M. M College of pharmacy, M. M. U, Mullana, 133207, India.
Email: neetuchopra057@gmail.com
Received: 20 Sep 2014 Revised and Accepted: 25 Oct 2014
ABSTRACT
Thiadiazole and their derivatives have been studied colossally because of their wide range of biological activity. They are found to be effectual as antibacterial, antimalarial, antiviral, antiinflammatory, anticancer and antianthelminthic agents. Distinct biological activities, such as antibacterial, anti-inflammatory, and antiviral have been consort with 1, 3, 4-thiadiazole derivatives. The substituted 1, 3, 4 Thiadiazole nucleus is particularly ubiquitous, and found in some marketed drugs such as acetazolamide, Methazolamide and antibacterial such as Sulphamethazole, antibiotic like Cefazoline. The synthesis of 1, 3, 4 Thiadiazole derivatives has allured widespread attention due to their diverse biological activities, including antimicrobial, anti-inflammatory, analgesic, and antianthelmintic. These reviews focused on various biological activities consorted with thiadiazole nucleus.
Keyword: Thiadiazole, Anti-inflammatory, Antimicrobial, Antihelminthics, Anticancer, Antibacterial and antiviral.
INTRODUCTION
Mostly five membered aromatic systems having three heteroatoms at symmetrical position have been studied because of their physiological properties [1]. Thiadiazole is a 5-membered ring system containing two nitrogen and one sulphur atom. They occur in nature in four isomeric forms viz. 1, 2, 3-thiadiazole; 1, 2, 5-thiadiazole; 1, 2, 4-thiadiazole and 1, 3, 4-thiadiazole [2]. Thiadiazole contains the five-membered diunsaturated ring structure having molecular structure formula C2H3N2S containing two carbon atoms, three hydrogen, two nitrogen and one sulphur [3].
The incorporation of oxygen, nitrogen, and sulfur donor atoms in the macrocycles markedly affect their complexing properties because of the hard (O, N) and soft (S) character of the donor atoms and the exodentate tendency of the sulfide linkages [4]. During recent years there has been intense investigation of different classes of thiadiazole compounds, many of which known to possess interesting biological properties such as antimicrobial [5] antituberculosis, anticonvulsants, anti-inflammatory, antihypertensive6antioxidant, human adenosine A3 antagonist7, anticancer [8, 9] and antifungal activity [10]. Thiadiazole play a prominent role in nature. For example, the thiazolium ring present in vitamin B1 serves as an electron sink and its coenzyme form is important for the decarboxylation of α-keto acids [11].
Chemistry of thiadiazole
Thiadiazoles and their derivatives can be considered as simple five membered heterocycles possessing one sulhur and two nitrogen atoms. The thiadiazoles exist in different isomeric forms such as1, 2, 4-, 1, 2, 5-, 1, 2, 3-and 1, 3, 4-thiadiazoles as showed in figure. 1(a-d)[12]. (fig. 1)

Fig. 1
The fig. 1 represents π-excessive ring system as the two adjacent N atoms of the ring carry a lone pair of electrons each. Actually 1, 3, 4-thiadiazole molecule does not display a true aromatic behavior as do benzene, pyridine and thiophene. Bak et al. have made analysis of microwave spectra of this molecule and calculated bond lengths, bond angles and bond orders [13]. They concluded that the aromatic character as measured by the π-electron delocalization decreases in the order of 1, 2, 5-thiadiazole>thiophene>thiazole>1, 3, 4-thiadiazole [14]. 1, 3, 4-thiadiazole core skeletons are subjected to various substitution reactions with alkyl halides, acid chlorides, and sulfonyl chlorides to afford various drug like 2-amino-substituted 1, 3, 4-thiadiazole derivatives [15].
Tautomerism
2-Hydroxy-1, 3, 4-thiadiazole, 2-mercapto-1, 3, 4-thiadiazole and 2-amino thiadiazole have been reported to exist in the tautomeric forms as shown below [16]. (fig. 2)
Fig. 2
Spectral properties of thiadiazoles
IR spectra provide sufficient findings about the chemical structure of the compounds. All the synthesized compounds are characterized by their IR and NMR Spectra. According to Mahendrasinh et al the IR peaks of 2, 5 di substituted thiadiazole derivatives are perceived at 750 (C-S str), 1333 (C-N str), 1670 (C=N str), 1630 (N-N str). [17]S. K. Srivastava evaluated structure 2-(2-Chloroacetyl)-mercapto-5-methyl-1, 3, 4-thiadiazole by 1HNMR that revealed singlet of three methyl protons at 2. 42 (s, 3H,-CH3) and singlet of two methylene protons at 4. 40(s, 2H,-CH2). [18](fig. 3)
Fig. 3
Structure activity relationship
Structure-activity studies showed that optimum activity resulted when the thiadiazole ring was substituted with a 2-methylphenyl group and a guanidine moiety and analogues were found to lower blood pressure in meta corticoid (DOCA) hypertensive rats. [19]Christopher B. Chapleo et al stated that the unsubstituted guanidine was found to possess potent anticonvulsant properties; considerable reduction or loss of activity however was observed with the majority of the substituted guanidines [20] (fig. 4)
Fig. 4:
Marketed drugs containing thiadiazole nucleus [21] (fig. 5)

Synthetic methods of thiadiazoles
The method commonly employed for the synthesis of 1, 3, 4-thiadiazole is the cyclisation of thiosemicarbazide derivatives incorporating the basic structural unit and other method involve the use of isothiocyanate carbondisulphide.
Fig 5:
From thiosemicarbazides
Ilkay Kuçukguzel synthesized the thiadiazoles from aroyl thiosemicarbazide and this is prepared by reacting benzoyl chloride with thiosemicarbazide and then subjected to cyclization

Scheme 1
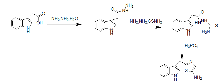
According to U Misra, indole-3-acetohydrazide reacted with thiosemicarbazide and the product in acidic medium gives thiadiazoles. [23] (Scheme 2)
Scheme 2
From isothiocyanate and hydrazine
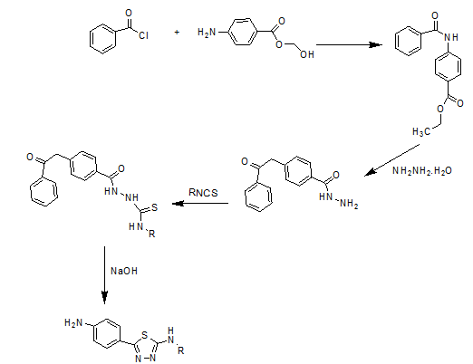
Sevim Rollas et al synthesized the 1, 3, 4 thiadiazoles from Benzocaine and Benzoyl chloride and the intermediate ethyl 4-(benzoylamino)benzoate was added with hydrazine hydrate, which was then refluxed with isothiocyanate and then neutralized to get the final product, where R may be methyl, ethyl, propyl, 4-methylphenyl, 4-methoxyphenyl [24]. (Scheme 3)
From the reaction of hydrazine and carbon disulfide
Sadaf J. Gilani gives the another method for synthesizing 1, 3, 4thiadiazoles is by reacting dithiocarbazinate with 99% hydrazine hydrate to give the 4-amino-5-(pyridin-4-yl)-4H-1, 2, 4-triazole-3-thiol and triazole is converted into thiadiazoles, by condensation with aromatic acids in the presence of POCl3. [25](Scheme 4)
Seung-Ju Yang et al gave a regioselective, reagent-based method for the cyclization reaction of 2-amino-1, 3, 4-thiadiazole in which thiosemicarbazide intermediate was reacted with p-TsCl, triethylamine in N-methyl-2-pyrrolidone to give the corresponding 2-amino-1, 3, 4-thiadiazoles through regioselcective cyclization processes, where R1is 4-methoxy-Ph and R2 is 4-NO2-Ph. [26] (Scheme 5)
Scheme 3:
Scheme 4
R = a) C6H5; (b) R = 2-C6H4Cl; (c) R = 2, 4-C6H3Cl2; (d) R = 2-C6H4CH3;
(e) R = 2-C6H4OCOCH3; (f) R = OC6H5 (phenoxy);
g) R = 4-C6H4NO2.
Scheme 5
Biological activities associated with thiadiazoles
Anti-inflammatory activity
S. Maddila et al (2012) reported a new series of 1, 3, 4-thiadiazole with pyrazole-3-carboxamides and pyrrole-3-carboxamide and seven compounds were found to exhibit significant anti-inflammatory activity with inhibition in paw edema compared to the standard drug indomethacin. [27] (fig. 6) (table. 1)
Fig 6:
R= C6H5, 4-NO2-C6H4,
4-Br-C6H4, 4-F-C6H4,
4-Cl-C6H4, 4-I-C6H4
| R | Ar |
| CH3 | C6H5 |
| CH3 | 4-MeC6H4 |
| CH3 | 4-ClC6H4 |
| OC2H5 | C6H5 |
| OC2H5 | 4-MeC6H4 |
| OC2H5 | 4-ClC6H4 |
[
Mohd. Amir et al (2008) synthesized a series of 3, 6-disubstituted-1, 2, 4-triazolo-[3, 4-b]-1, 3, 4-thiadiazoles by condensation of 4-amino-5-substituted-3-mercapto-(4H)-1, 2, 4-triazoles with various substituted aromatic acids and aryl/alkyl isothiocyanates through a one-pot reaction. These compounds were investigated for their anti-inflammatory, analgesic, ulcergenic, lipid peroxidation, antibacterial and antifungal activities and found to be more active than their standard drugs. [28] (fig. 7)
Fig. 7
Mohamed A. A. Radwan (2007) reported the synthesis of new substituted hydrazones, 1, 3, 4-thiadiazole derivatives as anti-inflammatory agents. The 3-substituted indole derivatives played a very important role as anti-inflammatory and analgesic agents and considering the interesting pharmacological profile of tenidap. [29] (fig. 8)
Fig. 8
Kamal M. Dawood (2006) reported the new series of derivatives of pyrazole and 1, 3, 4 thiadiazole. The newly synthesized compounds were found to possess anticonvulsant and anti-inflammatory activities with the same mechanism of action of selective COX-2 inhibitors. [30] (fig. 9) (table. 2)
Fig. 9:
Table 2
| Substituents | R | Ar |
| A | CH3 | C6H5 |
| B | CH3 | 4-MeC6H4 |
| C | CH3 | 4-ClC6H4 |
| D | OC2H5 | C6H5 |
| E | OC2H5 | 4-MeC6H4 |
| F | OC2H5 | 4-ClC6H4 |
Silvia Schenone et al (2006) synthesized the two series of N-[5-oxo-4-(arylsulfonyl)-4, 5-dihydro-1, 3, 4-thiadiazol-2-yl]-amides and evaluated for in vivo analgesic and anti-inflammatory activities. All the new compounds possess good analgesic action in the acetic acid writhing test and some compounds also showed fair anti-inflammatory activity in the carrageenan rat paw edema test. [31] (fig. 10) (table. 3)
| Compound | R1 | R2 | Compound | R1 | R2 |
| A | H | Phenyl | l | CH3 | 4-methyl phenyl |
| B | H | 4-methyl phenyl | m | CH3 | 4-methoxy phenyl |
| C | H | 4-methoxy phenyl | n | CH3 | 4-chloro phenyl |
| D | H | 4-chloro phenyl | o | CH3 | 4-Fluorophenyl |
| E | H | 4-fluoro phenyl | p | CH3 | Fuorophenyl |
| F | H | 2-fluoro phenyl | q | CH3 | 3-Fluorophenyl |
| G | H | 3-fluoro phenyl | r | CH3 | 2, 4-Difluorophenyl |
| h | H | 2, 4di fluoro phenyl | s | CH3 | 4-Trifluoromethylphenyl |
| I | H | 4di fluoro phenylmethyl | t | CH3 | 2-Furoyl |
| J | H | 4-furoyl | |||
| K | CH3 | Phenyl |
Antimicrobial activity
Kuldipsinh P. Barot et al (2013) synthesized a series of novel 1, 3, 4-thiadiazole; 1, 2, 4-triazole-5-thione and 1, 3-thiazolan-4-one derivatives of benzimidazole were synthesized by nucleophilic substitution reaction of 2-substituted-1[H] benzimidazole and these compounds were evaluated by spectral and elemental methods of analysis for antibacterial and antifungal activities. [32](fig. 11). Tomasz Plech et al (2012) synthesized eight derivatives of 1, 2, 4-triazolo [3, 4-b]1, 3, 4-thiadiazole and evaluated for their in vitro antimicrobial activity. Compounds with different substitutents as listed in table indicated high activity towards Gram-positive bacteria, which were up to 16 times more than currently used antibiotics.
The influence of an aryl fragment at position C-3 of the 1, 2, 4-triazolo [3, 4-b] 1, 3, 4-thiadiazole system, seems the most beneficial for the anti-MSSA and anti-MRSA activity is the presence of chlorine atom at the meta position of the phenyl ring. [33] (fig. 12) (table. 4)
Fig. 11
Fig. 12
| compound | R1 | R2 |
| A | H | -Cl |
| B | H | -Br |
| C | 2-Cl | -Cl |
| D | 2-Cl | -Br |
| E | 3-Cl | -Cl |
| F | 3-Cl | -Br |
| G | 4-Cl | -Cl |
| H | 4-Cl | -Br |
Amandeep Kaur(2012) reported the synthesis of some novel heterocyclic derivatives comprising imidazole and 1, 3, 4-thiadiazole containing biphenyl moiety. Structures of the compounds were elucidated by spectral studies and evaluated for antibacterial activity against various strains of Escherichia coli, Pseudomonas aeruginosa and Bacillus subtilis, and antifungal activity against Candida albicans, Saccharomyces cerevisiae and Aspergillus niger. [34] (fig. 13)
Fig. 13
Mahendrasinh M. Raj et al (2011) synthesized the Morpholine, Phthalimide and Piperidene derivatives of 1, 3, 4-Thiadiazole. The chemical structures of the synthesized compounds were confirmed by means of IR, 1H NMR, and nitrogen estimation.
These compounds were screened for antibacterial such as Staphylococcus aureusATCC 9144, Becillus Cereus ATCC 11778, Escherichia coli ATCC 25922, Pseudomonas aeruginosa ATCC 2853 and anti-fungal Aspergillus niger ATCC 9029 and Aspergillus fumigates ATCC 46645 by paper disc diffusion technique [35]. (fig. 14)
Fig. 14
Arvind k. singh et al (2011) reported the synthesis of 2, 5-Disubstituted 1, 3, 4-thiadiazoles and evaluated for various pharmacological activities such as antibacterial, anti-inflammatory and antihypertension activities. [36] (fig. 15)
Fig. 15
Abdul R. Bhat et al (2011) synthesized a new series of thiadiazoles and intermediate thiosemicarbazones from the chloroquinone molecule and evaluated the compounds for their in vitro anti-microbial activity was performed against Staphylococcus aureus, Streptococcus pyogenes, Salmonella typhimurium, and Escherichia coli. [37] (fig. 16)
Fig 16:
X=H, Cl, CH3
S. Nanjunda Swamy (2006) synthesized the two series of 4, 6-disubstituted 1, 2, 4-triazolo-1, 3, 4-thiadiazole derivatives and were checked for their efficacy as antimicrobials in vitro. Compounds showed significant inhibition against all the strains of Bacillus subtilis, Escherichia coli, Pseudomonas fluorescens, Xanthomonas campestris, Xanthomonas oryzae, when compared to standard drugs. [38] (fig. 17) (table. 5)
Fig. 17
Antitubercular activity
S. Talath and A. K. Gadada (2006) synthesized a series of 7-[4-(5-amino-1, 3, 4 thiadiazole-2-sulfonyl)]-1-piperazinyl fluoroquinolonic derivatives and characterized by IR, 1H-NMR, 13C NMR, FAB Mass spectral and elemental analyses. The compounds were evaluated for their preliminary in vitro antibacterial activity against some Gram-positive and Gram-negative bacteria and selected compounds were screened for antitubercular activity against Mycobacterium tuberculosis H37Rv strain by broth dilution assay method. [39] (fig. 18)
Fig. 18
R= Cyclopropyl,-CH2CH3
Anticancer activity
Hai-Chuan Zhao et al (2013) represented a novel series of 1, 3-selenazole-containing 1, 3, 4-thiadiazole derivatives bearing Schiff base moieties and evaluate for their in vitro antiproliferative activities against human breast cancer cell MCF-7 and mouse lymphocyte leukemia cell L1210 by CCK-8 assay. [40] (fig. 19)
Fig. 19
Negar Mohammadhosseini et al (2013) synthesized a new series of 1-(substituted benzyl)-4-(5-(5-nitroaryl-2-yl)-1, 3, 4-thiadiazol-2-yl) piperazine derivatives and the most potent nitrofuran derivative containing 3-methoxybenzyl piperazine pendant at the C-2 position of 1, 3, 4 thiadiazole ring demonstrated strong anti-H. pylori. [41] (fig. 20)
Fig. 20
Omaima M. Abdelhafez et al (2012) synthesized the new series of 4-methyl and 3, 4-dimethyl-7-oxycoumarin derivatives of thiadiazoles and evaluated for their monoamine oxidase (MAO) A and B inhibiting effect. The docking experiments carried out on MAO-A and MAO-B structures proved new information about the enzyme−inhibitor interaction and the potential therapeutic application of 7-oxycoumarin scaffold. [42](fig. 21)
Fig. 21
C. Lopez-Cara (2012) synthesized the new compounds of 1, 3, 4-thiadiazole structure, and there in vitro biological evaluation as inhibitors of both neuronal and inducible Nitric Oxide Synthase (nNOS and iNOS) is done. These compounds have been designed by an isosteric modification of a series of 4, 5-dihydro-1H-pyrazole derivatives, previously described as the nNOS inhibitors.
Docking studies conclude that the stronger interaction between the inhibitor and the enzyme is the reinforced hydrogen bond formed between the guanidinium moiety of the inhibitor and Glu592 (Glu371 in iNOS) carboxylate. The insertion of the S atom in the heterocyclic ring induces a selective inhibition of the iNOS isoform. [43] (fig. 22)

Fig. 22
Xin Jian Song (2011) et al synthesized novel fluorinated pyrazolo [3, 4-d] pyrimidine derivatives containing 1, 3, 4-thiadiazole. Their antitumor activities were evaluated against HL-60 by an MTT assay. The preliminary results indicated that some title compounds exhibit more potent antitumor inhibitory activity than doxorubicin (DOX). [44] (fig. 23)
Fig. 23
Rahmi Kasmo gullar (2010) synthesized a new series of Pyrazole carboxylic acid derivatives of 5-amino-1, 3, 4-thiadiazole-2-sulfonamide from ethyl 3-(chlorocarbonyl)-1-(3-nitrophenyl)-5-phenyl-1H-pyrazole-4-carboxylate and studied the in vitro inhibitory effects on hydratase and esterase activities of carbonic anhydrase isoenzymes (HCA-I and HCA-II). [45] (fig. 24)
D. A. Ibrahimre presented (2009)a new series of 3, 6-disubstituted triazolo [3,4-b] thiadiazole derivatives and evaluated for their cytotoxic activity against a panel of 60 human cancer cell lines by the National Cancer Institute (NCI) and some of them demonstrated inhibitory effects on the growth of a wide range of cancer cell lines [46] (fig. 25).
Fig. 24
Fig. 25
Mohammad Yusuf et al (2008) synthesized a number of new imine derivatives of 5-amino-1, 3, 4-thiadiazole-2-thiol. Two compounds namely 5-{[1-(4-chlorophenyl)-3-(4-methoxy-phenyl)prop-2-en-1-ylidene]-amino}-5-benzylthio-1, 3, 4 –thiadiazole and 5-{[1-(4-chlorophenyl)-3-(4-dimethyl-aminophenyl)-prop-2-en-1-ylidene]amino}-5-benzylthio-1, 3, 4-thiadiazole have shown significant anti-depressant activity. [47] (fig. 26)
Fig. 26
R1= H, OCH3, (CH3)2N, Cl, OH, R2= H, Cl
Nalan Terzioglu and Aysel Gursoy (2003) synthesized some novel 2, 6-dimethyl-N-substituted phenylmethylene-imidazo[2, 1-b][1, 3, 4]thiadiazole-5-carbohydrazides derivatives from 2, 6-dimethylimidazo-[2, 1-b][1, 3, 4]thiadiazole-5-carbohydrazide. The newly synthesized compounds were evaluated against human tumor cell line [48]. (fig. 27) (table. 7)
Fig. 27
Table 6
| compound | Ar |
| A | C6H5 |
| B | 4-CH3C6H4 |
| C | 2-OHC6H4 |
| D | 4-CH3OC6H4 |
| E | 4-BrC6H4 |
| F | 4-ClC6H4 |
| H | 4-NO2C6H4 |
Stephen Turner et al (1988) synthesized a series of 2-aryl-5-guanidino-(or N-substituted guanidino)-1, 3, 4-thiadiazoleas and closely related analogues were found to lower blood pressure in meta corticoid (DOCA) hypertensive rats, in the 2-methylphenyl series, the iminoimidazolidine was of comparable activity to that of the unsubstituted guanidine. The iminoimidazolidine showed a somewhat longer duration of actionthan the guanidine derivatives. Preliminary studies in a pithed rat preparation indicated that these thiadiazole derivatives lowered blood pressure by a direct relaxant effect on vascular smooth muscle [49]. (fig. 28)
Fig. 28
CONFLICT OF INTERESTS
Declared None
REFERENCES