits) and the acceptability limits that have been set at ±20%. This gap was due to the biological matrix effect.

Fig. 2: Accuracy profile of the assay method of acetaminophen in human plasma before the introduction of the correction factor, the values of β-expectation and acceptance limits are set to 80% and 20% respectively
In order to correct this matrix effect, a correction coefficient has been computed from the linearity equation slope linking the introduced theoretical concentrations to the recovered concentrations computed by inverse prediction. The applied correction coefficient corresponds to the inverse of the slope achieved with the validation standards.
On the fig. 3 is plotted the regression line of calculated concentrations versus introduced concentrations. The equation of the straight line obtained is Z = 6.699 + 0.861X. The correction coefficient (CC) to be applied to the calculated concentrations is thus of CC=1/0.861, i. e. CC = 1.16.
A new accuracy profile computation is carried out taking the correction coefficient into account. The correction is carried out on the validation data responses. As illustrated in fig. 4, the new accuracy profile obtained after correction coefficient shows that the method was only valid on a part of the studied application range. Indeed, the accuracy profile lower limit on the first and second level of concentration is beyond the acceptable limit set at ± 20%.

Fig. 3: Straight regression of concentrations introduced versus calculated concentrations, the correction coefficient is looked as the inverse of slope the equation of the straight

Fig. 4: Accuracy profile of the assay method of acetaminophen in human plasma after correction, the values of β-expectation and acceptance limits are set to 80% and 20% respectively
In other hand, the lower and higher quantification limits computation from the accuracy profile of fig.4 were respectively 100.34 µg mL-1 and 500 µg mL-1.
Table 4 summarized the results obtained after correction for the whole set of concentration levels.
Uncertainty profile
Recently, an approach of uncertainty profile was developed by Saffaj and Ihssane. It’s based on compute of uncertainty on each concentration level using the upper and lower β-content, γ-confidence tolerance interval. In this paper, we try to explain and detail the procedure for computing the two sided (β, γ)-content tolerance intervals for balanced one-way random effects models by using Mee’s method. For validation standards six concentration levels have involved in experiment design, all prepared in plasma. Each validation sample was analyzed three times (n= 3) for three different days (a= 3). The calibration plan was of type 5 x 3 x 3 and the response function chosen was the linear regression.
Since the FDA recommends the 4-6-λ rule for the validation of bioanalytical methods [25,36,37], we set a value of β = 66.7% of the content preferred to be compliant, the population of future measures included within the acceptance limits with a confidence level set at γ = 90%.
Two Sided Content Tolerance Limits

Fη = icdf[loi de Fisher; 1 − 0.85; 3 × (3−1); (3−1)] with η = 0.85 if γ = 0.90. i. e. Fη = 5.988
With icfd is the inverse cumulative density function
With f is the degrees of freedom calculated using formula 10.

L1 = Z1 − (KS × SPI)
U1 = Z1 + (KS × SPI)
With Z1 is the average of calculated concentrations equal to 68.95 µg mL-1 and SPI2 is intermediate precision variance such as SPI = (Sw2+Sb2)−1/2i. e. SPI = (51.57+92.85)−1/2 = 9.7.
Then, the (66.7%, 90%) content tolerance interval for the first concentration level (L1; U1) is [40.24; 97.65]. The calculation of lower-upper (β, γ)-content tolerance intervals of other concentrations levels (such as 100, 200, 300, 400 and 500 µg mL-1) are summarized in table 5.
Table 4: Results of the trueness, precision and accuracy for the validation of the assay method of acetaminophen in human plasma after correction
Response function |
|
Series #1 |
Series #2 |
Series #3 |
|
|
Slope |
0.00121 |
0.00127 |
0.00127 |
|
|
|
(a=3; n=3; m=6) |
intercept |
0.17834 |
0.17873 |
0.17371 |
|
|
R² |
93.55 |
96.08 |
95.78 |
|
|
|
Concentration level µg mL-1 |
Trueness |
Precision |
Accuracy |
|||
Relative Bias % |
Recovery % |
Repeatability RSD % |
Intermediate precision RSD% |
Upper tolerance interval % |
Lower tolerance interval % |
|
50 |
37.90 |
137.90 |
10.41 |
14.07 |
70.00 |
5.80 |
100 |
-8.78 |
91.22 |
10.56 |
11.51 |
7.18 |
-24.75 |
200 |
3.91 |
103.91 |
6.64 |
9.03 |
16.53 |
-8.71 |
300 |
-3.05 |
96.95 |
5.02 |
5.65 |
5.39 |
-11.49 |
400 |
6.54 |
106.54 |
3.09 |
3.09 |
15.65 |
-2.57 |
500 |
-2.77 |
97.23 |
2.97 |
3.68 |
2.94 |
-8.49 |
Table 5: Results of computation of some parameters necessary to estimate the two sided (0.667, 0.9)-tolerance intervals.
| df
(f) |
Quantile
χ²(1;β) (h) |
Quantile
χ²(f; 1-ϒ) |
Factor
ks |
|
Intermediate precision
σPI |
Lower tolerance interval
(µg L-1) |
Upper tolerance interval
(µg L-1) |
| 2.395 | 1.250 | 0.342 | 2.958 |
|
9.703 | 40.24 | 97.66 |
| 2.904 | 1.218 | 0.543 | 2.552 |
|
10.496 | 64.43 | 118.0 |
| 2.387 | 1.251 | 0.339 | 2.968 |
|
19.036 | 154.24 | 267.22 |
| 2.775 | 1.224 | 0.489 | 2.636 |
|
16.436 | 247.54 | 334.18 |
| 2.040 | 1.280 | 0.223 | 3.423 |
|
13.457 | 394.31 | 486.45 |
| 2.532 | 1.240 | 0.393 | 2.827 |
|
17.870 | 435.62 | 536.66 |
Uncertainty limits
In order to estimate of uncertainty value at each concentration level according the formula 12, we need to calculate the quantile t(ν) of student which is the (1+γ)/2 quantile of the student t distribution with ν degrees of freedom. For balanced data ν(a.n. R*) can be estimated by the Satterthwaite formula (Eq.10).
The computation of the uncertainty as well as the two sided uncertainty limits for the first concentration level (Xj = 1 = 50ug) is given as follows:


The computation of two sided uncertainty limits for the remaining concentrations level were performed using the same procedure and are given in table 6.
Table 6: Calculation results of the measurement uncertainty and the two uncertainty limits for validation the assay method of acetaminophen in human plasma
| Concentration (µg mL-1) | df (ν) | Quantile Student (t) | uncertainty (µg mL-1) | Expended
uncertainty (µg mL-1) |
Expended uncertainty
% |
Calculated concentration
(µg mL-1) |
Upper Uncertainty limit % | Lower Uncertainty limit % |
| 50.00 | 4.47 | 2.07 | 13.88 | 27.75 | 55.50 | 68.95 | -19.51 | 95.31 |
| 100.00 | 6.73 | 1.91 | 14.05 | 28.10 | 28.10 | 91.22 | -35.56 | 17.99 |
| 200.00 | 3.07 | 2.33 | 13.32 | 26.65 | 13.32 | 210.73 | -11.61 | 19.43 |
| 300.00 | 6.30 | 1.93 | 22.49 | 44.97 | 14.99 | 290.86 | -17.49 | 11.40 |
| 400.00 | 4.69 | 2.04 | 23.19 | 46.38 | 11.60 | 440.38 | -5.31 | 18.40 |
| 500.00 | 5.23 | 2.00 | 25.31 | 50.62 | 10.12 | 486.14 | -12.88 | 7.33 |
The upper and lower uncertainty limits expressed in relative value (%) are presented in Fig. 5 as a function of the introduced concentrations. As can be seen from the results, the method was considered valid since the uncertainty intervals are included in the ±20% acceptance limits for all the concentration levels tested except the two first concentrations levels (50 and 100 µg mL-1).

Fig. 5: Uncertainty Profile for method validation for the determination of acetaminophen in human plasma, Beta is taken equal to 66.7% with a confidence level of 90% and the acceptance limits set at 20%
DISCUSION
On the basis of these results, it clearly appears the excellence and the power of the approach of the total error whatsoever approach accuracy profile or profile of uncertainty in assessing the performance of the bioanalytical method proposed.
The efficiency of the proposed tool is summarized by the following points:
The experimental design prepared and followed to perform validation consists of calibration range and a range of validation; both scales are repeated at each level of concentration in the different series.
Repetition by the level of concentration under the conditions of precision intermediate used to estimate both the two types of error bias and precision.
The calibration range, serves as a tool to generate multiple calibration models, the profile obtained allow to select the appropriate model.
The decision, in conventional approaches, is taken based on the hypothesis test H0 looking separately the two errors: the bias and precision. In contrast, the total error approach, errors are combined to build a bilateral interval one expects will contain a proportion of future measures included in the acceptance limit, which is perfect with the main objective of an analytical method.
The profile built, is not only a simple and easy tool for decision-making with respect to the validity of the studied method, as well as it let also to identify graphically the limit quantification.
The approach of total error shows also its efficiency since it allows to assess the uncertainty using data derived from the validation study.
Furthermore, there was a significant remark about a comparison between the approach using β-expectation tolerance interval and the approach of β,γ-content tolerance interval. Indeed, in the first approach, the parameter β expresses at once the accepted proportion of future measures and the probability indicating the level of confidence (the risk taken is 1-β).
However, in the second, the proportion and risk are separated, as well β indicates the proportion (content) future acceptable measures and γ expresses the level of confidence (risk taken equal to 1-γ).
This separation between the proportion and risk reveals a characteristic of important flexibility of approach of β,γ-content tolerance interval. Indeed, the change in values of (β, γ) gives analysts a wide choice to validate their method.
Finally, to assess the reliability of the proposed bioanalytical method, validation is an essential step to accomplish, but not sufficient if one is to interpret the results correctly. Therefore, the uncertainty must be computed to guarantee the quality of the results obtained. For that reason, we have introduced in this paper a measurement of uncertainty in the validation step because it can yield an indication of the quality of the result. This information is important for analysts who want to exploit this result to make critical decisions.
CONCLUSION
For the selected bioanalytical spectrometric method, we have managed to assess their performance by applying both important approaches based on total error concept: the accuracy profile and the uncertainty profile.
The application of the accuracy profile approach founded on the β-expectation tolerance intervals has led to plausible results allowing to judge that the bioanalytical method is valid over the range of [100.34; 500] µm mL-1, since the upper and lower 90%-expectation tolerance limits have fallen within the two acceptance limits of ± 20%. Obviously, after the introduction of the correction coefficient which is worth 1.16. Using the uncertainty profile approach based on (β, γ)- content tolerance intervals has also shown its effectiveness to verify the performance of the spectrophotmetric method, since the "two - sided 66.7%-content, 90% -confidence tolerance intervals "are found within two acceptance limits of ± 20% over the range of [170; 500] µm mL-1.
The excellence of the uncertainty profile approach showed itself, when verifying the validity of the bioanalytical method, first by calculation of the measurement uncertainty at each level of concentration as a decision tool and second because this approach gives the flexibility to change the values of β-content and γ-confidence as required by the analyst or the government regulations.
Finally, the overall results obtained allow the demonstration of the successful applying of the total error approach. In fact, both the uncertainty profile and the accuracy profile are able to be applied to validate the analytical and bioanalytical methods and show their performance and their suitability for use in routine quality control.
On the other hand, this approach makes also possible the estimation of the measurement uncertainty of the method without any additional efforts, by using data coming from the analytical validation when we respect as best as possible the intermediate precision conditions at each concentration level.
CONFLICT OF INTERESTS
Declared None
REFERENCES