1Department of Pharmacy, National School of Biological Sciences, National Polytechnic Institute of Mexico, D. F. Mexico, Unidad Profesional Adolfo López Mateos. Col. Industrial Vallejo, C. P. 07738, D. F. México.
Email: lvillaro@encb.ipn.mx
Received: 27 Feb 2014 Revised and Accepted: 01 May 2014
ABSTRACT
Objective: The purpose of the work was the assessment of the GalenIQ 720 flowability as a functionality parameter of the excipient, comparing two different methods.
Methods: The evaluated parameters were the powder flow through different size orifices and the compressibility index, as absolute values and as values relative to Helmcel 200. The parameters determined with pure excipients and in mixtures with a model drug, metronidazole.
Results: The compressibility index is a specific measurement for each powders blend that allows the assessment of its overall flow properties. Flowability, expressed as the flow rate, shows so many different results as orifices are being tested. Both methods exhibit comparable results only by wide orifice sizes where the interaction with de orifice walls is minimized. The flow rate increases progressively, mostly in a potential relationship, with an increasing orifice diameter. The flow rate of GalenIQ 720 attains a maximum with 0.4-0.8% magnesium stearate.
Formulations containing GalenIQ 720 show about 2.8 times greater flowability than those containing Helmcel 200 while the flowability of GalenIQ 720 is about 8.7 times greater than that of Helmcel. The presence of metronidazole attenuates the differences observed by the flowability of pure excipients and its spread.
Conclusion: Both methods consistently show a comparable improvement of metronidazole flowability with GalenIQ 720 and a deterioration of the same with Helmcel 200. The knowledge of the individual materials flowability allows the inference of their effect on the flowability of their mixtures but not the magnitude of this effect.
Keywords: Powder flow, Compressibility index, Surrogate functionality, Explicit functionality, Relative functionality, Metronidazole, Lubricants.
Solid dosage forms are heterogeneous systems composed of particles with different physical and chemical properties. The performance of such systems by blending, powder flow and compaction is critical for manufacturing, transport and scaling-up of the products. Powders are the most used materials in the pharmaceutical industry and are difficult to be characterized. This is attributed to their own heterogeneity and tendency to segregate in the course of their processing and transport. This makes difficult the prediction of their functionality [1].
Pharmaceutical products have very strict requirements in terms of content uniformity, consistency, stability during storage, transport and shelf life, which requires an exceptional degree of control in the manufacturing process [2].
During manufacture active ingredients and excipients are subjected to mechanical tensions, for example during charging and discharging, grinding, mixing, extrusion, fluidizing, dispensing, compression and coating. Therefore, a concern during the formulation is the understanding of the potential response of the solids to mechanical stresses throughout the development of a product and in the production line. Understanding, characterizing and predicting the properties of the powders are important aspects in the pharmaceutical industry in the development and manufacture [3].
The manufacture of pharmaceutical solid dosage forms involves several processes. These processes are very sensitive to powder characteristics such as flowability and apparent density, parameters being to a certain extent interrelated and which affect the quality of the final product [4].
The powder flow is a key factor in the series of processes involved in the manufacture of pharmaceuticals such as direct compression tablets and hard gelatin capsules. These products must achieve an optimal powder flow in order to obtain end products with an acceptable content uniformity, weight variation and physical consistency. Knowledge and subsequent control of the characteristics of the powders is very important in the development and processing of solid dosage forms [5].
The active ingredients are a major constraint in the formulation. Excipients and the manufacturing process are selected to address the deficiencies that may present the drug. This emphasizes the functionality of each excipient and the benefits obtained from each unit operation during manufacture [6].
Excipients are a very diverse group of materials with a wide range in their properties. They are used in many different products to provide different functionalities, depending on particular applications. The functionality has been defined as a desirable property of a material that helps in manufacturing, facilitating it and improving the quality or performance of pharmaceutical products. In the context of the formulations and pharmaceutical products, each formulation has its particular functionality requirements.
One way to verify the functionality of an excipient is the identification of surrogate tests that have some relation to the required functionality. Such tests have been defined as characteristics related to functionality or performance tests [7].
In general, the utility of testing functionality includes: a) determining the properties of materials, for purposes of quality control, b) predicting the performance of materials in a formulation using surrogate functionality and c) comparing the functionality of excipients of different origin and different physical or chemical characteristics [8].
The selection of properties that define the functionality of the excipients is considered a critical activity. In the development of a dosage form this selection is used to delimitate the design space. The design space is defined as the combination and interaction of the multidimensional input variables, in example, the attributes of the materials and process parameters that have been shown to contribute to the quality assurance [9].
The availability of many test methods indicates the difficulties in defining the properties of the powders. Unfortunately, many methods have limited value, particularly in the development of the process because:
• They show only one aspect of the behavior of the excipients.
• They do not simulate the conditions occurring in the process.
• Generate data that does not directly correlate with performance in the process.
• They are not well defined and therefore the results are not repeatable or reproducible between one company and another, between one place and another and even between an operator and other [9].
Various methods are available for determining the flow properties of powders. The methods include measuring the angle of repose, the bulk density of poured powder, the tapped bulk density of the powder, the Carr's compressibility index and the Hausner ratio. These methods are recommended by the pharmacopeia for evaluating flowability of powders and are widely used in industrial applications [10-12].
Compressibility is the property that reflects the ability of the powder to reduce its volume when subjected to normal stress. The compressibility is defined as the change of volume of the powder under a normal pressure and is an indicator of flowability. It is often expressed using the Hausner ratio or the Carr index [13-15].
Hausner ratio or Hausner index (HI) is the ratio of the density of the tapped powder (Dtp) divided by the bulk density of the poured powder (Dpp) [4, 10]. This index is calculated according to the equation:
HI = Dtp/Dpp ……… Eq.1
The higher the Hausner ratio value (HI), the lower the flowability of the powder. If the HI of a powder is greater than 1.4 the powder is considered cohesive and therefore has problems in flowing; a HI lower than 1.25 characterizes a free flowing powder [2, 5, 16].
Another parameter used to evaluate the flowability of the powders is the compressibility index or Carr index (CI), and is again a function of the bulk density of the poured powder and the density of the settled or tapped powder. The compressibility is a proposed test by Carr for assessing powder properties, the compressibility index measures the tendency of a powder to consolidate (volume change) [5, 14-15].
This compressibility index is calculated according to the equation:
…………. Eq. 2
The compressibility index is inversely related to flowability. The greater the compressibility of a particulate solid, the lower its ability to flow. A powder having a compressibility index lesser than 20% is considered to have good flowability [5, 17].
Another indicator of the flow properties of powders commonly used is the flow rate and is defined as the time it takes to move a certain amount of powder through a funnel having a well-defined opening. Such measurements have demonstrated the dependence of the powder flow of the powder particle size, particle surface area, shape, and porosity, the air permeability through the powder bed, the electrostatic charge and the moisture [14].
With the aim of facilitate the powder flow, there are some methods that include an element that facilitates or promotes the flow of the powders as the use of vibration or a spatula.
Unlike compressibility indexes, there is no scale of the goodness of the flow rate, because the rate is dependent, critically, upon the method used. Furthermore, although flow tests give information about what is the flow rate, you cannot know to what can be ascribed this rate.
Although it can be thought that methods such compressibility indexes and the flow through an orifice are "primitive" exists in literature sufficient information indicating that these methods can be correlated with manufacturing experience and are therefore of importance [18].
The complexity and challenge of measuring an abstract characteristic as the powder flowability open space to consider to where science and industry is guided. Probably to something more practical, that is, to know what the problem is and how we can solve it [18].
The purpose of measuring the flowability of powders as a functionality parameter is based on concepts related to a better formulation, to reduce the cost of process development, to improve the quality and consistency of products and to save storage costs when optimizing, packaging, handling and transport. This parameter would help to evaluate a possible replacement of materials, the development of a formulation, the process development, improve the quality and management of products and fulfill the regulations of the health authorities [19].
GalenIQ 720 is a form of spherical agglomerated isomalt used for direct tableting and for filling capsules. Chemically it is disaccharide alcohol in a 1:1 ratio of 6-O - D-glucopyranosyl-D-sorbitol and 1-O - D-glucopyranosyl-D-mannitol dihydrate. It is found in pharmacopoeias as isomalt. Due to its properties as its taste and low calorie content, which makes it suitable for diabetics, as well as its low hygroscopicity offers advantages over other polyols when formulated into pharmaceutical products. Particularly, it is used as an excipient in tablets [20-21].
The purpose of this study is to evaluate the functionality of GalenIQ 720 as an excipient for direct compression, using the powder flow through funnels with different size openings as a functionality parameter and comparing it again the Carr’s compressibility index and the Hausner ratio. The measurements are absolute and relative to the functionality of a widely used excipient such as microcrystalline cellulose type 102. Functionality tests are surrogate using pure excipients and explicit using mixtures with other excipients and the drug metronidazole.
Materials and Methods
Material
The materials used in this study were: microcrystalline cellulose type 102, Helmcel 200, obtained from Helm Mexico, batch numbers 50463 and 17649; agglomerated isomalt (Ph Eur, BP, USP-NF), GalenIQ 720, BENEO-Palatinit GmbH, batch number L906; magnesium stearate, lot A47043 from Helm Mexico and metronidazole from Química Alkano SA de CV, batch number 03121402, with a purity of 99.31%. The drug and excipients were used as received.
MethodsPreparation of mixtures
Corresponding amounts of the materials were weighed to obtain 30g of metronidazole mixtures with different proportions of each excipient: 50%, 75%, 62.5%, 25%, 37%, 85% and 95%. The powders were transferred to a V blender adapted to a variable speed motor, Roto-Torque Cole-Parmer, model 7637, for carrying out the mixture at 33 rpm for 20 minutes. Mixtures of metronidazole with GalenIQ 720 were further added of 1% of magnesium stearate, to decrease their adhesion to compression tools. Mixtures of GalenIQ 720 with magnesium stearate were made with lubricant proportions of 0.4, 0.8, 1.0, 1.2, 1.6 and 2.0%, mixing for 20 minutes.
Bulk density and tapped density of powders
To determine the bulk density of a poured powder it is weighed approximately 30 g of the corresponding material. The powder is gently poured through a funnel of known diameter to a graduated cylinder of 100 ml which is mounted on a tapper, in a vertical position; registering the volume occupied by the powder (volume of the poured powder). If the powder level is not uniform, the marks of the minimum and the maximum of the volume are taken to calculate the average and with this the volume. The resulting volume is recorded. The bulk density of the poured powder is calculated by dividing the mass of the sample by its bulk volume.
Once the bulk volume of the powder is recorded, the powder in the graduated cylinder is tapped from a height of 1.5 cm, by the tapper. The tapper is set at a constant speed of 50 taps per minute. The tapping of the sample is carried out in cycles of 10 taps. The volume occupied by the powder is recorded, repeating the operation as often as necessary, until obtaining 3 equal consecutive measurements. This is the volume of the tapped powder. The bulk density of the tapped powder is calculated by dividing the mass of the sample by the volume occupied by the tapped powder.
These measurements are repeated five times with each one of the different funnels being studied (opening diameters of 3, 6, 8, 10 and 14 mm). The powders are sieved through a mesh number 20 after each evaluation. The average of 5 measurements is taken as the bulk density of the poured or tapped powder as applicable.
With these measurements the Hausner Ratio and the Compressibility Index are calculated, to judge the rheological properties, according to Equations 1 and 2.
Assessment of the flow rate of the powders
In a balance the material is weighed (approximately 30 g) and its flow rate assessed using a glass funnel with an opening of known diameter. This funnel is placed on a 100 ml graduated cylinder mounted on a tapper. The sample is gently poured into the funnel whose bottom opening was blocked. While unlocked, the tapper starts the movement. The powder flows through the orifice of the funnel, falling to the bottom of the cylinder. The time it takes to move the total powder poured through the funnel is registered. The flow rate is calculated by dividing the sample mass by the time.
The assay is repeated 5 times for each one of the selected funnels (opening diameters of 3, 6, 8, 10 and 14 mm), sieving the powder through a mesh number 20 after each measurement. The average of the 5 repetitions is taken as the flow rate.
Results and discussion
Assessment of flowability of individual materials
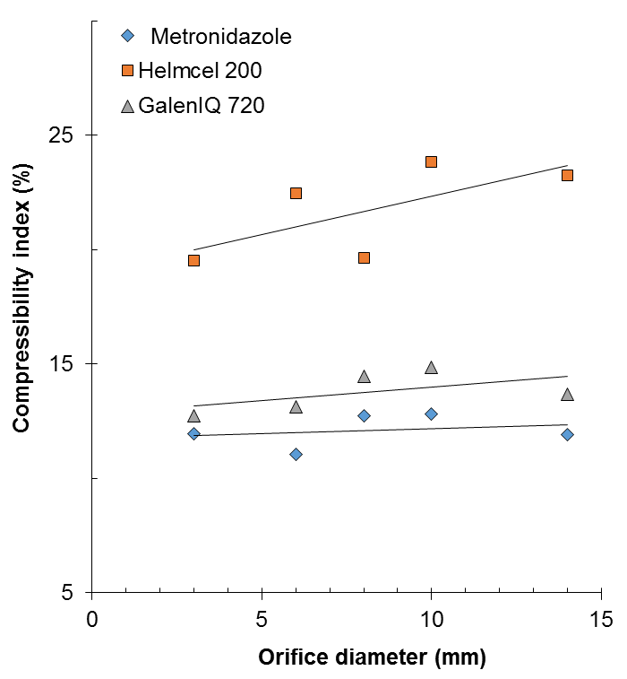
The compressibility index was assessed by allowing fall the powder through funnels with orifices of different size. The values obtained for the compressibility indexes are depicted in Figure 1. It is observed a slight tendency of these values to increase with increasing orifice diameters, although this tendency is small.

Fig. 1: Compressibility indexes (%) obtained for GalenIQ 720, Helmcel 200 and Metronidazole, using funnels with different opening sizes.
According to compressibility indexes the flowability of Helmcel 200 is the worst, showing an average compressibility index of 21.7%, which means that its flow properties are acceptable. Avicel 102, Helmcel 200 innovator, has shown compressibility indexes of 16-16.3, qualifying as a material with relatively good or intermediate flow properties. While the classification for Helmcel 200 is similar, the current compressibility index is clearly higher. This is attributable to different conditions of the measurement process.
A better flow is observed with GalenIQ 720, with an average compressibility index of 13.8%. This means a rating of good flow properties. This value is similar to that published by the provider [23], 10%, even if the current value is also somewhat higher. In the same classification is found metronidazole, although this material flows better with an average compressibility index of 12.1%.
The flowability of GalenIQ 720 and metronidazole would be considered sufficient to process direct compression tablets. For example, it was observed that Tramadol. HCl tablets containing 66% of GalenIQ 720 and showing a Compressibility Index of 14.6% allow a tablet weight uniformity of 246 mg ± 12, when compressed in a rotary tablet press Rimek Minipress [24].
The flowability of powders is intuitively defined as the ease of flow and is related to the change in position of the particles with respect to each other within the assembly forming a powder. The dynamic behavior of the powder appears to be mainly determined by interparticle forces and the packing structure [25].
Interparticle forces and particle-packing would be displayed in the compressibility index. Higher compressibility index values corresponding with higher interparticle forces and/or denser packings. The compressibility index is inversely proportional to the flowability of powder, so that the inverse of this ratio may be considered as indicative of powders flowability. Thus, the flowability of GalenIQ 720 corresponds to 1/13.78 = 0.0726, Helmcel 200 with a value of 1/21.73 = 0.0460 while metronidazole exhibits a value of 1/12.09 = 0.0827.
The above mentioned values are indicative of the absolute flowability. However, the powder flow can also be calculated as a relative value, for example, relative to Helmcel 200 (microcrystalline cellulose type 102). In this sense, GalenIQ 720 has a relative flowability of 1.58 times that of Helmcel 200 while metronidazole has a comparable relative flowability of 1.80 times that of Helmcel 200.
Microcrystalline cellulose type 102 (Avicel PH102) has been considered at the boundary between an acceptable and a poor flowing excipient for tableting in high-speed machines. For this reason, it has been used as a reference material for judging the goodness of the flow properties of formulations. Powders showing flow properties lower than microcrystalline cellulose type 102 have been found to have problems of flowability that must be corrected [26].
In the same way and using the same experimental data as before the Hausner ratio was assessed. The obtained values are depicted in Figure 2. It is noted an increase of the Hausner ratio with an increasing orifice diameter of the funnels through which the powder was flowing. Even if this increase is limited, it is similar to that observed using the Compressibility Index.
It is observed that Helmcel 200 shows an average Hausner Ratio of 1.28. This value means that the flowability of the powder can be considered as acceptable. Currently, Helmcel 200 is the worst flowing material. A better flow is displayed by GalenIQ 720, with an average of 1.16, which indicates that it possesses good flow properties. The best flowing material is metronidazole, even if it displays a Hausner ratio similar to that of GalenIQ 720, 1.14. Both materials are considered to have good flow properties. As can be seen, these results lead to similar conclusions as those of compressibility indexes and will not be displayed anymore in this discussion of results.
The materials under study were examined in their flow rate, taking the time that a certain amount of mass of the powder requires to pass through a funnel with an orifice of a well-defined size. The flow rate was determined using funnels with orifices of different size, 3, 6, 8, 10 and 14 mm.

Fig. 2: Hausner ratio values obtained for GalenIQ 720, Helmcel 200 and Metronidazole, using funnels with orifices of different size.
Measuring the flow rate may alter its repeatability because the air in the powders can be removed and the powders can form agglomerates [27]. This source of variation in the assessment of the flow rate was avoided by aerating the powder, sieving after each test.
Unlike the above determinations of compressibility index, in case of the flow rate and as observed in Figure 3, there is not a single value indicative of the flowability but a number of them. The flowability of the powders, expressed as the flow rate, increases with an increasing diameter of the orifice though which the powders flow.
The flow rate has been observed to be proportional to a power of the orifice diameter [28]. Currently, metronidazole increases its flow rate in a potential relationship, as the orifice diameter through which the powder flows is increased. Similarly, there is also a potential relationship of an increasing flow rate as the orifice diameter increases for Helmcel 200. Further, GalenIQ 720 displays a similar relationship even if it is not a potential one, instead it is a linear relationship.

Fig. 3: Flow rate of powders of GalenIQ 720, Helmcel 200 and Metronidazole, when flowing through glass funnels with different size openings.
Helmcel 200 consistently displayed again the worse flowability. This flowability was calculated for an orifice of 6 mm as 257 mg/s, while GalenIQ 720 shows a powder flow rate, calculated for the same orifice size, of 3381 mg/s. The best flowing material was metronidazole with a calculated powder flow rate of 4275 mg/s. The flow rate results show a comparatively similar flowability of the different materials as that seen before by the results of Compressibility Indexes.
The flow rate of GalenIQ 720, related to the flow rate of Helmcel 200 is 13.1 times greater, while the flow rate of metronidazole is 16.6 times higher. Although these relative flowabilities are almost 10 times higher than those calculated with the compressibility indexes, the comparative flowability among the different materials is preserved. It means that metronidazole flows only slightly better than GalenIQ 720 and both flow much better than Helmcel 200. The flowability of Helmcel 200 is much lower than that of metronidazole and GalenIQ 720.
Furthermore, the values of the relative flow rate decrease logarithmically with an increasing orifice diameter. For a 14 mm orifice the flow rate of GalenIQ 720 is 4.6 times greater than that of Helmcel 200, much lesser than that calculated for an orifice of 6 mm – 13.1. In the same manner, metronidazole shows a relative flow rate 5.8 times greater than that of Helmcel 200, compared to a value of 16.6 observed before. These values are about 3 times higher than those determined with the compressibility index. When the flow rate is extrapolated to an opening of 43 mm the relative flowability of metronidazole and GalenIQ 720 are similar to those calculated with the compressibility index. The relative flowability of the powders assessed with the flow rate and Compressibility Indexes are comparable only when the powders flow freely, freely enough to overcome the restriction created by the walls of the funnel orifice.
Figure 4 depicts the relationship between the compressibility index and the flow rate calculated by regression (Fig. 3) for the studied materials. As can be seen, the same relationship holds for all different orifice sizes that were tested.

Fig. 4: Logarithmic relationship of compressibility indexes of GalenIQ 720, Helmcel 200 and metronidazole, against their flow rate, calculated by regression for orifices of different size.
The powders flow rate is linked to an opening size and not only to the properties of the flowing material while the compressibility index and the Hausner ratio are more linked to powder properties. In general, the compressibility index and Hausner ratio are related to powders properties and tell us if the flow properties of powders are better or worse. On the other hand, the flow rate gives results depending not only on the materials properties but depending also on the interaction of the powder with the orifice. The flow rate is more useful to predict the performance of materials using processing equipment with orifices or means of access that restrict the powders flow.
Effect of magnesium stearate on the flowability of GalenIQ 720
The excipient GalenIQ 720 is commonly used to formulate direct compression tablets concurrently with a lubricant, because it sticks or adheres to compression tools. However, the functionality of the carrier to improve flowability of the formulations may be affected by the lubricant. Therefore, the flowability of the excipient and their mixtures with magnesium stearate was assessed using the compressibility index, adding the powder through funnels with different orifice sizes.
Figure 5 depicts the Compressibility Index for GalenIQ 720 and the average obtained for mixtures with varying concentrations of magnesium stearate up to 2%. As in previous cases, it is observed that there is a minor increase in the compressibility index as the diameter of the orifice through which the powder is added increases. The addition of magnesium stearate lessen in an important manner the compressibility index, this meaning an increase in the flow rate of the excipient.

Fig. 5: Effect of the orifice diameter and the addition of magnesium stearate on the compressibility index of GalenIQ 720.
Among the possible effects of a lubricant such as magnesium stearate on the flowability of powders is an increased flowability. This is attributed to formation of a lubricant layer on the particles. This layer may fill in the surface roughness of the particles. This has been suggested for the case of Avicel PH-101 and PH-102 [22].
Pharmaceutical powders are composed of various particle sizes. In a mixture of these particles, the fine tend to occupy the empty spaces left by the large ones, increasing their packing and obstructing their flowability. In spite of this, when the amount of these fine particles is small, they might function as rolling bearings for the large particles, facilitating its slipping and flowability [28]. This factor would also contribute to the mechanism of action of magnesium stearate, to increase the flowability of powders.
The above mentioned effects of magnesium stearate has been observed before with materials such as lactose and spray dried granules, Di-Pac, Lactose-316 Fast Flo and binary mixtures of Avicel PH102 and lactose 316 (1:1). The addition of 1% magnesium stearate improved the flow properties of these materials. However, larger amounts of lubricant do not always increase the improvement of flowability of powders. Lubricant proportions between 2 and 5% may decrease the powders flowability. There appears to be an optimum of the lubricant proportion to improve the flowability of each powder. The addition of higher amounts of lubricant may produce no further effect or deteriorate the optimal flow properties of powders [29-30].
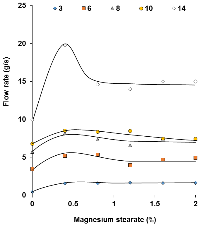
Figure 6 depicts the results obtained for the flow rate of GalenIQ 720 and its mixtures with magnesium stearate in different proportions. It is observed that additions of magnesium stearate of 0.4-0.8% increases the flow rate of GalenIQ 720. Higher proportions of the lubricant no longer increase the powder flow rate but lessen it or keep it in a given magnitude. The current flow rate results are in agreement with the above mentioned data found in literature [29-30].

Fig. 6: Effect magnesium stearate on the flow rate of GalenIQ 720, assessed with glass funnels with openings of different size (mm).
In order to better contrasting the overall effect of magnesium stearate, it was used the average of results obtained with mixtures of GalenIQ 720 containing different proportions of the lubricant. Figure 7 shows an improvement in the flow rate of GalenIQ 720 in its mixtures with magnesium stearate when the powders flow through different size orifices. The flow rate of mixtures with the lubricant is in all cases greater than that observed for pure GalenIQ 720.
The improvement in flowability of GalenIQ 720 obtained with the lubricant is about the double (122%) when determined with the compressibility index while it ranges from 41% for an orifice size of 6 mm to 44% for an orifice of 14 mm, when determined with the flow rate (data calculated by regression, Fig. 7). It is clear the improvement of flowability of GalenIQ 720 after addition of the lubricant but its magnitude is quite different depending on the method used to assess it.

Fig. 7: Powder flow rate of pure GalenIQ 720 compared to the average of the flow rate of its mixtures containing up to 2% magnesium stearate when flowing through different size orifices.
GalenIQ 720 explicit functionality in a formulation of metronidazole
While the flowability of the individual powders has been described with several parameters, these parameters are not able without difficulty to predict the flowability of mixtures thereof. In a study on the properties of mixtures of powders of chloroquine phosphate and calcium phosphate, it was found that when the powders are mixed in different proportions the properties of the mixtures could not be in-between of those of the constituent powders. This behavior is called anomalous and referred to the changes that occur in the packing arrangement of the particles of the powders [31].
Figure 8 depicts the changes in the compressibility index of metronidazole when the ratio of GalenIQ 720 in its mixtures is modified. The compressibility index decreases as the ratio of GalenIQ 720 increases. This is equivalent to an increase of the powder flow rate.
Even if both materials have good and similar flow properties the observed effect seems to be due to a lesser adhesion between different particles compared to the cohesiveness between particles of the same kind. This circumstance allows a greater flow by the simple fact of mixing. Therefore, one could say that GalenIQ 720 is a pharmaceutical excipient which betters the flow properties even of the good flowing metronidazole. According to compressibility indexes, GalenIQ betters the flowability of metronidazole decreasing by a factor of about 0.057% its calculated compressibility index by every unit percentage of the added excipient. This is equivalent to about 0.5% of its original value.

Fig. 8: Effect of different proportions of GalenIQ on the compressibility index (%) of metronidazole.

Fig. 9: Effect of GalenIQ 720 on the flow rate of its mixtures with metronidazole, assessed with funnels with different size openings (mm).
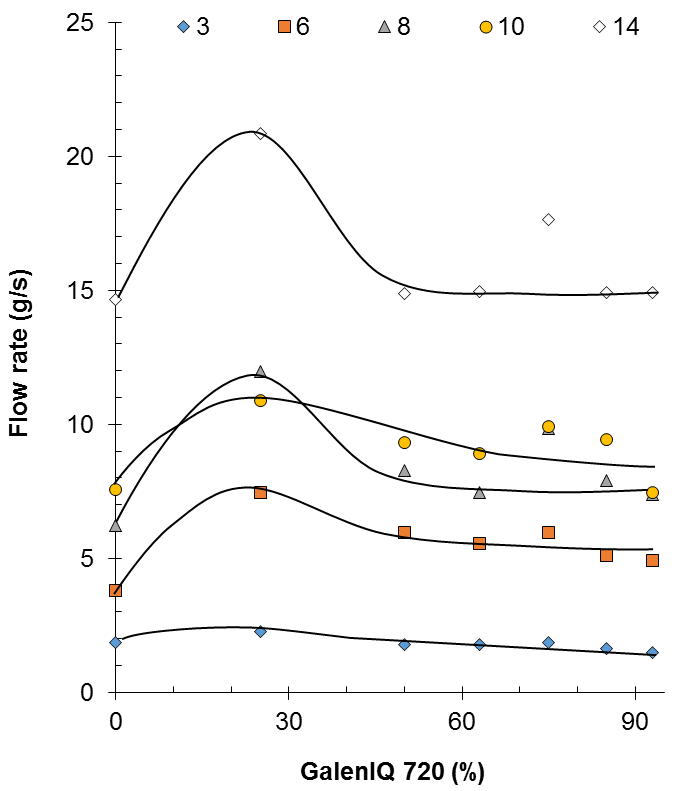
Figure 9 shows the flow rate of metronidazole containing different proportions of GalenIQ 720, when measured in funnels with different size orifices. After addition of increasing proportions of GalenIQ 720 there is first an increase and then a decrease in the flow rate. A further increase in the proportion of GalenIQ 720 displays less important changes in the flow rate of its mixtures with metronidazole.
The flow rate results show a different effect of GalenIQ 720 on the metronidazole flowability as that shown by the Compressibility index, where the powder flowability increases continuously. If we consider that the materials have a similar flowability it would be reasonable to expect that their mixtures also have a similar flow, as it is observed. The exception is the first addition of GalenIQ 720 which increases the flow rate. This effect is attributed to a partial disruption of continuity of the cohesive bonds between particles of metronidazole.
As the flow rate stabilizes after additions of GalenIQ 720 proportions of 50% and higher, it was calculated the average of these flow rates to compare the flowability of the mixtures against that of metronidazole. Figure 10 depicts a higher flow rate of metronidazole/GalenIQ 720 mixtures compared to the flow rate of metronidazole alone. This higher flow rate is more noticeable with an increasing size of the orifice through which the powders flow.

Fig. 10: Effect of the orifice diameter on the flow rate of metronidazole and its mixtures with GalenIQ 720.

Fig. 11: Effect of the Helmcel 200 proportion on the compressibility index of its mixtures with metronidazole, expressed as the average obtained when using funnels with different size openings.
Figure 11 depicts the change in the compressibility index of metronidazole (currently CI = 12.1%) after addition of different proportions of Helmcel 200 (currently CI = 21.7%). It is observed a progressive increase in the compressibility index as the proportion of Helmcel 200 increases, which stands for a decrease of flowability. The material with the higher compressibility index and the lower flowability, Helmcel 200, decreases progressively the flowability of metronidazole.
This is an effect opposing to that observed for GalenIQ 720. GalenIQ 720 is an excipient that improves the flow properties of metronidazole. Helmcel 200 would be a dysfunctional excipient that reduces the flow properties of metronidazole.
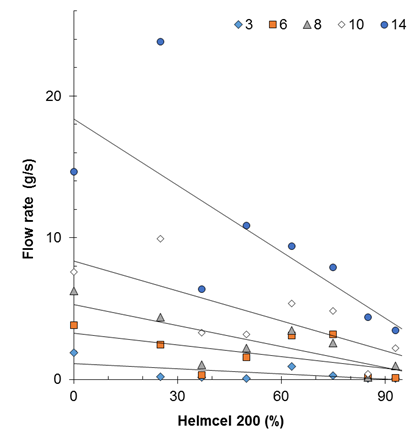
Figure 12 depicts the powder flow rates of mixtures of different proportions of metronidazole and Helmcel 200, when flowing through orifices with different size. It is observed that an increasing proportion of Helmcel 200 decreases the powder flow rate. This is consistent with the results observed by the compressibility index (Figure 10). The reduction in the powder flow rate is linearly related to the ratio of the components in the mixtures, the same way as the compressibility index does. This implies that one could infer the behavior of these mixtures from the behavior of the individual components.
Although the change in the flow rate of metronidazole, brought about by Helmcel 200, is dependent on the orifice through which the powder flows, in all cases the same trend is observed. The flow rate decreases as the proportion of Helmcel 200 in the mixture increases.
Table 1 summarizes the comparative functionality of GalenIQ and Helmcel 200 to improve the flowability of metronidazole. Considering the compressibility index, GalenIQ 720 reduces the compressibility index of metronidazole by a factor of about 0.057 pro unit percentage of the added excipient. It means a reduction of about 23% of its original value (12.1) after addition of 50% of the excipient. In contrast, Helmcel 200 increases the compressibility index of metronidazole by a factor of about 0.11 pro unit percentage of the added excipient, this means an increase of the compressibility index of about 47% of its original value. GalenIQ improves the flowability of metronidazole in 23% while Helmcel 200 worsens its flowability in 47%.

Fig. 12: Effect of the Helmcel 200 proportion on the powder flow rate of its mixtures with metronidazole, measured with funnels with different size openings (mm).
Table. 1: Calculated explicit functionality of GalenIQ 720 and Helmcel 200 on the flowability of metronidazole; expressed as compressibility index (CI) and powder flow rate.
| Material | CI (%) | CI (%) / excipient unit percentage | Change in CI (%) by 50% excipient |
| Metronidazole | 12.1 | ||
| GalenIQ 720 | 13.8 | ||
| Helmcel 200 | 21.7 | ||
| Metronidazole / GalenIQ 720 | -0.0568 | -2.84 (-23.5%) | |
| Metronidazole / Helmcel 200 | +0.115 | +5.74 (+47.4%) | |
| Flow Rate (g/s)
6 mm opening |
Flow Rate (g/s)
10 mm opening |
Flow Rate (g/s)
14 mm opening |
|
| Metronidazole | 4.27 | 8.33 | 12.93 |
| GalenIQ 720 | 3.38 | 6.81 | 10.23 |
| Metronidazole / GalenIQ 720 (50:50) | +12.6% | +18.7% | +23.3% |
| Helmcel 200 | 0.261 | 0.959 | 2.26 |
| Metronidazole / Helmcel 200 (50:50) | -57.6% | -57.9% | -58.1% |
Taking into account the flow rate, GalenIQ betters the flowability of metronidazole in about 23%, in a similar magnitude as that found using the compressibility index. However, this occurs only when the powder flows through a wide orifice (14 mm). The improvement of the powder flow becomes smaller as the orifice through which the powder flows decreases. The improvement becomes about a half with an orifice diameter of 6 mm. On the other hand, Helmcel 200 worsens the metronidazole flowability in about 58%, although not similar this value is comparable to the 47% observed by using the compressibility index. In this case, the proportionality of the effect on the flow rate do not change in an important manner as the orifice diameter changes.
Both methods consistently show a comparable improvement of metronidazole flowability with GalenIQ 720 and a deterioration of the same with Helmcel 200. However, the comparability of results depend on the orifice diameter. The use of wide orifices allows a direct comparison while narrower orifices introduce a deviation due to a more perceptible interaction of the flowing powders with the walls of the orifice.
The compressibility index is a specific measurement for each powders blend that allows the estimation of its overall flow properties. On the other hand, the flowability expressed as the flow rate displays varying results, depending of the orifice size through which the powders flow. Both methods exhibit comparable results only by wide orifice sizes where the interaction with de orifice walls is minimized.
The flow rate of metronidazole formulations containing 50% GalenIQ 720 ranges from 4.81 g/s to 15.94 g/s while those containing the same proportion of Helmcel 200 ranges from 1.81 g/s to 5.42 g/s. Formulations containing GalenIQ 720 display a relative flowability 2.7-2.9 times greater than those containing Helmcel 200 while the relative flowability of the pure excipients shows a flowability of GalenIQ 720 4.5-12.9 times greater than that of Helmcel 200. Although the flowability of GalenIQ 720 and its formulations is always higher than that of Helmcel 200, the presence of metronidazole attenuates the differences and its spread. The knowledge of the individual materials flowability allows the inference of their effect on the flowability of their mixtures but not the magnitude of this effect.
Something similar has been observed in studies carried out with mixtures of paracetamol with different types of celluloses. It was observed a trend in the direction of lesser flow rates of the celluloses (compressibility indexes of 15, 16 and 19) as the proportion of paracetamol (CI=25) increased up to 25 %. In this study, the flowability determined as flow rate only through a 3 mm orifice diameter was found to correlate with the compressibility index. It was considered that paracetamol reduces the flow rate of celluloses due to its morphology in plates and its lesser particle size. These particle characteristics giving to celluloses a higher cohesiveness, expressed as a higher compressibility index. This means that the powder with greater cohesiveness reduces the flowability of the powder with lower cohesiveness [32].
This same behavior has been also observed in blends of paracetamol and microcrystalline cellulose, using as flow parameter the values for the formation of a powder avalanche. The angle and energy of avalanche increased gradually as the ratio of paracetamol in the mixture increased from about 50° to 66° and from 40 kJ/kg to 120 kJ/kg respectively. This means that the powder flow properties improved with an increasing amount of microcrystalline cellulose or a decreasing amount of paracetamol [33].
ConclusionAlthough by definition the functionality of an excipient is bound to the product in which it will be used, from the viewpoint of excipient functionality is a technological property of the material. This property can be defined independently of the formulation in which it will be used. The compressibility index is a specific measurement for each powders blend that allows the assessment of its overall flow properties. On the other hand, the flowability, expressed as the flow rate, shows so many different results as orifices are being tested. Both methods exhibit comparable results only by wide orifice sizes where the interaction with de orifice walls is minimized. However, in some cases the results are comparable only qualitatively although quantitatively they can be quite different. The flow rate increases progressively, mostly in a potential relationship, with an increasing orifice diameter. The presented experimental data confirm that the addition of magnesium stearate improves the flowability of GalenIQ 720, attaining a maximum to decrease thereafter. However, in some cases the flowability attains the maximum and maintain it with increasing proportions of the lubricant. Magnesium stearate increases the flow rate of GalenIQ 720 by about 43 % while the compressibility index points to an increase of flowability greater than 100%. Both methods consistently show an improvement of flowability of metronidazole after addition of GalenIQ 720 and a deterioration of the same after addition of Helmcel 200. Formulations containing GalenIQ 720 show an about 2.8 times greater flowability than those containing Helmcel 200. Even if the flowability of pure GalenIQ 720 is about 8.7 times greater than that of pure Helmcel 200. The presence of metronidazole attenuates the differences in flowability of the excipients and its spread. The knowledge of the individual materials flowability allows the inference of their effect on the flowability of their mixtures but not the magnitude of this effect.
DECLARATION OF INTEREST
The authors declare no conflict of interest.
REFERENCES