
*Department of Pharmaceutical Chemistry, G. Pulla Reddy College of Pharmacy, Osmania University, Hyderabad 500028, India, Department of Pharmacy, OUCT, Osmania University, Hyderabad. India
Email: radhikavanam25@gmail.com
Received: 08 Jan 2019 Revised and Accepted: 15 Feb 2019
ABSTRACT
Objective: To design, synthesize, in vitro Vascular Endothelial Growth Factor Receptor (VEGFR-2) assay, antiproliferative activity an Absorption, Distribution, Metabolism, Excretion and Toxicity (ADMET) studies of some novel bromoisatin incorporated isoxazole derivatives.
Methods: Designed compounds were synthesized by the condensation of different 3-aryl-5-methylisoxazole-4-carbohydrazides (5a-h) with 5-bromoisatin to give the target molecules. To predict the affinity and activity of the ligand molecule the docking program GOLD 3.1 was employed to generate different bioactive binding poses of designing molecules at the active site of protein VEGFR-2. All the synthesized compounds were characterized based on the spectral and elemental analysis data. Antiproliferative activity performed against Human Umbilical vein endothelial cells (HUVEC cell line).
Results: All the synthesized compounds showed the characteristic peaks in FTIR, 1H, C13NMR and Mass spectral analysis. In molecular docking, all the synthesized compounds (6a-j) exhibited high fitness scores with minimum three bonding interaction with the active site VEGFR-2 kinase. In in-vitro, VEGFR-2 kinase assay, compounds 6a, 6b, 6d and 6e exhibited more than 70% inhibition at a single dose concentration of 5μM. In antiproliferative assay against HUVEC cell lines, compounds 6d and 6e exhibited potent activity with IC50 values in nanomolar concentrations. ADMET results of 6a, 6b, 6d and 6e are quite promising with least hepatotoxicity and good bioavailability.
Conclusion: The derivatives were synthesized in quantitative yields. New derivatives posses antiproliferative activity, least hepatotoxicity and good bioavailability.
Keywords: Bromo isatin, Isoxazole hydrazides, Molecular Docking, VEGFR-2 Kinase enzyme assay, In vitro antiproliferative assay, ADMET study
© 2019 The Authors. Published by Innovare Academic Sciences Pvt Ltd. This is an open access article under the CC BY license (http://creativecommons.org/licenses/by/4.0/)
DOI: http://dx.doi.org/10.22159/ijpps.2019v11i4.31933
Cancer is the leading cause of the deaths worldwide. Hence there is a need to develop new drugs to treat this life threatening disease without side effects. In recent years, isoxazoles derivatives have acquired significance due to their wide spectrum of biological activities such as anticancer [1], antibacterial [2], anti-inflammatory [3], anticonvulsant [4], anti-tubercular [5], antiviral [6], antioxidant [7], hypoglycemic [8] and antimicrobial activities [9] on the other hand isatin derivatives has attained much attention due to considerable pharmacological actions such as antimicrobial [10], antiviral [11], anticonvulsant [12] and anticancer [13] activities and Alzheimer's disease [14]. Tyrosine kinase inhibitors [15] are an important class of anti-cancer drugs that act by interfering with specific cell signaling pathways. Among the tyrosine kinases, VEGFR-2 Kinase [16] represents an important target since it plays a central role in angiogenesis. Thus, inhibition of VEGFR-2 signaling pathway is considered to be an attractive target while designing new anti-cancer molecules [17]. In the present study, while designing target molecules we have followed hybridization approach where isoxazole heterocycle is conjugated with isatin scaffold in order to obtain new hybrid molecules with potent VEGFR-2 inhibitor activity. The design of target molecules is presented in fig 1. Further, the designed molecules were computationally docked into VEGFR-2 kinase enzyme (PDB: 4AG8) using GOLD 3.1 software in order to gain some structural insights into the binding mode of designing molecules. The compounds that demonstrated a high fitness score in comparison with the reference drug, semaxanib and are further planned to screen for in vitro VEGFR-2 kinase assay [18] and anti-proliferation study against Human Umbilical Vein Endothelial Cells (HUVEC) [19].

Fig. 1: Design of target molecules
Chemistry
All the solvents and chemicals used in synthesis were AR and synthetic grade obtained from SD fine chemicals, E. Merck (India) and Aldrich Chemicals (India). The reactions were monitored by analytical thin layer chromatography (TLC) using E. Merck 0.25 mm silica gel plates. Melting points were determined in one end open capillary tubes using ANALAB melting point apparatus and were uncorrected. FT-IR spectra were recorded on a Shimadzu FTIR spectrophotometer. 1H NMR spectra were recorded on AVANCE 300 MHz spectrometer using DMSO-d6 as solvent and tetramethyl silane (TMS) as an internal standard. All the 1H NMR Chemical shift values are recorded in δ scale. [13]C NMR spectra of synthesized compounds were recorded on Varian Gemini 100 MHz spectrophotometer. Mass spectra of the compounds were recorded on Agilent 6430 mass spectrophotometer. Elemental analysis was performed at Central University, Hyderabad, India.

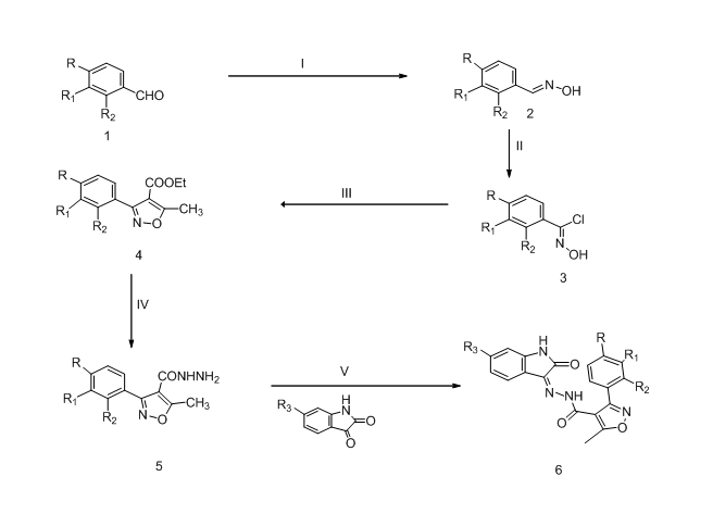
Scheme 1: The total synthetic pathway, reagents and conditions: (i) NH2OH. HCl, NaOH/CH3COONa, CH3OH, reflux 1-2 h; (ii) N-Chlorosuccinamide, DMF, stirring 12 h; (iii) CH3COOC2H5, CH3OH, NaOH, stirring 1-2 h; (iv) 99 % NH2NH2. H2O, reflux 10-12 h; (v) 5-bromoisatin, DMF, reflux 2-3 h
Table 1: Derivatives of scheme 1
| Compound | R | R1 | R2 | R3 |
| 6a | OCH3 | H | H | Br |
| 6b | Cl | H | H | Br |
| 6c | F | H | H | Br |
| 6d | Cl | Cl | H | Br |
| 6e | OCH3 | OCH3 | H | Br |
| 6f | OH | H | H | Br |
| 6g | NO2 | H | H | Br |
| 6h | Br | H | H | Br |
| 6i | CH3 | H | H | Br |
| 6j | CH3 | H | CH3 | Br |
General procedure for synthesis of Ethyl 3-aryl-5-methyl-isoxazole-4-carboxylates (4a-h)
A methanolic solution of arylhydroxymoyl chloride (0.01 mol) was added in small portions to a solution of sodium salt of ethyl acetoacetete (0.02 mol) over a period of 1 h at 0-5 °C and subsequently stirred for 1h at room temperature by maintaining the pH 10 with aq. NaOH. The reaction was monitored by TLC. After completion of reaction, the mixture was poured into ice cold water and the solid separated was filtered and recrystallized from 90% ethanol.
General procedure for synthesis of Ethyl 3-aryl-5-methyl-isoxazolehydrazides (5a-h)
To a solution of ethyl 3-aryl-5-methyl-isoxazole-4-carboxylate (0.01 mol) in ethanol, was added hydrazine hydrate (99%, 0.04 mol) and heated to reflux for 10-12 h. The progress of the reaction was monitored by TLC. The reaction mixture was then poured into crushed ice drop by drop with constant stirring and the solid separated was filtered, dried and recrystallized from 90% ethanol.
General procedure for synthesis of Ethyl (Z)-3-(3-aryl)-N'-(2-oxoindolin-3-ylidene) isoxazole-4-carbohydrazides (6a-j)
To a solution of ethyl 3-aryl-5-methyl isoxazolehydrazide (0.01 mol) in dimethylformamide (25 ml), 5-bromo isatin (0.01 mol) was added heated to reflux for 2-3 h. The progress of the reaction was monitored by TLC. The reaction mixture was then poured into crushed ice drop by drop with constant stirring. The solid separated was filtered, dried and recrystallized from 90% ethanol.
Spectral data
(Z)-N'-(6-bromo-2-oxoindolin-3-ylidene)-3-(4-methoxyphenyl)-5-methylisoxazole-4-carbohydrazide (6a)
Yield: 56 %. Red solid. mp: 190-196 °C. IR (KBr, cm-1): 3249, 3148 (NH), 1689, 1663 (C=O), 1601 (CN). 1H NMR (300 MHz, CDCl3) δ: 12.6 (s, 1H, NH of isatin), 6.9-7.3 (7H, Ar), 6.0 (s, 1H, NH, exchangeable with D2O), 3.5 (s, 3H, OCH3), 2.9 (s, 3H, CH3). [13]C NMR: 175.7, 163.4, 160.2, 140.4, 136.4, 134.7, 132.6, 128.3, 121.6, 119.6, 118.5, 118.2, 114.5, 111.1, 55.6, 13.0. MS (ESI): m/z 455 [M+1]. HRMS calcd for C20H15BrN4O4 454.0276. Found454.0271.
(Z)-N'-(6-bromo-2-oxoindolin-3-ylidene)-3-(4-chlorophenyl)-5-methylisoxazole-4-carbohydrazide(6b)
Yield: 67 %. Yellow solid. mp: 202-208 °C. IR (KBr, cm-1): 3486, 3239 (NH), 1678, 1626 (C=O), 1600 (C=N), 752 (C-Cl). 1H NMR (300 MHz, CDCl3) δ: 12.9 (s, 1H, NH of isatin), 6.8-7.2 (7H, Ar), 6.8 (s, 1H, NH, exchangeable with D2O), 2.6 (s, 3H, CH3).). [13]C NMR: 175.4, 168.4, 163.6, 162.8, 140.6, 136.7, 134.8, 134.0, 132.5, 129.4, 128.6, 127.4, 119.2, 118.6, 118.0, 111.0, 13.0. MS (ESI): m/z 459 [M+1]. HRMS calcd for C19H12BrClN4O3 457.9781. Found 457.9784.
(Z)-N'-(6-bromo-2-oxoindolin-3-ylidene)-3-(4-fluorophenyl)-5-methylisoxazole-4-carbohydrazide(6c)
Yield: 86 %. Yellow solid. mp: 169-174 °C. IR (KBr, cm-1): 3380, 3293 (NH), 1683, 1616 (C=O), 1600 (CN). 1H NMR (300 MHz, CDCl3) δ: 12.6 (s, 1H, NH of isatin), 6.8-7.2 (7H, Ar), 6.4 (s, 1H, NH, exchangeable with D2O), 2.8 (s, 3H, CH3). [13]C NMR: 175.4, 168.4, 162.2, 163.6, 162.6, 140.4, 136.7, 134.5, 132.5, 130.4, 124.3, 119.4, 118.4, 118.0, 116.2, 111.4, 13.0. MS (ESI): m/z 443 [M+1]. HRMS calcd forC19H12BrFN4O3442.0076. Found 442.0070.
(Z)-N'-(6-bromo-2-oxoindolin-3-ylidene)-3-(3,4-dichlorophenyl)-5-methylisoxazole-4-carbohydrazide (6d)
Yield: 73 %. Pale yellow solid. mp: 186-192 °C. IR (KBr, cm-1): 3220, 3196 (NH), 1700, 1626 (C=O), 1600 (CN), 755 (C-Cl). 1H NMR (300 MHz, CDCl3) δ: 12.4 (s, 1H, NH of isatin), 7.0-7.6 (6H, Ar), 6.6 (s, 1H, NH, exchangeable with D2O), 2.9 (s, 3H, CH3). [13]C NMR: 173.9,167.5, 163.4, 162.0, 140.6, 136.2, 134.3,133.6,132.8,132.6,132.4,130.8,128.2,127.4,119.5,118.5,118.1,111.8,13.0. MS (ESI): m/z 493 [M+1]. HRMS calcd for C19H11BrCl2N4O3 491.9391. Found 491.9396.
(Z)-N'-(6-bromo-2-oxoindolin-3-ylidene)-3-(3,4-dimethoxyphenyl)-5-methylisoxazole-4-carbohydrazide (6e)
Yield: 72 %. Red solid. mp: 193-197 °C. IR (KBr, cm-1): 3336, 3241 (NH), 1689, 1666 (C=O), 1600 (CN). 1H NMR (300 MHz, CDCl3) δ: 12.8 (s, 1H, NH of isatin), 6.9-7.7 (6H, Ar), 6.0 (s, 1H, NH, exchangeable with D2O), 3.5 (s, 6H, OCH3), 2.4 (s, 3H, CH3). [13]C NMR: 175.2, 168.8, 163.6, 162.4,150.6, 149.6, 140.4,137.2,134.6,132.8,126.6,120.1,119.4, 118.7, 118.2,111.8,111.2, 108.8, 56.5, 13.0. MS (ESI): m/z 485 [M+1]. HRMS calcd forC21H17BrN4O5 484.0382. Found 484.0380.
(Z)-N'-(6-bromo-2-oxoindolin-3-ylidene)-3-(4-hydroxyphenyl)-5-methylisoxazole-4-carbohydrazide (6f)
Yield: 80 %. Yellow solid. Mp: 170-175 °C. IR (KBr, cm-1): 3380, 3530 (NH), 1680, 1662 (C=O), 1620 (CN). 1HNMR (300 MHz, CDCl3) δ: 12.7 (s, 1H, NH of isatin), 6.7-8.1 (7H, Ar), 6.4 (s, 1H, NH, exchangeable with D2O), 4.5 (s, br, OH, exchangeable with D2O), 2.8 (s, 3H, CH3). [13]C NMR: 174.9,168.2,163.6,162.4,158.8, 140.6,136.6, 134.7,132.6, 128.6, 121.8, 119.5,118.6,118.0,116.2, 114.6, 111.0, 13.0. MS (ESI): m/z 441 [M+1]. HRMS calcd for C19H13BrN4O4440.0120. Found 440.0122.
(Z)-N'-(6-bromo-2-oxoindolin-3-ylidene)-5-methyl-3-(4-nitrophenyl)isoxazole-4-carbohydrazide (6g)
Yield: 72 %. Yellow solid. mp: 195-197 °C. IR (KBr, cm-1): 3438, 3196 (NH), 1680, 1662 (C=O), 1602 (C=N), 1535, 1344 (NO2).1H NMR (300 MHz, CDCl3) δ: 12.8 (s, 1H, NH of isatin), 6.6-8.1 (7H, Ar), 6.4 (s, 1H, NH, exchangeable with D2O), 2.9 (s, 3H, CH3).[13]C NMR: 175.4, 168.1, 163.6, 162.0,147.2,140.6,136.8, 135.2,134.8, 132.6,126.6,124.0,119.4,118.9,118.2,111.2,13.0. MS(ESI): m/z 470[M+1]. HRMS calcd for C19H12BrN5O5 469.0021. Found 469.0027.
(Z)-N'-(6-bromo-2-oxoindolin-3-ylidene)-3-(4-bromophenyl)-5-methylisoxazole-4-carbohydrazide (6h)
Yield: 67 %. Yellow solid. mp: 180-184 °C. IR (KBr, cm-1): 3220, 3195 (NH), 1699, 1622 (C=O), 1602 (C=N). 1H NMR (300 MHz, CDCl3) δ: 12.9 (s, 1H, NH of isatin), 6.8-7.8 (7H, Ar), 6.9 (s, 1H, NH, exchangeable with D2O), 2.8 (s, 3H, CH3). [13]C NMR: 175.4, 167.8, 163.5, 140.2, 136.5, 134.7, 132.6, 132.4, 128.8, 128.0, 123.4, 119.5, 118.6, 118.0, 111.9, 14.0. MS (ESI): m/z 503 [M+1]. HRMS calcd forC19H12Br2N4O3501.9276. Found 501.9271.
(Z)-N'-(6-bromo-2-oxoindolin-3-ylidene)-5-methyl-3-(p-tolyl) isoxazole-4-carbohydrazide (6i)
Yield: 82 %. Red solid. mp: 201-205 °C. IR (KBr, cm-1): 3348, 3238 (NH), 1699, 1670 (C=O), 1600 (CN). 1H NMR (300 MHz, CDCl3): 12.7 (s, 1H, NH of isatin), 6.9-7.7 (7H, Ar), 6.0 (s, 1H, NH, exchangeable with D2O),, 2.6 (s, 6H, CH3). [13]C NMR: 175.6, 168.2, 163.6, 162.4, 141.5, 133.9, 131.9, 131.0, 129.7, 129.2, 126.0, 125.4, 123.8, 119.2, 117.4, 111.4, 20.8, 13.0. MS (ESI): m/z 440 [M+1]. HRMS calcd for C20H15 BrN4O3 438.127. Found 438.1272.
(Z)-N'-(6-bromo-2-oxoindolin-3-ylidene)-3-(2,4-dimethylphenyl)-5-methylisoxazole-4-carbohydrazide(6j)
Yield: 82 %. Red solid. mp: 220-225 °C. IR (KBr, cm-1): 3348, 3238 (NH), 1699, 1670 (C=O), 1600 (CN). 1H NMR (300 MHz, CDCl3) δ: 12.7 (s, 1H, NH of isatin), 6.9-7.7 (6H, Ar), 6.0 (s, 1H, NH, exchangeable with D2O), 2.8 (s, 3H, CH3), 2.6 (s, 6H, CH3). [13]C NMR: 174.4, 168.2, 163.6, 161.9, 150.6, 149.2, 141.6, 134.8, 131.8, 129.6, 126.0, 124.8, 120.4, 119.6, 117.5, 111.8, 111.0, 108.7, 56.4, 13.0. MS (ESI): m/z 407 [M+1]. HRMS calcd for C21H17BrN4O3 452.1277. Found 452.1272.
2.3 In vitro VEGFR-2 kinase activity
The in vitro enzyme inhibition assay for five selected compounds was carried out in Radiant Research Services Pvt. Ltd, Bangalore, India (http://www.radiantresearch.in/) at a single dose concentration of 5 μM. VEGFR-2 (KDR, Lot # 061716 0713) (Ray BioR) has served as the enzyme source and Poly (Glu, Tyr) sodium salt, (4:1, Glu: Tyr) (Sigma Aldrich) served as the standardized substrate and Kinase-Glo Plus Luminescence kinase assay kit (PromegaTM)
In vitro HUVEC anti-proliferative assay
The In vitro HUVEC proliferative assay for four selected compounds was carried out by Radiant Research Pvt Ltd, Bangalore, India (http://www. radiantresearch. in/) at concentration of 500 nm, 1μM, 2μM and 5μM. HUVEC (human umbilical vein endothelial cells) served as the cell source, in Medium 200 (Hi-Media), with large vessel endothelial supplement (LVES) (Life Technologies) and Pen-step (Hi-Media). Alamar Blue (Hi-Media) was used as the fluorescent reagent.
ADME and toxicity studies
Compounds 6a, 6b, 6d and 6e are further studied for their pharmacokinetic and toxicity studies using ADMET descriptor analysis protocol in Discovery Studio. Using the standards provided by Discovery Studio, the results are analyzed. The calculated parameters are tabulated in the table 6.
Molecular docking study
Molecular docking is an effective technique to predict the preferred orientation of ligand molecules with a macromolecular target (protein receptor) when bound to each other to form a stable complex. The primary objective in molecular docking is its ability to estimate the scoring function and evaluate protein-ligand interactions in order to predict the affinity and activity of the ligand molecule. The docking program GOLD 3.1 was employed to generate different bioactive binding poses of designed molecules at the active site of protein VEGFR-2. Protein coordinates from the crystal structure were used to define the active site. Docking calculations were performed using the default GOLD fitness function and default GOLD parameters to produce the set of optimal conformations of both the ligand and the protein. The default parameters used are: population size ¼ 100; selection pressure ¼ 1.1; # operations ¼ 100,000; islands ¼ 5; inches size ¼ 2; migration ¼ 10; mutation ¼ 95; crossover ¼ 95. Each simulation is performed 10 times; yielding 10 docked conformations unless three of the 10 poses were within 1.5 A °RMSD of each other. The lowest energy conformations were regarded as the binding conformations between ligands and the receptor protein. The scoring function was used to reach optimal accuracy for candidate compound selection. The greater the GOLD fitness score, the better is the binding affinity. Hit molecules which showed the expected interactions with the critical amino acids present in the active site of the protein, were selected as potent inhibitors of VEGFR-2. Using Define and Edit Binding Site tools in Accelrys Discovery Studio 2.1, the binding site of the VEGFR-2 domain (PDB: 4AG8) was predicted based on the occupied volume of the known ligand, Axitinib in the active site. The co-crystallized ligand, Axitinib molecule was first selected and a sphere was created around the molecule using define sphere for the selected option within the DS. The binding site containsVal914, Val916, Glu885, Ala866, Phe1047, Gly922, Leu1035, Glu917, Lys920, Cys1045, Cys919, Lys920. A sphere is defined around the residues comprising binding site at a radius of 10A °.

Fig. 2: Ligand molecule
Chemistry
The synthetic route for the synthesis of final compounds is described under Scheme-1. Reaction of different aromatic aldehydes with hydroxylamine hydrochloride afforded corresponding oximes (1) which on treatment with N-chlorosuccinamide in DMF gave aryl hydroximoyl chlorides (2). The cyclization of compounds (2) with ethyl acetoacetate in methanol provided 3-aryl-5-methyl-isoxazole-4-carboxylates (3) in reasonable yields. Conversion of compounds (3) into hydrazides was achieved by treating with hydrazine hydrate (99%) in methanol. Further, the coupling of hydrazides (5a-j) with isatin and 5-bromoisatinin in DMF afforded the final compounds (6a-j). The characterization of intermediates and final compounds was done on the basis of FTIR, MASS, 1H NMR and [13]C NMR spectral data. In IR spectra, the final compounds (6a-j) showed the presence of two carbonyl absorption peaks around 1700 cm-1 and 1640 cm-1due to the carbonyl group of isatin and the carbonyl of hydrazide. Moreover, a sharp absorption band around 1600 cm-1was observed in all the spectra due to C=N stretching. In 1H NMR, the NH protons of isatin and amide appeared as singlets around δ 12.9 and δ 6.8. The three protons of methyl group appeared as singlet around δ 2.9 and as usual aromatic protons appeared in the range of δ 7.0-8.0. The appearance of molecular ion peaks corresponding to their molecular weights in mass spectra further confirmed the structures. Moreover, the different carbons present in the synthesized molecules were observed at the expected chemical shifts and integral values in 13C NMR spectra.
Molecular docking
Molecular docking study was carried out with the synthesized compounds into the ATP binding site of VEGFR-2 kinase enzyme (PDB: 4AG8) (Based on the occupied volume of known ligand Axitinib into the active site). The study was performed using GOLD 3.1 software. Among sixteen compounds, compound 6d showed high fitness score of 56.19 with target protein VEGFR-2 through six bonding interactions involving five amino acids i. e, Asp 1046, Glu 885, Lys 868, Phe 1047 and val 914 at the active site (fig. 4) through hydrogen bonding and vanderwall interactions, while the reference drug, semaxinib showed only two hydrogen bond interactions (Asp 1046 and Phe 1047) with fitness score of 50.02 (fig. 3). The binding configuration of compound 6d shows that the substituted phenyl ring and isoxazole scaffold are very well lodged into the receptor pocket, while 4-chloro group is in hydrogen bonding interaction with Phe 1046. The C-21 of isoxazole showed interaction with Val 914. The NH motif of amide moiety formed two hydrogen bonds with Asp 1046 and Glu 885. The nitrogen adjacent to the amide moiety also showed hydrogen bond interaction with Asp 1046. Compounds 6a,6b, 6d and 6e also exhibited good fitness scores of 54.47, 52.38,56.19 and 52.07 and with 3 to 6 bonding interactions at the active site (fig. 5-7). The docking score results of all synthesized compounds (6a-j) are presented in table 2.

Fig. 3–4: 3D images of molecular docking poses of semaxanib and compounds (6d)
Table 2: Gold docking results of all synthesized compounds
| Compounds | Fitness score | S(hb_ext) | S(vdw_ext) | S(hb_int) | S(int) |
| 6a | 54.47 | 1.51 | 45.28 | 0.00 | -9.29 |
| 6b | 52.38 | 1.49 | 41.14 | 0.00 | -7.67 |
| 6c | 48.44 | 0.86 | 38.15 | 0.00 | -4.87 |
| 6d | 56.19 | 1.69 | 44.44 | 0.00 | -6.60 |
| 6e | 52.07 | 1.61 | 45.05 | 0.00 | -11.48 |
| 6f | 47.28 | 1.57 | 39.84 | 0.00 | -9.07 |
| 6g | 50.40 | 3.31 | 43.80 | 0.00 | -9.64 |
| 6h | 51.51 | 2.00 | 41.66 | 0.00 | -7.78 |
| 6i | 50.51 | 0.10 | 45.22 | 0.00 | -11.78 |
| 6j | 50.75 | 2.55 | 41.90 | 0.00 | -9.41 |
| Semaxinib | 50.02 | 0.00 | 38.28 | 0.00 | -2.61 |
In vitro VEGFR-2 kinase assay
In molecular docking, compounds 6a, 6b, 6d, 6e and 6h demonstrated high fitness scores relative to the reference drug, semaxinib and were considered for in vitro VEGFR-2 kinase enzyme assay using a single dose concentration of 5 μM. The study was performed at Radiant Research Services Pvt. Ltd, Bangalore, India (http://www.radiantresearch.in/). The results revealed that the compound 6d has potent activity against VEGFR-2 kinase at 5 μM concentration with 86 % inhibition while the other compounds 6a, 6e showed more than 75 %. However, Compound 6h exhibited 52 % inhibition and the results are presented in table 3.
Table 3: Percent inhibition of VEGFR-2 enzyme activity
| Compounds | R | R1 | R2 | R3 | % inhibition |
| 6a | OCH3 | H | H | Br | 75 |
| 6b | Cl | H | H | Br | 72 |
| 6d | Cl | Cl | H | Br | 86 |
| 6e | OCH3 | OCH3 | H | Br | 78 |
| 6h | Br | H | H | Br | 52 |
Based on (table 3) results, four compounds (6a, 6b, 6d and 6e)which exhibited above 70 % VEGFR-2 inhibition were selected for further dose-related VEGFR-2 enzymatic inhibition at 500 nM, 1 μM, 2 μM and 4 μM concentrations in order to calculate their IC50 values (table 3). Two compounds 6d and 6a exhibited potent VEGFR-2 inhibitor activity with IC50 values of 1.33 μM and 1.75 μM while the reference drug semaxinib [20] showed IC50 value of 1.24 μM. However, compounds 6a and 6d exhibited reasonable activity. A good correlation was observed among the studies of molecular docking, in vitro VEGFR-2 kinase enzyme assay and in vitro IC50 values. The IC50 values are presented in the table 4.
Table 4: The IC50 values of selected compounds based on VEGFR-2 inhibition
| Compounds | VEGFR-2 (% inhibition) | VEGFR-2 (IC50) |
| 6a | 78 | 1.75 |
| 6b | 72 | 2.18 |
| 6d | 86 | 1.33 |
| 6e | 70 | 2.33 |
| semaxinib | 98 | 1.24 |
In vitro antiproliferative assay
For antiproliferative assay, HUVEC cell line was selected since they play a major role in angiogenesis or new blood vessel formation. Four compounds (6a, 6b, 6d and 6e) that demonstrated more than 70 % VEGFR-2 inhibition were selected for their activity against HUVEC cell line at a single dose concentration of 10 µM. In screening, the compounds exhibited varied antiproliferative activity. Compounds 6d and 6e showed good antiproliferative activity with percentage inhibition of 78 % and 98 %, while the compounds 6a and 6b exhibited 72 % and 70 % and the reference semaxinib showed 100% inhibition. These values are in good correlation with the in vitro VEGFR-2 enzyme inhibitory assay. The results are shown in table 5.
Table 5: The effect of compounds on HUVEC cell line at 10 µM
| Compounds | %Cell growth | %Cell inhibition |
| 6a | 28.69 | 72 |
| 6b | 50.06 | 70 |
| 6d | 30.02 | 78 |
| 6e | 0.65 | 98 |
| semaxinib | 0.29 | 100 |

Fig. 5: Plot of PSA versus Log P for candidate compounds showing the 95% and 99% confidence limit ellipses corresponding to the blood–brain barrier and intestinal absorption models ADME and toxicity studies
The ADMET studies deal with in silico prediction of the adverse effects of the synthesized compounds. The properties such as absorption, distribution, metabolism, excretion and toxicity (ADMET) are important in order to determine the success of the compound for human therapeutic use. The results were compared to the reference Level values of Discovery Studio to analyse the properties of our compounds. The absorption levels (human intestinal absorption) of all the compounds are predicted to be having good absorption. The solubility levels of the compounds were in the range of 1–2, indicating good solubility. BBB penetration of all the compounds are 3 and 4, the values represent high penetration of the compounds. All the compounds exhibited in silco cytochrome P450 2D6 inhibition. Similarly, all the compounds are satisfactory with respect to CYP2D6 value is near to 0, suggesting that these compounds should be non-inhibitors of CYP2D6. The plasma protein binding property prediction denotes that all of them have binding ≥95% indicating that most of the compounds have good bioavailability and are not likely to be highly bound to carrier proteins in the blood. Further, all the compounds have been predicted to have the probable hepatotoxic levels less than 1. Of all the compounds, compound 6a showed least probability value of 0.894 suggesting that this compound is least toxic compared to all the compounds. The results are shown in table 6.
Table 6: Absorption, distribution, metabolism, excretion and toxicity (ADMET) of synthetic derivatives
| Name | BBB_ level |
Absorption_ level | Solubility_ level | Hepatotoxicity_ probability |
PPB_ level |
CYP2D6_ probability |
Alogp98 |
| Axitinb | 1 | 0 | 2 | 0.96 | 1 | 0.613 | 4.492 |
| Comp. 6a | 4 | 0 | 2 | 0.894 | 2 | 0.366 | 3.026 |
| Comp. 6b | 4 | 0 | 1 | 0.927 | 2 | 0.198 | 4.388 |
| Comp. 6d | 3 | 0 | 2 | 0.933 | 2 | 0.297 | 3.639 |
| Comp. 6e | 4 | 0 | 2 | 0.913 | 2 | 0.336 | 3.043 |
Ten novel isatin incorporated isoxazole derivatives were designed and synthesized by the condensation of different 3-aryl-5 methylisoxazole-4-carbohydrazides (5a-j) with 5-bromoisatin in order to give the target compounds that act as VEGFR-2 inhibitors. The synthesized compounds were characterized on the basis of spectral and elemental analysis data. In molecular docking, all the designed compounds (6a-j) exhibited high fitness scores with minimum three bonding interactions with the active site of VEGFR-2 kinase. In in vitro VEGFR-2 kinase enzyme assay, compounds 6a, 6b, 6d and 6e exhibited more than 70% inhibition at a single dose concentration of 5 µM. In antiproliferative assay against HUVEC cell line, compounds 6d and 6e exhibited potent activity with IC50 values in nanomolar (μm) concentrations. ADMET results of 6a, 6b, 6d and 6e are quite promising with least hepatotoxicity and good bioavailability.
The authors are thankful to the management of G. Pulla Reddy College of Pharmacy, Hyderabad, India for providing facilities. The authors are also thankful to Central University, Hyderabad for providing Mass and 1H NMR spectral data.
All the authors have contributed equally
The authors declare that there is no conflict of interest
Kamal A, Reddy JS, Ramaiah MJ, Dastagiri D, Bharathi EV, Azhar MA, et al. Design, synthesis and biological evaluation of 3, 5-diaryl-isoxazoline/isoxazole-pyrrolobenzodiazepine conjugates as potential anticancer agents. Eur J Med Chem 2010;45:3924-37.
Rajanarendar E, Reddy MN, Krishna SR, Reddy KG, Reddy YN, Rajam MV. Design, synthesis, in vitro antimicrobial and anticancer activity of novel methylenebis-isoxazolo [4, 5-b] azepines derivatives. Eur J Med Chem 2012;50:344-9.
Radhika T, Sravanthi S, Babu VH, Reddy BM. Synthesis, biological evaluation and molecular docking studies of isoxazole synchronized quinazolinone derivatives. J Pharm Res 2017;11:895-2.
Edafiogho IO, Hinko CN, Chang H, Moore JA, Mulzac D, Nicholson JM, et al. Synthesis and anticonvulsant activity of enaminones. J Med Chem 1992;35:2798-5.
Chikkula KSR. Isoxazole –A potent pharmacophore. Int J Pharm Pharma Sci 2017;9:13-4.
Yang Z, Li P, Gan X. Novel pyrazole-hydrazone derivatives containing an isoxazole moiety: design, synthesis, and antiviral activity. Mol 2018;23:1798.
Kalirajan R, Rafick MH, Sankar S, Jubie S. Docking studies, synthesis, characterization and evaluation of their antioxidant and cytotoxic activities of some novel isoxazole-substituted 9-anilinoacridine derivatives. Sci World J 2012;2012:165258.
Kumar A, Maurya RA, Sharma S, Ahmad P, Singh AB, Tamrakar AK, et al. Design and synthesis of 3, 5-diarylisoxazole derivatives as novel class of anti-hyperglycemic and lipid lowering agents. Bio Med Chem 2009;17:5285-92.
Basha SS, Divya K, Padmaja A, Padmavathi V. Synthesis and antimicrobial activity of thiazolyl pyrazoles and isoxazoles. Res Chem Int 2015;41:10067-83.
Meenakshi K, Gopal N, Sarangapani M. Synthesis, characterization and antimicrobial activity of some novel schiff and mannich bases of isatin. Int J Pharm Pharm Sci 2014;6:318-22.
Debnath B, Ganguly S. Molecular docking studies and ADME prediction of novel isatin analogs as hiv-1-rt inhibitors with broad spectrum chemo therapeutic properties. Asian J Pharm Clin Res 2014;7:186-9.
Smitha S, Pandeya S, Stables J, Ganapathy S. Anticonvulsant and sedative-hypnotic activities of N-acetyl/methyl isatin derivatives. Sci Pharm 2008;76:621-36.
El-Faham A, Farooq M, Khattab SN, Abutaha N, Wadaan MA, Ghabbour HA, et al. Synthesis, characterization, and anti-cancer activity of some new N′-(2-Oxoindolin-3-ylidene)-2-propylpentane hydrazide-hydrazones derivatives. Mole 2015;13:14638-55.
Chandra PM, Venkateshwar J. Biological evaluation of schiff bases of new isatin derivatives for anti alzheimer’s activity. Asian J Pharm Clin Res 2014;7:114-7.
Hoff PM, Wolff RA, Bogaard K, Waldrum S, Abbruzzese JL. A phase I study of escalating doses of the tyrosine kinase inhibitor semaxanib (SU5416) in combination with irinotecan in patients with advanced colorectal carcinoma. Japan J Clin Oncol 2006;1:100-3.
Shibuya M. Vascular endothelial growth factor (VEGF) and its receptor (VEGFR) signaling in angiogenesis: a crucial target for anti-and pro-angiogenic therapies. Gen Canc 2011;2:1097-5.
SB B, Adhikari S, Surana SJ. Tyrosine kinase receptor inhibitors: A new target for anticancer drug development. J Pharma Sci Tech 2012;1:36-45.
Li Z, Wang B, Tang L, Chen S, Li J. Quinazoline derivative compound (11d) as a novel angiogenesis inhibitor inhibiting VEGFR-2 and blocking VEGFR2-mediated Akt/mTOR/p70s6k signaling pathway. Iran J B Med Scien 2016;19:411.
Corbacho AM, Macotela Y, Nava G, Torner L, Duenas Z, Noris G, et al. Human umbilical vein endothelial cells express multiple prolactin isoforms. J End 2000;166:53-62.
Haddad JJ. The immunopharmacologic potential of Semaxanib and new generation directed therapeutic drugs: receptor tyrosine kinase regulation with anti-tumorigenensis/angiogenesis properties. Sau Pharma J 2012;30:103-23.