1Centre for Research and Development, PRIST University, Thanjavur, India, 2Department of Pharmacology, MAEER’s Maharashtra Institute of Pharmacy, Kothrud, Pune, India, 3Dr. D. Y. Patil Pratishthan’s, Padmashree Dr. D. Y. Patil College of Pharmacy, Akurdi, Pune, India.
Email: anil_pawar31@yahoo.co.in
Received: 22 Sep 2014 Revised and Accepted: 20 Oct 2014
ABSTRACT
Biophytum sensitivum (L.) DC (Family: Oxalidaceae) is a medicinal plant widely used in the treatment of various health aliments throughout the world. The plant extract showed the presence of flavonoids, saponins, tannins, terpenes, steroids, amino acids, essential oil, polysaccharides and pectin. The plant has been extensively studied by various researchers for its biological activities and therapeutic potentials such as analgesic, anti-pyretic, anti-inflammatory, immunomodulatory, antitumor, antidiabetic, antioxidant, antibacterial, antihypertensive, chemoprotective, radioprotective and antifertility. The present review is an effort to provide detailed information on folkloric uses, chemical compositions, pharmacological activities of the extracts and isolated compounds and safety profile of Biophytum sensitivum for further research studies.
Keywords: Amentoflavone, Biophytum sensitivum, Oxalidaceae.
INTRODUCTION
The genus Biophytum is a member of the family Oxalidaceae and distributed in tropical Asia, Africa, America and the Philippines. In India, nine species of Biophytum are prominently found and out of these, three species viz. Biophytum sensitivum DC. Syn. Oxalis sensitivum Linn., Biophytum reinwardtii Edgew and Biophytum umbraculum Welw. Syn. Biophytum petersianum Klotzsch are reported to have ethnomedicinal potential. Biophytum sensitivum (L.) DC (B. sensitivum), commonly known as ‘Life plant’, is a mesophytic under-shrub growing in slightly moist places. The plant is distributed up to an altitude of 1,800 m and is available during the rainy season in moist shady places [1]. The plant is traditionally used for centuries in the treatment of various health aliments. It is an important medicinal plant in the Indian traditional system of medicine like Ayurveda [2]. The plant is rich in a number of phenolic and polyphenolic compounds, saponins, tannins, essential oil, polysaccharides and pectin. Biophytum sensitivum has been extensively studied for its biological activities and therapeutic potentials such as analgesic, anti-pyretic, anti-inflammatory, immunomodulatory, antitumor, antidiabetic, antioxidant, antibacterial, antihypertensive, chemoprotective, radioprotective and antifertility. The present review covers phytochemical, pharmacognostic, Pharmacological and toxicity updates of this plant.
Botanical description
Taxonomy
Botanical name: Biophytum sensitivum
Kingdom: Plantae
Division: Magnoliophyta
Class: Magnoliopsida
Order: Oxalidates
Family: Oxalidaceae
Genus: Biophytum
Species: Sensitivum
Botanical name: Biophytum sensitivum
Vernacular names
Common name: Life plant, Sensitive plant
Sanskrit: Lajjalu, Jalapuspa, Krichhraha, Laghuvrikshaka, Lajjaluka, Panktipatra, Pitapushpa.
Hindi: Lakshmana, Lajalu
Marathi: Lajvanti, Jharera, Ladjiri, Lahanamulki
Bengali: Jhalai
Gujrathi: Jharera.
Malayalam: Mukkuti, Nilaccurunki, Tintanali
Kannada: Haramuni, Jalapushpa
Tamil: Nilaccurunki, Tintaanaalee
Telugu: Pulichinta, Attapatti, Chumi, Jala pupa

Fig. 1: Biophytum sensitivum(L.) DC
Morphological Characters
It is a small plant, rarely exceeds 2.5-20 cm in height and form an unbranched woody erect stem. All leaves grow on the top of the stem. Leaves are abruptly pinnate, sensitive, 3.8-12.7 cm long and are made of 8-17 pairs of leaflets. Leaflets are opposite, 1 cm long, terminal pairs the largest and pairs becoming smaller downwards. Flowers are dimorphic, 8 mm across, yellow and crowded at apices of the peducles. The sepals are lanceolate, 7 mm long with parallel nerves. Corolla is much exceeding the sepals. Lobes are rounded and spreading. Style is nearly glabrous. Fruits are ellipsoid capsule. Seeds are prominently ridges and transversely striated. The plant has been observed flowering and fruiting in the month of September to December [3, 4].
Traditional claims
The plant is bitter, thermogenic, diuretic, lithontriptic, suppurative, expectorant, stimulant and tonic. The leaves are astringent and antiseptic. It is useful in strangury, urinary calculi, hyperdipsia in bilious fevers, wounds, abscesses, asthma, phthisis, gonorrhea, stomachalgia, insomnia and snake bite [1].
The whole plant is dried, powdered and given internally to cattle to stop excessive salivation. In the Philippines, the powdered seeds are used as vulnerary and along with butter they are applied to abscesses to promote suppuration [2]. The crushed whole plant is used in chronic skin troubles and is also eaten to induce sterility in man [3]. A decoction of the leaves is given in asthma and phthisis. The plant is also used in chest complaints, insomnia and convulsious cramps and inflammatory tumors [4]. The plant decoction is used in amenorrhea and dysmenorrhea and its powder for the gonorrheal infection and lithiasis [5].
Phytochemistry
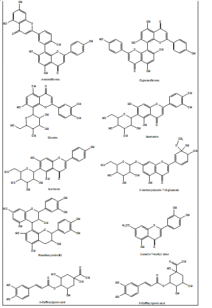
Fig. 2: Phytoconstituents of B. sensitivum
The whole plant extracts of B. sensitivum showed presence of phenolic and polyphenolic compounds, saponins, essential oil, polysaccharides and pectin [6].
Two biflavones (cupressuflavone and amentoflavone), three flavonoids (luteolin 7-methyl ether, isoorientin and 3'-methoxyluteolin 7-O-glucoside) as well as two acids (4-caffeoylquinic acid and 5-caffeoylquinic acid) were isolated from the aerial parts of Biophytum sensitivum [7]. In addition, presence of orientin, isovitexin, isoorientin 7-O-glucoside, isoorientin 2”-O-rhamnoside, (–)-epicatechin and proanthocynidin B2 have also been reported [8].
The essential oil of the air-dried plant Biophytum sensitivum was analyzed using gas chromatographic-spectroscopic (GC-FID and GC-MS) and olfactoric methods and found to contains benzene derivatives, such as 1,4-dimethoxy benzene (24.9%), 1,2-dimethoxy benzene (10.6%) and 2-methoxy-4-methyl phenol (3.5%), the monoterpenes (Z)-linalool oxide (8.1%), (E)-linalool oxide (5.2%) and linalyl acetate (3.4%) as well as 1-octen-3-ol (9.5%) and isophorone (3.1%) as main constituents [9].
Pharmacology
Analgesic activity
The analgesic activity of methanolic extract of whole plant of B. sensitivum was evaluated by tail flick method and acetic acid induced writhing method at the dose of 100 and 200 mg/kg in mice. The results documented analgesic activity in both these models. Furthermore, the extract was more potent towards acetic acid writhing model. In tail flick method, the higher dose (200 mg/kg) showed maximum pain tolerance. The analgesic activity was found to be 67.91 and 54.93 % in 200 and 100 mg/kg dose respectively in case of acetic acid writhing method. It is concluded that methanolic extract showed significant analgesic activity [10].
Antipyretic activity
The antipyretic effect of methanolic extract of whole plant of B. sensitivum was tested at the dose of 100 and 200 mg/kg by yeast-induced pyrexia in rats. The plant extract administration resulted in significant decrease of the body temperature of yeast-treated rats. The higher dose (200 mg/kg) has better activity than lower one (100 mg/kg). It was noted that the extract has a definite antipyretic property and considerably reduces the febrile response in rats [10].
Anti-inflammatory activity
The methanolic extract of whole plant of B. sensitivum was reported to have significant anti-inflammatory activity at the dose of 100 and 200 mg/kg in the carrageenin-induced, histamine-induced and dextran-induced paw oedema model in the rats [10]. Anti-inflammatory activity of aqueous extracts of aerial parts and roots, methanol extract of aerial parts and ultrafiltration fractions of a methanol extract of roots of B. sensitivum were also evaluated in the carrageenin-induced rat paw edema. All the fractions except the methanol extract of aerial parts inhibited the formation of carrageenin-induced paw edema [11]. Amentoflavone and procyanidines isolated from the B. sensitivum has been reported to possess in vivo anti-inflammatory activity and to inhibit COX when tested in vitro. Amentoflavone has been reported to downregulates COX-2 expression with concomitant inhibition of NF-κB/DNA binding activity with inhibition of degradation of IκBα and NF-κB translocation into the nucleus in TNFα-activated A549 cells [12]. It is concluded that the B. sensitivum possesses significant anti-inflammatory activity due to the presence of amentoflavone and other polyphenolic compounds.
Immunomodulatory activity
The methanolic extract of B. sensitivum increased the total WBC count and number of bone marrow cells at a dose of 0.5 mg/animal by intraperitoneal route in normal BALB/c mice. The maximum WBC count and antibody titer value obtained in the B. sensitivum treated animals on 12th day after drug administration were 14,087 cells/mm3 and 256 respectively. The extract found to stimulate the weight of spleen and thymus. B. sensitivum extract also found to increase antibody forming cells. It is concluded that B. sensitivum has stimulatory effect on haematopoetic system, differentiation of stem cells and humoral arm of immune system [13]. It is also found that the methanolic extract of B. sensitivum stimulates the immune cell system in Ehrlich ascites tumor bearing BALB/c mice, leading to potentiation of immune cell proliferation and NK cell mediated tumor lysis [13, 14]. The pectic polysaccharide (BP1002) obtained from a hot water extract of the aerial parts of B. sensitivum is reported to have ability to activate macrophages and dendrite cells [15]. The pectin polysaccharide (BPII) from the aerial parts of B. sensitivum and its fragments (BPII.1 and BPII.2) expressed immunomodulating activity against Peyer’s patch immune competent cells and macrophages [16].
Antitumor activity
The methanolic extract of B. sensitivum found to inhibit the growth of solid tumor induced by Dalton’s lymphoma ascites (DLA) cells and ascites tumor induced by Ehrlich ascites carcinoma (EAC) cells. The extract was 100% toxic at a concentration of 0.5 mg/ml to both DLA and EAC cells. It was also found to be cytotoxic towards L929 cells in culture at a concentration of 0.1 mg/ml [13]. Methanolic extract of B. sensitivum have reported to produce apoptotic effect by regulating bcl-2, Caspase-3 and p53 genes in B16F-10 cells and regulates nitric oxide and proinflammatory cytokine production in B16F-10 cells, TAMs and peritoneal macrophages [17, 18]. Amentoflavone isolated from the B. sensitivum found to augments lymphocyte proliferation, natural killer cell and antibody dependant cellular cytotoxicity through enhanced production of IL-2 and IFN-gamma and restrained serum sialic acid and gamma glutamyl transpeptidase production in Ehrlich ascites carcinoma cells bearing mice [19]. The aqueous extract of B. sensitivum leaves also found to inhibit the tumor volume, viable cell count and enhancement of survival time of DLA bearing mice. It is concluded that aqueous extract of B. sensitivum leaves has significant anti-tumor activity [20].
Antiangiogenic activity
Amentoflavone isolated from B. sensitivum reported to inhibit tumor directed angiogenesis by disrupting the integrity of endothelial cells and by altering the endogenous factors such as IL-1β, IL-6, TNF-α, GM-CSF and VEGF that are required for the process of neovascularization. This antiangiogenic activity of amentoflavone is responsible for inhibition of tumor growth and metastasis [21, 22].
Antimetastatic activity
Amentoflavone isolated from B. sensitivum reduced experimental tumor metastasis at the dose of 50 mg/kg for 10 consecutive days in C57BL/6 mice injected with B16F-10 melanoma cells [23]. Amentoflavone found to produce antimetastatic effect by altering proinflammatory cytokine production and inhibiting the activation and nuclear translocation of p6, p50, c-Rel subunits of nuclear factor-kappaB, and other transcription factors such as c-fos, activated transcription factor-2, and cyclic adenosine monophosphate response element binding protein in B16F-10 melanoma cells [24].Hypoglycaemic activity
The aqueous solution of B. sensitivum leaf extract was administered to rabbits at the dose of 200 mg/kg to study its effect on alloxan-induced diabetes. There was significant improvement in the glycaemic state in the subdiabetic and mild diabetic rabbits only. The results indicated that the B. sensitivum has hypoglycaemic effect mediated through pancreatic beta-cell stimulating action [25, 26]. The mild hypoglycemic activity of crude extract of B. sensitivum was also demonstrated in the obese glucose-intolerant rabbits at the dose of 200 mg/kg [27].
Effect of oral administration of aqueous solution of B. sensitivum leaf extract at the dose of 200 mg/kg for 28 days was studied in normal and streptozotocin-nicotinamide-induced diabetic rats. The B. sensitivum leaf extract treatment significantly reduced the blood glucose and glycosylated haemoglobin levels and significantly increased the total haemoglobin, plasma insulin and liver glycogen levels in diabetic rats. It also increased the hexokinase activity and decreased glucose-6-phosphatase, fructose-1,6-bisphosphatase activities in diabetic rats. The results indicate that aqueous solution of B. sensitivum leaf extract possesses significant antidiabetic activity [28].
Anti-bacterial activityThe methanol, chloroform, acetone and petroleum ether extracts of leaves of B. sensitivum showed antibacterial activity against B. subtillis, S. aureus, S. pneumonia, K. pneumonia, S. typhi, P. vulgaris and E. coli by agar well diffusion method in the range of 7-25 mm. The acetone extracts showed remarkable anti-bacterial activity against B. subtillis. The extracts from the leaves exhibited considerable and variable inhibitory effects against most of the tested microorganism [29].12 Antioxidant activityB. sensitivum extract was found to scavenge superoxide radicals, hydroxyl radicals and inhibited in vitro lipid peroxidation at concentrations of 50, 95 and 20 µg/ml (IC50) respectively. The extract also scavenged nitric oxide (IC50 = 100 µg/ml). The extract found to induce the dose-dependent scavenging of nitric oxide in culture. Intraperitoneal administration of B. sensitivum extract inhibited superoxide generation in macrophages in vivo in mice. The extract also produced significant increase in catalase activity, glutathione, glutathione-S-transferase and glutathione reductase. The levels of glutathione peroxidase decreased after administration of B. sensitivum extract. These results indicate that B. sensitivum extract has significant antioxidant activity both in vitro and in vivo [30].13 Antihypertensive activityThe whole plant extract of B. sensitivum is reported to possess antihypertensive potential on guinea pig and rat model. The extract non-competitively antagonized calcium chloride and high-K+-induced contraction of isolated rat aorta in a concentration-dependant manner. The extract also found to inhibit noradrenaline-induced contractions of aorta. These results strongly indicate that antihypertensive effect of B. sensitivum results from inhibition of calcium influx via both voltage and receptor operated calcium channels [31].14 Antifertility activityEthanol, ethyl acetate, chloroform and n-butanol extracts of whole plant of B. sensitivum were studied for the antifertility potential at the dose of 400 mg/kg in female Wistar albino rats. All the extracts inhibited pregnancy with a significant reduction in number of implants as compared to control animals. The ethanolic extract exhibited maximum (100%) antifertility activity. The activity was reversible on withdrawal of the treatment of the extracts [32].15 Chemoprotective activityIntraperitoneal administration of alcoholic extract of Biophytum sensitivum increased the total WBC count, bone marrow cellularity, alpha-esterase positive cells and weight of lymphoid organs in mice with cyclophosphamide induced toxicity. The extract treatment found to restore GSH in liver and intestinal mucosa, serum and liver ALP, GPT and lipid peroxidation. The B. sensitivum extract reduced the level of the pro-inflammaory cytokine, TNF-α and increased the levels of cytokines IFN-γ, IL-2 and GM-CSF in cyclophosphamide treated mice. It was concluded that Biophytum sensitivum has significant protective activity against cyclophosphamide induced toxicity [33].16 Radioprotective activityMethanolic extract of B. sensitivum was found to enhance immunity as well as stimulate production of IL-1β, IFN-γ and GM-CSF at the dose of 50 mg/kg in mice exposed to whole body gamma irradiation. It is concluded that B. sensitivum extract provides protection against radiation-induced hemopoietic damage [34].17 Larvicidal activityAcetone extract of leaves of B. sensitivum was found to be effective larvicidal, pupicidal and also interfered with the normal development and emergence of adult mosquitoes at the concentration of 10, 15 and 25 mg/L on Aedes aegypti mosquito in a dose dependant manner. It is concluded that B. sensitivum is having an excellent potential as Larvicidal agent against A. aegypti strain [35].18 Complement fixing activityThe aqueous extract of aerial part has the polysaccharide fraction, BP100 III, and has a monosaccharide composition typical for pectic substances, that exhibits potent dose-dependent complement fixating activity. The fractions of BP 100 III were prepared by the endo-α-D-(1→4)-polygalacturonase degradation. The highest molecular weight fraction is BP 100 III.1 which has more potent activity in the complement test system than the native polymer which consists of galacturonic acid and rhamnose sugar having additional arabinogalactan type II in polymer [36].19 Anti-fungal activityThe acetone extract of leaves of B. sensitivum had significant antifungal activity. The leaf extract of B. sensitivum inhibited the growth of fungal pathogens A. fumigatus, A. niger, C. neoformans and Norcardia sp. in disc method [37].20 Hypocholesterolemic effectThe oral administration of the water extract of leaves of B. sensitivum to hypercholesterolemic rabbits at the dose of 200 mg/kg restored the lipid profile near to normal level. It is concluded that B. sensitivum has significant hypocholesterolemic effect [38].Safety and toxic profile
Acute toxicity of B. sensitivum extracts were studied in rodents. The methanolic extract of the B. sensitivum whole plant is well tolerated up to an oral dose of 4000 mg/kg of body weight as no mortality was observed within a period of 24 h [10]. The aqueous extract of leaves of the plant is studied and found non-toxic at the dose levels of 100, 200 and 300 mg/kg body weight by oral route in mice [20]. The median lethal dose (LD50) of the hexane, chloroform, ethyl acetate, n-butanol and ethanol extracts of the plant were found to be greater than 1 mg/kg when administered by intraperitoneal route to rats [32].
CONCLUSION
B. sensitivum (L.) has been used for the treatment of various health aliments by various traditional systems of medicines. The research carried out so far have confirmed the pharmacological potential of B. sensitivum and found to be relatively safe. Further research is required to reveal the molecular mechanism of most of these pharmacological properties.
CONFLICT OF INTERESTS
Declared None
REFERENCES