Department of Pharmaceutical Analysis, Bapatla College of Pharmacy, Bapatla- 522101, Andhra Pradesh, India.
Email: sarachem1981@gmail.com
Received: 22 Sep 2014 Revised and Accepted: 25 Oct 2014
ABSTRACT
Objective: Development and validation of stability indicating RP-HPLC method for the simultaneous estimation of Metoprolol succinate and Cilnidipine in bulk and pharmaceutical dosage form.
Methods: The separation was carried out on STD Kromasil 150 C18 (4.6 mm X 150 mm, 5 µ) column using acetonitrile: sodium dihydrogen ortho phosphate buffer (adjusted to pH 5 with 10 % OPA) in the ratio of 65: 35 % v/v as eluent. The flow rate was 0.8 ml/min and effluent was detected at 230 nm.
Results: The retention time of Metoprolol succinate and Cilnidipine were found to be 2.27 and 3.26 min, respectively. The linear dynamic range was 62.5-375 μg/ml for Metorolol succinate and 12.5-75 μg/ml for Cilnidipine, respectively. Percentage recoveries for Metoprolol succinate and Cilnidipine were 99.73 – 99.93 % and 99.92 – 99.96 %, respectively. All the analytical validation parameters were determined and found in the limit as per ICH guidelines, which indicates the validity of the method.
Conclusion: A simple, efficient and reproducible stability indicating RP-HPLC method for the simultaneous determination of Metoprolol Succinate and Cilnidipine in pharmaceutical dosage form has been developed and validated. The developed method was also found to be precise and robust for the simultaneous determination of Metoprolol succinate and Cilnidipine in tablet dosage forms.
Keywords: Metoprolol succinate, Cilnidipine, RP-HPLC, Acetonitrile, Sodium dihydrogen ortho phosphate, Orthophosphoric acid, Methanol.
INTRODUCTION
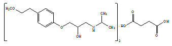
Metoprolol succinate (MET) is a cardio selective drug used alone or combination with other medicines to treat hypertension and various cardiovascular disorders. The action of Metoprolol succinate is mediated through the β1-selective adrenoceptor blockage, thus causing reduction in heart rate and cardiac output. Its chemical name is described as (±) 1- (isopropylamino)-3-[p-(2-methoxyethyl)phenoxy]-2-propanol succinate (2:1) (Figure 1). Cilnidipine (CILNI) is chemically, 1,4-dihydro-2,6-dimethyl-4-(3-nitrophenyl)-3,5-pyridine carboxylic acid-2-methoxyethyl-(2E)-3-phenyl-propenyl ester (Figure 2). CILNI is a dual blocker of L-type voltage-gated calcium channels in vascular smooth muscle and N-type calcium channels in sympathetic nerve terminals that supply blood vessels.
Fig. 1: Chemical structure of Metoprolol succinate (MET)
Fig. 2: Chemical structure of Cilnidipine (CILNI)
The stability indicating method is defined as validated quantitative analytical method that can detect the change with time in the chemical, physical or microbiological properties of the drug substance and the drug product, that are specific so that the content of active ingredient degradation can be accurately measured without interference [1].
Stability testing provides information about degradation mechanisms, potential degradation products, possible degradation pathways of the drug as well as interaction between the drug and the excipients in drug product [2].
Literature survey revealed that only few analytical methods are reported for both the drugs in alone. Very few analytical methods have been reported for simultaneous estimation of MET and CILNI like, UV [3-5], HPLC [6-11], HPTLC [12] and LC-MS [13-15] methods. Some RP-HPLC methods were not economical in terms of mobile phase composition, column dimensions and run times.
Hence there is need for the development of newer method for estimation of MET and CIL present in tablet to overcome above discussed hurdles. So it is felt worthwhile to develop a simple, rapid, accurate, precise and more economical stability indicating high performance liquid chromatographic method for simultaneous estimation of MET and CIL in bulk and its combined dosage form.
MATERIALS AND METHODS
Chemicals and reagents
The pharmaceutical grade pure samples of MET (99.6 %) and CILNI (99.6 %) were received as gift samples from Spectrum Pharmaceutical solutions, Hyderabad. MET and CILNI capsules were purchased from local market. Milli-Q water, HPLC grade acetonitrile and analytical grade sodium dihydrogen phosphate, orthophosphoric acid (OPA) was obtained from Qualigens Fine Chemicals Ltd., Mumbai.
Instrumentation and chromatographic condition
The chromatographic separation was performed on a Waters Alliance HPLC, integrated with auto sampler and UV detector. The analytical STD Kromasil C18 (150 mm X 4.6 mm, 5 µ) column was used at a flow rate of 0.8 ml/min and the detector wavelength was set at 230 nm. The injection volume was 10 µl and the column temperature was maintained as 30 °C.
Preparation of pH 5.0 sodium dihydrogen orthophosphate buffer
Accurately weighed 1.42 gm of sodium dihydrogen orthophosphate was placed in a 1000 ml volumetric flask. About 900 ml of milli-Q water was added and degassed by sonication. Finally made up the volume with water and pH was adjusted to 5 using dilute OPA.
Preparation of mobile phase
Acetonitrile and sodium dihydrogen orthophosphate buffer were filtered separately through 0.45 µ membrane filters. The filtered solvents were mixed in the ratio of 65: 35 (% v/v) and degassed by subjecting to sonication for 10 min. The resultant solution was used as mobile phase.
Preparation of diluents
Water and acetonitrile were mixed in the ratio of 50: 50 (% v/v).
Preparation of standard & sample solutions of MET and CILNI
Preparation of standard solution
Accurately weighed and transferred 50 mg of MET and 10 mg of CILNI working standards into a 10 ml clean dry volumetric flask. Added 3/4th volume of diluents and sonicated for 15 min. Finally the volume was made using diluents. Working standards solutions of MET and CILNI were prepared by diluting the 0.5 ml of above stock solutions to 10 ml using diluents in 10 ml volumetric flask.
Preparation of sample solution
Weighed 20 tablets, determined the average weight and crushed to fine powder. Weighed accurately tablet powder equivalent to 50 mg of MET and 10 mg of CILNI were transferred into 10 ml volumetric flask, 3 ml of diluents added and sonicated for 30 min in cold water. Finally the volume was made using diluents and filtered. From the filtered solution 0.5 ml was pipetted out into a 10 ml volumetric flask and made up to 10 ml with diluents to get final concentrations of 250 µg/ml and 50 µg/ml of MET and CILNI, respectively.
Procedure
10 µl of the filtered portion of sample and standard preparations were injected into the chromatograph. The responses for the major peaks were recorded and the content of MET and CILNI in each tablet were calculated.
Validation parameters
All analytical validation parameters were determined according to ICH guidelines for this proposed method [16-20]. Obtained validation parameters are presented in Table 2.
1. System suitability
Standard solution was injected six times into system and chromatograms were recorded, % RSD (relative standard deviation) of retention time & peak area, theoretical plates and tailing factor were calculated.
2. Accuracy
Accuracy was determined in terms of % recovery. Sample solutions were prepared at three different concentration levels 50 %, 100 % and 150 %. Predetermined amount of standard was added to these solutions by spiking standard drug solution to the sample. % recovery was calculated by assaying these solutions.
3. System precision, method precision and intermediate precision
The system, method and intermediate precision of the proposed method are ascertained by injecting 6 replicates of test and standard sample, % RSD were calculated.
4. Specificity
Standard solution, sample solution, blank solution and placebo solution were injected simultaneously into the system and chromatograms were recorded.
5. Linearity
A linear relationship was evaluated across the range of the analytical procedure. A series of standard dilutions were prepared from the working standard solution in the concentration range of 62.5-375 µg/ml of MET and 12.5-75 µg/ml of CILNI, respectively. 10 µl of each solution was injected into HPLC system. Linearity is evaluated by plotting the peak area as a function of analyte concentrations.
6. Robustness
Robustness was carried out by changing small variations in method parameters like flow rate (± 0.2 ml) and temperature (± 5° C). Ruggedness wad done by studying changes with variation of analyst
7. LOD and LOQ
The limit of detection (LOD) and limit of quantification (LOQ) were determined for MET and CILNI.
Procedure for forced degradation studies
In order to demonstrate the stability of both standard and sample solutions during analysis, both solutions were analyzed over a period of 24 h at room temperature. Further forced degradation studies were conducted for indicating the stability of the method developed. The results of the degradation studies are presented in Table 3.
a. Acid degradation studies
To 1 ml of stock solution, 1 ml of 2 N hydrochloric acid was added and refluxed for 30 min at 60 °C. The resultant solution was suitably diluted to obtain 250 µg/ml & 50 µg/ml of MET and CILNI, respectively. 10 µl solutions were injected into the system and the chromatograms were recorded to assess the stability of sample.
b. Base degradation studies
To 1 ml of stock solution, 1 ml of 2 N sodium hydroxide was added and refluxed for 30 min at 60 °C. The resultant solution was suitably diluted to obtain 250 µg/ml & 50 µg/ml of MET and CILNI, respectively. 10 µl solutions were injected into the system and the chromatograms were recorded to assess the stability of sample.
c. Peroxide degradation studies
To 1 ml of stock solution, 1 ml of 20 % hydrogen peroxide (H2O2) was added and the solutions were kept aside for 30 min at 60 °C. For HPLC study, the resultant solution was suitably diluted to obtain 250 µg/ml & 50 µg/ml of MET and CILNI, respectively. 10 µl solutions were injected into the system and the chromatograms were recorded to assess the stability of sample.
d. Thermal degradation studies
The standard drug solution was placed in oven at 105 °C for 6 h to study dry heat degradation. For HPLC study, the resultant solution was diluted to 250 µg/ml & 50 µg/ml of MET and CILNI, respectively. 10 µl solutions were injected into the system and the chromatograms were recorded to assess the stability of the sample.
e. Photo stability studies
The photochemical stability of the drug was also studied by exposing the sample solution to UV Light by keeping the beaker in UV chamber for 7 days or 200 Watt hours/m2 in photo stability chamber. For HPLC study, the resultant solution was suitably diluted to obtain 250 µg/ml & 50 µg/ml of MET and CILNI, respectively. 10 µl solutions were injected into the system and the chromatograms were recorded to assess the stability of sample.
f. Neutral degradation studies
Stress testing under neutral conditions was studied by refluxing the drug in water for 6 hat a temperature of 60 °C. For HPLC study, the resultant solution was suitably diluted to obtain 250 µg/ml & 50 µg/ml of MET and CILNI, respectively. 10 µl solutions were injected into the system and the chromatograms were recorded to assess the stability of the sample.
RESULTS AND DISCUSSION
The preliminary studies indicated that the desired system suitability parameters were obtained with the mobile phase containing acetonitrile: phosphate buffer (pH 5.0) (65: 35 % v/v). The mobile phase eluted the drug at lower retention times (2.277 and 3.264 min). The suitability parameters like resolution (NLT 2.0), tailing factor (NMT 2.0), theoritical plate count (NLT 2000) and % RSD for peak area of five replicate injections of standard (% RSD NMT 2) are within limits. The corresponding chromatogram was shown in the Figure 3 and the data are presented in Table 1.

Fig. 3: Typical sample chromatogram
Table 1: System suitability parameters
| S. No. | Parameters | MET | CILDI |
| 1 | Tailing factor (Tf) | 1.55 | 1.39 |
| 2 | Resolution (Rs) | - | 7.27 |
| 3 | Retention time (Rt) | 2.277 | 3.264 |
| 4 | Theoretical plates (N) | 5625 | 8491 |
The % RSD in precision, accuracy and robustness studies were found to be less than 2.0 %, indicating that the method is precise, accurate and robust. Accuracy data as shown in table 2.
The Rt of MET and CILNI of standard solution and sample solution are identical. Moreover, the blank solution and placebo solution doesn't produce any peak. Hence the proposed analytical method is specific for the simultaneous estimation of MET and CILNI.
The linearity for HPLC method was determined at six concentration levels ranging from 62.5-375 µg/ml for MET and 12.5-75 µg/ml for CILNI. The calibration curve was constructed by plotting response factor against respective concentration of MET and CILNI.

Fig. 4: Calibration curve for Metoprolol succinate
The plots of peak area Vs respective concentration of MET and CILNI were found to be linear in the range of 62.5-375 µg/ml and 12.5-75 µg/ml with coefficient of correlation (r2) 0.9999 and 0.9997 for MET and CILNI, respectively. The linearity of this method was evaluated by linear regression analysis. The slope and intercept calculated for MET and CILNI were given in Figure 4 and Figure 5.

Fig. 5: Calibration curve for Cilnidipine
Robustness of the method was determined by small deliberate changes in flow rate, temperature. The content of the drug was not adversely affected by these changes as evident from the low value of relative standard deviation indicating that the method was robust.
The LOD and LOQ were found to be 0.41 µg/ml and 1.24 µg/ml for MET and 1.10 µg/ml and 3.33 µg/ml for CILNI, respectively. The obtained data in validation studies are summarized in Table 2.
From the validation study it was cleared that all the observed values were within the acceptable range. Therefore, the method attempted to evaluate the stability of the drug under various stress conditions with different rates of decomposition.
The developed method was able to detect as low as 0.25 % and 0.39 % of decomposition which was noticed with neutral hydrolysis. The chromatograms observed from samples, subjected to various stress conditions, are shown in Figures 6a to 6f. The amount of drug decomposed at various stress conditions are shown in Table 3.

Fig. 6a: Chromatogram of acid degradation studies

Fig. 6b: Chromatogram of base degradation studies

Fig. 6c: Chromatogram of peroxide degradation studies

Fig. 6d: Chromatogram of thermal degradation studies

Fig. 6e: Chromatogram of photo stability studies

Fig. 6f: Chromatogram of neutral degradation studies
Table 2: Validation parameters
| S.No. | Parameter | Results |
| 1. | System suitability | The tailing factors for METand CILNI were found to be 1.55 and 1.39, respectively. |
| 2. | Accuracy | Mean % recovery were found to be 99.80 and 99.82 % for MET& CILNI, respectively. |
| 3. | System precision | % RSD of MET and CILNI were found to be 0.9 and 0.5, respectively. |
| 4. | Method precision | % RSD of MET and CILNI were found to be 0.5 and 0.5, respectively. |
| 5. | Intermediate precision | % RSD of MET and CILNI were found to be Day 1-(0.2 and 0.6), Day 2- (0.51 and 0.55), respectively. |
| 6. | Linearity | The proposed method was found to linear 62.5-375 µg/ml for MET and 12.5-75 µg/ml for CILNI respectively. The correlation coefficient value was found to be 0.9999 & 0.9997 for MET& CILNI, respectively. |
| 7. | LOD and LOQ | The LOD for MET and CILNI was found to be 0.41 µg/ml, & 1.10 µg/ml, respectively. The LOQ for MET and CILNI was found to be 1.24 µg/ml & 3.33 µg/ml, respectively. |
| 8. | Robustness | Change in flow rate |
| Compound | ||
| MET | ||
| CILNI | ||
| Change in temperature | ||
| Compound | ||
| MET | ||
| CILNI | ||
Table 3: Degradation study results
S. No. |
Compound |
% Degradation |
|||||
Acid hydrolysis |
Base hydrolysis |
Neutral hydrolysis |
Oxidation |
Heat |
UV |
||
1 |
MET |
7.73 |
6.42 |
0.25 |
5.94 |
4.56 |
1.86 |
2 |
CILNI |
7.23 |
6.31 |
0.39 |
5.51 |
3.99 |
1.47 |
CONCLUSION
From this study, it is concluded that the proposed stability indicating RP-HPLC method was found to be simple, sensitive, rapid, economical and useful for routine analysis of MET and CILNI in bulk & its pharmaceutical dosage form. The statistical parameters and recovery studies were carried out and reported. The obtained results were satisfactory as per ICH guidelines.
ACKNOWLEDGEMENT
The authors express sincere thanks to Spectrum Pharma Research Solutions, Hyderabad for providing gift samples and Bapatla College of Pharmacy, Bapatla for providing necessary research facilities.
REFERENCES