1College of Pharmaceutical Sciences, Govt. Medical College, Kozhikode 673008, Kerala, India, 2Department of Pharmacy, Annamalai University, Annamalai nager 608002, Tamil Nadu, India.
Email: arulk65aug@gmail.com
Received: 23 Sep 2014 Revised and Accepted: 25 Oct 2014
ABSTRACT
Objective: To design, synthesize and in vitro anti tubercular evaluation of some new 1,2,4–triazole derivatives.
Methods: Novel 1,2,4–triazole derivatives were designed by using various softwares like ACD Lab Chemsketch, Molinspiration, Prediction of activity spectra for substances(PASS) and Schrodinger Glide XP (Grid based ligand docking with energetics). The designed molecules having required physico-chemical properties, drug likeness and obeying Lipinski’s rule of five were selected for the synthesis. The synthesized compounds were subjected to TLC, melting point determination, FTIR and 1HNMR spectroscopic studies. Antitubercular activity of selected compounds was evaluated by Resazurin microtitre assay (REMA) method.
Results: Three derivatives (MB-2, MB-8 and MB-10) were selected for the synthesis with the help of in-silico modeling. The selected derivatives were synthesized by conventional method. All the synthesized compounds showed characteristic peak in FTIR and 1HNMR spectroscopic studies. Based on the Schrodinger Glide XP score, MB-2 and MB-10 were selected for in vitro antitubercular evaluation. All the selected derivatives showed antitubercular activity, but the compound MB-2 showed significant antitubercular activity comparing with the compound MB-10.
Conclusion: These results are useful for further investigation in the future.
Keywords: 1,2,4-triazole derivatives, Conventional synthesis, Spectral study, In vitro antitubercular activity.
INTRODUCTION
The synthesis of high nitrogen containing heterocyclic systems has been attracted to many pharmaceutical and agrochemical industries. There is an increasing demand for the preparation of new antimicrobial agents due to the developing resistance towards conventional antibiotics. In recent years, triazole derivatives have acquired conspicuous significance due to their wide spectrum of biological activities. It plays important roles in medicine, agricultural and industrial fields [1].
A large variety of 1,2,4-triazole derivatives possess antibacterial, [2,3,4,5] antifungal [2,3,4,5,6,7,8], antitumor [9], antiviral [10], antiinflammatory, anticonvulsant, antitubercular (5), analgesic, enzyme inhibitor, herbicides and plant growth regulators [7].
In-silico molecular modification was the most important preliminary step in the rational drug designing of novel drugs. In our previous study, various 1,2,4-triazole derivatives were designed by preliminary in silico methods using various softwares and three derivatives were synthesized and their anticancer properties were evaluated [11]. Now our ongoing investigations have been directed toward the design and synthesis of some new 1,2,4-triazole derivatives and the investigation of in vitro antitubercular activity of newly synthesized compounds, an attempt to provide a direction for further research.
MATERIALS AND METHODS
In-silico molecular modification
Different proposed derivatives were screened for different physico-chemical properties by using various softwares. ACD Lab Chemsketch was used for 3-D drawing, optimizing and calculating various physicochemical descriptors of the proposed molecules. The Molinspiration software was used for calculating logP values, Lipinski’s rule of five and drug likeness. The proposed molecules were screened for whether they obey the rule of five or not. The general biological activities of proposed molecules were predicted by using PASS (Prediction of activity spectra for substances) software. Schrodinger Glide XP (Grid based ligand docking with energetics) software was used for the molecular docking of proposed molecules. Three 1,2,4-triazole derivatives were selected for synthesis with the help of these selection parameters. They are
2- [(Diethyl amino) methyl] -5- (4-hydroxy phenyl) -4- {[(4-nitro phenyl) methylidene] amino}-1,2,4-triazolin-3-thione. (MB-2)
2- (Morpholin-4-yl methyl) -5- (4-hydroxy phenyl) -4- {[(4-nitro phenyl) methylidene] amino}-1,2,4-triazolin-3-thione. (MB-8)
2- [(Diethyl amino) methyl] -5- (4-hydroxy phenyl) -4- {[furan-2-yl methylidene] amino}-1,2,4-triazolin-3-thione. (MB-10)
Synthesis of selected 1,2,4-triazole derivatives
The selected compounds were synthesized by conventional method through a series of four steps.
Step 1: Synthesis of aromatic hydrazide from an aromatic ester and hydrazine hydrate.
Methyl 4- hydroxy benzoate 1.52g (0.01 mole) and 80٪ hydrazine hydrate 0.97 ml (0.02 mole) were refluxed in absolute ethanol (50 ml) for 18 h. The reaction mixture was concentrated and the ethanol was removed by distillation, condensation and then the reaction mixture was cooled in an ice bath with continuous stirring and kept in the room temperature for 3-4 h. The solid product thus separated out was filtered, dried and recrystallized from ethanol. Yield and melting point of product obtained were determined. A single spot on the TLC plate established the purity of the compound. The solvent system used was n-hexane: ethyl acetate (8:2).
Step 2: Synthesis of 4-amino 5-aryl 1,2,4-triazolin-3-thione through the formation of potassium dithiocarbazinate from aromatic hydrazide.
13.7g (0.1 mole) 4-hydroxybenzohydrazide was dissolved in 200 ml of absolute alcohol containing 5.6g (0.1 mole) of potassium hydroxide at room temperature. 12.5 ml of carbon disulphide was added in parts and stirred for 16 h at room temperature. Then 100 ml of diethyl ether was added and stirred for further 3 h. The resultant product was separated and dried. Yield, Rf value and melting point of the product were recorded.
10.3g hydrazine hydrates (0.1 mole, 99%) was gradually added to Potassium dithiocarbazinate dissolved in 100 ml of water with stirring and refluxed for 8 h during which hydrogen sulphide gas evolved and the colour of the reaction mixture was changed to deep green. It was then cooled to 0-50C and acidified with hydrochloric acid to pH 1. The resultant product was isolated by filtration and recrystalized from ethanol. Yield, melting point and Rf value of the product were recorded.
Step 3: Synthesis of different Schiff’s bases by reacting 4-amino -5- aryl 1,2,4-triazolin-3-thione with different aromatic aldehydes.
2-3 drops of concentrated sulphuric acid were added to the solution of 0.01 mole 4-amino-5-(4-hydroxyphenyl)–1,2,4-triazolin-3-thione in 20 ml of ethanol. 0.01 mole of different benzaldehyde derivative was added and refluxed for 2-6 h. Then the reaction mixture was cooled to 00C and the precipitate obtained was filtered, dried and recrystallized from ethanol.
Step 4: Synthesis of different Mannich bases (final compounds) by treating above Schiff’s bases with various secondary amines in the presence of formaldehyde.
Various secondary amines (0.01 mole) were gradually added to the solution of Schiff’s base (0.01 mole) in 12 ml of dry ethanol. 38% formaldehyde solution (0.8 ml, 0.015 mole) was added to it. The pH of the solution was maintained between 3 and 4 by using concentrated hydrochloric acid. Then the reaction mixture was stirred for 1 h at room temperature and allowed to stand overnight at 00C. The precipitate obtained was filtered, dried and recrystallized from ethanol. Yield, melting point and Rf value of the product were recorded.
For the synthesis of compound MB-2, Para nitrobenzaldehyde and diethyl amine were used in Step-3 and Step-4 respectively. For MB-8, Para nitrobenzaldehyde and morpholine were used in Step-3 and Step-4 respectively. For the compound, MB-10 furfuraldehyde and diethyl amine were used in Step-3 and Step-4 respectively.
Characterization of synthesized compound by spectral study
IR Spectrum
IR spectra were recorded by using KBr pellets in the range of 4000 – 500 cm-1 on Jasco FTIR Model 4100 Type A to elucidate the structure of the compounds.
1HNMR Spectrum
Proton NMR (300 MHZ) spectra were recorded in CDCl3. Chemical shifts were recorded in parts per million downfield with reference to internal standard Tetra Methyl Silane (TMS) on Bruker ultra shield model 400.
In vitro antitubercular activity
Antitubercular activity of selected compounds was evaluated by Resazurin microtitre assay (REMA) method. Mycobacterium tuberculosis H37Rv used for the evaluation was procured from MTCC, Chandighar, India. Black view, flat bottom 96-well microplates were used for the experiment. The initial drug dilutions was prepared by using dimethyl sulphoxide and subsequent two fold dilutions were prepared in the microplates by using 0.1 ml of 7H9GC broth. 100 µl of 2000CFU/ml of test organism in 7H9GC broth was added to each well of 96 well micro titre plate containing test compounds. Three controls- medium only, drug and medium, test organism and medium were prepared and all are incubated at 37°C for seven days. On 7th day alamar blue dye solution (20 μl alamar blue solution and 12.5 ml of 20% Tween 80) was added to all the wells and the plates were re-incubated at 37 °C for 24 h. Results were recorded at 365 nm using a microplate reader.
RESULTS
In the present study, in-silico molecular modifications of proposed derivatives were done by using different softwares. 3D- drawing, optimizing and calculating various descriptors of proposed derivatives were done by using ACD Lab Chemsketch software. The results are shown in table 1.
The molinspiration software was used to study the LogP values, violation of Lipinski’s rule of five and drug likeness by comparing with already existing standard drugs. The results are shown in tables 2, 3, 4 and fig. 1.


Fig. 1: Drug-likeness model score of compound MB2
Table 1: Molecular descriptors of proposed 1,2,4-triazole derivatives
| Comp. | Molar Refractivity (Cm3) | Molar Volume (Cm3) | Parachor
(Cm3) |
Surface tension (dyne/cm) | Polari-
zability (Cm3) -[24] |
Mi log P |
| MB-1 | 122.05±0.5 | 333.4±7.0 | 881.1±8.0 | 48.7±7.0 | 48.38±0.5 | 4.638 |
| MB-2 | 118.51±0.5 | 320.1±7.0 | 868.9±8.0 | 54.2±7.0 | 46.98±0.5 | 3.313 |
| MB-3 | 125.66±0.5 | 356.0±7.0 | 919.8±8.0 | 44.5±7.0 | 49.81±0.5 | 3.457 |
| MB-4 | 124.48±0.5 | 322.7±7.0 | 880.0±8.0 | 55.2±7.0 | 49.35±0.5 | 4.794 |
| MB-5 | 120.94±0.5 | 309.4±7.0 | 867.7±8.0 | 61.8±7.0 | 47.94±0.5 | 3.469 |
| MB-6 | 128.09±0.5 | 345.3±7.0 | 918.6±8.0 | 50.0±7.0 | 50.77±0.5 | 3.613 |
| MB-7 | 121.26±0.5 | 313.3±7.0 | 860.5±8.0 | 57.0±7.0 | 48.07±0.5 | 3.732 |
| MB-8 | 117.72±0.5 | 299.8±7.0 | 848.3±8.0 | 64.0±7.0 | 46.67±0.5 | 2.407 |
| MB-9 | 124.87±0.5 | 335.7±7.0 | 899.2±8.0 | 51.4±7.0 | 49.5±0.5 | 2.551 |
| MB-10 | 105.02±0.5 | 289.2±7.0 | 765.4±8.0 | 49.0±7.0 | 41.63±0.5 | 2.612 |
Comp. – Compound
Table 2: SMILES and cLogP values of proposed 1,2,4-triazole derivatives
| Code | Substitution | Smile Notation | MiLogP | ||
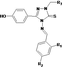
![]() |
MB-1 | R1 = R2= Cl R3 = N(C2H5)2 | CCN(CN2N=C(N(/N=C/c1ccc(Cl)cc1Cl)C2=S)c3ccc(O)cc3)CC | 4.638 | |
| MB-2 | R1 = H,R2= NO2 R3 = N(C2H5)2 | CCN(CC)Cn3nc(c1ccc(O)cc1)n (N=Cc2ccc(N(=O)=O)cc2)c3=S | 3.313 | ||
| MB-3 | R1 = H,R2 = N(CH3)2 R3 = N(C2H5)2 | CCN(CC)Cn3nc(c1ccc(O)cc1)n (N=Cc2ccc(N(C)C)cc2)c3=S | 3.457 | ||
| MB-4 | R1 = R2= Cl R3 = |
Clc4ccc(/C=N/N2C(=S)N(CN1CCCCC1)N=C2c3ccc(O)cc3)c(Cl)c4 | 4.794 | ||
| MB-5 | R1 = H,R2= NO2 R3 = |
[O][N+](=O)c1ccc(cc1)/C=N/N3C(=S)N(CN2CCCCC2)N=C3c4ccc(O)cc4 | 3.469 | ||
| MB--6 | R1 = H,R2= N(CH3)2 R3 = |
CN(C)c1ccc(cc1)/C=N/N3C(=S)N(CN2CCCCC2)N=C3c4ccc(O) cc4 | 3.613 | ||
| MB-7 | R1 = R2= Cl R3 = |
Clc4ccc(/C=N/N2C(=S)N (N=C2c1ccc(O)cc1)CN3CCOCC3)c(Cl)c4 | 3.732 | ||
| MB-8 | R1 = H,R2= NO2 R3 = |
[O-][N+](=O)c1ccc(cc1)/C= N/N3C(=S)N(N=C3c2ccc (O)cc2)CN4CCOCC4 | 2.407 | ||
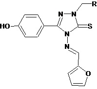
![]() |
MB-9MB-10 | R1 = H,R2=N(CH3)2 R3 = |
CN(C)c1ccc(cc1)/C=N\N3C(=S)N(N=C3c2ccc(O)cc2)CN4CCOCC4Ocl ccc (ccl)C3=NN (CN (CC) CC) C (=S)N3/N=C/c2ccco2 | 2.5512.612 |
Table 3: Lipinski’s rule analysis of standard drugs and proposed 1,2,4-triazole derivatives
| Comp | MiLog P | M. W | n. HDO | n. HAC | n. rotb | n. violation |
| INHEthambutolStreptomycin | -0.9690.35-5.35 | 137.14204.31581.58 | 3416 | 441 9 | 199 | 003 |
| MB-1 | 4.638 | 450.395 | 1 | 6 | 7 | 0 |
| MB-2 | 3.313 | 426.502 | 1 | 9 | 8 | 0 |
| MB-3 | 3.457 | 424.574 | 1 | 7 | 8 | 0 |
| MB-4 | 4.794 | 462.406 | 1 | 6 | 5 | 0 |
| MB-5 | 3.469 | 438.513 | 1 | 9 | 6 | 0 |
| MB-6 | 3.613 | 436.585 | 1 | 7 | 6 | 0 |
| MB-7 | 3.732 | 464.378 | 1 | 7 | 5 | 0 |
| MB-8 | 2.407 | 440.485 | 1 | 10 | 6 | 0 |
| MB-9 | 2.551 | 438.557 | 1 | 8 | 6 | 0 |
| MB-10 | 2.612 | 371.466 | 1 | 7 | 7 | 0 |
Comp – Compound; M. W- molecular weight; nHDO- number of hydrogen bond donar; nHDA- number of hydrogen bond acceptor; n. rotb- number of rotatable bonds.
Table 4: Drug likeness analysis of standard drugs and proposed 1,2,4-triazole derivatives
| Comp | GPCR
Ligand |
Ion Channel
Modulator |
Kinase
Inhibitor |
Nuclear receptor ligand |
| INH | - 1.39 | -1.45 | -1.65 | -2.33 |
| Ethambutol | -0.30 | -0.16 | -0.44 | -0.68 |
| Streptomycin | 0.09 | -0.16 | -0.17 | -0.18 |
| MB-1 | -0.95 | -1.08 | - 0.99 | - 1.20 |
| MB-2 | -1.02 | -1.06 | -1.05 | -1.17 |
| MB-3 | - 0.88 | -1.03 | -0.89 | -1.08 |
| MB-4 | -0.87 | -0.99 | -0.94 | -1.13 |
| MB-5 | -0.94 | -0.98 | -0.99 | -1.11 |
| MB-6 | -0.81 | -0.95 | -0.85 | -1.02 |
| MB-7 | -0.94 | -1.07 | -0.91 | -1.16 |
| MB-8 | -1.01 | -1.06 | -0.97 | -1.14 |
| MB-9 | -0.88 | -1.03 | -0.82 | -1.05 |
| MB-10 | -1.09 | -1.23 | - 1.18 | -1.40 |
Comp – Compound
The PASS software was used to predict the general biological activities of proposed molecules. The result of prediction is presented as the list of activities with appropriate Pa (Probability to be active) and Pi (Probability to be inactive) sorted in descending order of the difference (Pa-Pi)>0. Pa and Pi are the estimates of probability for the compound to be active or inactive respectively for each type of activity from the biological activity spectrum. Their values vary from 0.000 to 1.000.
If Pa > 0.7, the compound is very likely to reveal this activity in experiments, but in this case the chance of being the analogue of the known pharmaceutical agents for this compound is also high.
If 0.5 < Pa < 0.7, the compound is likely to reveal its activity in experiments, but this probability is less, and the compound is not so similar to the known pharmaceutical agents.
If Pa < 0.5, the compound is unlikely to reveal its activity in experiments, but if the presence of this activity is confirmed in the compound, it might be a new chemical entity. The results are shown in table 5.
The synthesized compounds were characterized by FTIR and 1HNMR spectroscopic methods. The FTIR report for the Schiff’s base obtained in the synthesis of compound MB-2 is shown in graph 1. FTIR report for compound MB-2 is shown in graph 2 and 1HNMR report for compound MB-2 is shown in graph 3.

Graph 1: FTIR report for the Schiff’s base obtained in the synthesis of compound MB-2
Table 5: PASS of proposed 1,2,4-triazole derivatives for anti-tubercular activity
| Compound | Pa | Pi | Pa-Pi |
| MB-1 | 0.384 | 0.037 | 0.347 |
| MB-2 | 0.635 | 0.005 | 0.630 |
| MB-3 | 0.484 | 0.013 | 0.471 |
| MB-4 | 0.445 | 0.025 | 0.420 |
| MB-5 | 0.523 | 0.016 | 0.507 |
| MB-6 | 0.444 | 0.025 | 0.419 |
| MB-7 | 0.359 | 0.051 | 0.308 |
| MB-8 | 0.534 | 0.015 | 0.519 |
| MB-9 | 0.455 | 0.023 | 0.432 |
| MB-10 | 0.589 | 0.006 | 0.583 |
With the help of these selection parameters three analogues were selected for the synthesis. They were named as MB-2, MB-8 and MB-10. The selected compounds were synthesized by conventional method through a series of four steps. Purity of the synthesized compounds was ascertained by TLC and melting point determination by open capillary tube method. The results are shown in table 6.
Schrodinger Glide XP software was used for predicting the protein-ligand binding modes. In this study, the compound having high (-) value is considered as the best one. The docking scores are presented in table 7 and the docking images are shown in fig. 2. Based on the Schrodinger Glide XP score, MB-2 and MB-10 were selected for in vitro antitubercular evaluation. The selected derivatives showed antitubercular activity, but the compound MB-2 showed significant antitubercular activity comparing with the compound MB-10. The results are shown in table 8.
Table 6: Characterization data of synthesized 1,2,4-triazole derivatives
| Compound Code | Molecular Weight (gm) | m. p (0c) | Rf value |
| MB-2 | 426.502 | 260-262 | 0.4 |
| MB-8 | 440.485 | 263-265 | 0.82 |
| MB-10 | 371.466 | 225-227 | 0.58 |
m. p – melting point


Graph 2: FTIR report for compound MB-2 (Mannich base)


Graph 3: 1HNMR report for compound MB-2
Table 7: Schrodinger Glide XP scores of selected 1,2,4-triazole derivatives Protein used for docking: Glutamine synthetase; PDB ID: 1HTO
| Compound | Glide score |
| MB- 2 | -5.91 |
| MB- 8 | -4.60 |
| MB- 10 | -5.89 |

Fig. 2: Docking image of (a) MB-2 and (b) MB-10 to Glutamine synthetase (1HTO)
Table 8: In vitro antitubercular activity of selected 1,2,4-triazole derivatives
Conc. (µg/ml) |
Percentage inhibition |
|
MB-2 |
MB-10 |
|
0 |
0 |
0 |
50 |
45 |
39 |
100 |
52 |
48 |
150 |
64 |
59 |
200 |
77 |
70 |
250 |
80 |
73 |
Conc. – Concentration
DISCUSSION
The in-silico molecular modifications of proposed derivatives were done by using ACD Lab Chemsketch, Molinspiration, PASS and Schrodinger GlideXP. With the help of these parameters, three derivatives (MB-2, MB-8 and MB-10) were selected for the synthesis. Compounds synthesized by the conventional method were characterized by TLC, melting point determination, FTIR and 1HNMR spectroscopic studies. All these evaluations ensured the synthesized compounds. In the in vitro antitubercular screening, all the selected derivatives showed antitubercular activity but the compound MB-2 showed significant activity comparing with other agent. Of course this compound needs further studies and it may give valuable results. So it is clear that further works needed to be done in the future for the development of clinically useful chemotherapeutic agent.
CONCLUSION
In summary, the prime objective of the present work was to design, synthesize and biologically screen some of the 1, 2, 4-triazole derivatives. Based on that particular objective, various 1, 2, 4-triazole derivatives were designed by preliminary in silico methods using various softwares. Based on the in silico results, three derivatives were synthesized by the conventional method and the purity of the compounds thus synthesized was ascertained by consistency in melting point and Rf value and characterized by IR and 1H NMR spectroscopy. In the in vitro antitubercular screening of synthesized compounds MB-2 and MB-10, the compound MB-2 showed significant antitubercular activity. This analogue can be subjected to further detail pharmacological screening for consideration as drug candidate.
ACKNOWLEDGEMENT
We would like to thank Mr. J. Kumaran, M. Pharm., Assistant Professor, P. S. College of Nursing, Thalakulam, Kanyakumari District, Tamil Nadu, India for his assistance in the preparation of this manuscript.
COMPETING INTERESTS
None
REFERENCES