1Department of Pharmaceutics and Pharmaceutical Chemistry, Unaizah College of Pharmacy, Qassim University, Kingdom of Saudi Arabia, 2Department of Pharmacology, Unaizah College of Pharmacy, Qassim University, Kingdom of Saudi Arabia.
Email: h.abdulaziz@qu.edu.sa
Received: 04 Jun 2014 Revised and Accepted: 02 Sep 2014
ABSTRACT
There has been considerable interest in the development of novel compounds with anticonvulsant, antidepressant, analgesic, anti-inflammatory, anti allergic, antipsychotic, antimicrobial, antimycobecterial, antitumour, antiviral and antitubercular activities. 1,3,4-thiadiazole constitute an important class of compound for new drug development. They have interesting pharmacophore that display a broad spectrum of biological activity. The 1,3,4-thiadiazole scaffold is an interesting building block that has been used to synthesize a variety of useful bioactive compounds. The stability of thiadiazole nucleus has inspired medicinal chemist to carry out various structural variation in the ring. The marketed drugs such as acetazolamide, methazolamide, globucid proved their therapeutic potential Therefore; many researchers have synthesized these compounds as target structures and evaluated their biological activities. These observations have been instrumental in the development of new 1,3,4-thiadiazole derivatives. This review highlights the various biological activities associated with 1,3,4-thiadiazole ring system.
Keywords: 1,3,4-Thiadiazole, Thiadiazole, Azole.
INTRODUCTION
Among heterocyclic compounds, 1,3,4-thiadiazole has become an important construction motif for the development of new drugs. Compounds containing 1,3,4-thiadiazole scaffold have a broad biological activity spectrum including antimicrobial, antituberculosis, anti-inflammatory, carbonic anhydrase inhibitors, anticonvulsants, antihypertensive, antioxidant, anticancer and antifungalproperties. The ability of 1,3,4-thiadiazole heterocyclic compounds to undergo various chemical reactions has made them important for molecule planning because of their privileged structure, which has enormous biological potential. Two examples of compounds containing the 1,3,4-thiadiazole unit currently used in clinical medicine are: acetazolamide and methazolamide as carbonic anhydrase inhibitors.
The synthesis of novel 1,3,4-thiadiazole derivatives, and investigation of their chemical properties and biological behavior has accelerated in the last two decades. In recent years, the number of scientific studies with these compounds has increased considerably.
Taking into account the importance of these compounds to both heterocyclic and medicinal chemistry, we have decided to present the broad spectrum of pharmacological activities reported in the literature.
1,3,4-thiadiazole moiety is a five membered heterocyclic nucleus bearing nitrogen and sulphur. There are several isomers of thiadiazole, including 1,2,3 Thiadiazole, 1,2,5 Thiadiazole, 1,2,4 Thiadiazole and 1,3,4 Thiadiazole.
1,3,4 Thiadiazole is the isomer of thiadiazole series. From the literature survey it was revealed that more studies have been carried out on the 1,3,4-thiadiazole moiety as compared to its other isomers combined.
The ending -azole designates a five membered ring system with two or more heteroatoms, one of which is Nitrogen. The numbering of monocyclic azole system begins with the heteroatom that is in the highest group in the periodic table and with the element of lowest atomic weight in that group. Hence the numbering of 1,3,4 Thiadiazole is done in following manner.
During recent years there has been intense investigation of different classes of compounds bearing five membered heterocyclic ring in their structure have an extensive spectra of biological activities. Therefore new derivative of triazoles, oxadiazoles and thiadiazoles have been synthesized and evaluated biologically. The present review, emphasizes on the biological activities exhibited by substituted 1,3,4-thiadiazoles. The review covers advances made in the last decade.
Biological activities associated with 1,3,4-thiadizole ring system
There are several reports in the literature discussing the 1,3,4-thiadiazole derivatives for their diverse biological activities and the most relevant and recent studies have revealed that 1,3,4-thiadiazole derivatives have a broad spectrum of pharmacological activities that can be classified into the following categories.
Analgesic and anti-inflammatory activity
Mathew et al.1 have synthesized several 3,6-disubstituted-1,2,4-triazolo[3,4-b]-1,3,4-thiadiazole and their dihydro analogues and evaluated them for anti-inflammatory and analgesic activity. Among the synthesized compounds, compound 1 showed good anti-inflammatory and analgesic activities.
Kucukguzel et. al.2 have synthesized a series of 2-substituted-1,3,4-thiadiazoles and evaluated them for antinociceptive activity and found 5-(2ʹ,4ʹ-difluoro-4-hydroxy biphenyl-5-yl) -4-(4-methoxy phenyl)-1,3,4-thiadiazole (2) to be the most potent compound in the series exhibiting similar antinociceptive activity with the standard drug .
Hilfiker et al.3 have carried out the investigation to identify new selective antagonists, for human EP3 and identified compound 3 having good antagonist activity for human EP3. In addition, compound 3 demonstrated excellent selectivity against other EP subtypes as well as the DP, FP, TP, and IP prostenoid receptors.
Further, while studying the structure activity relationship of this compound they found that Compound 4 was a potent antagonist against human EP3 receptors.
Non-steroidal anti-inflammatory drugs (NSAIDs) continue to be one of the more widely used groups of therapeutic agents, which inhibit cyclooxygenase-1 (COX-1), COX-2, and tromboxane synthase with a varying degree of selectivity. Researchers have recently focused on selective COX-2 inhibitors which are believed to reduce inflammation without influencing normal physiologic functions of COX-1.
Gadad et al.4 have synthesized a series of 2-trifluoromethyl/ sulfonamido-5,6-diarylsubstituted imidazo[2,1-b]-1,3,4-thiadiazole derivatives. They found that the compounds 5 and 6 have shown selective inhibitory activity toward COX-2 (80.6–49.4%) over COX-1 (30.6–8.6). These compounds also exhibited significant anti-inflammatory activity (70.09–42.32%), which is comparable to that of celecoxib in the carrageenan-induced rat paw edema method.
Kelekci et al.5 have synthesized some 1,3,4-thiadiazole derivatives. They found that the analgesic effects of compound 7 were higher than those of both morphine and aspirin.
Currently available non-steroidal anti-inflammatory drugs (NSAIDs) like ibuprofen, flurbiprofen, fenbufen and naproxen exhibit gastric toxicity. Literature survey revealed that modification of the carboxyl function of representative NSAIDs resulted in increased anti-inflammatory activity with reduced ulcerogenic effect[6,7]. Compounds bearing 1,2,4-triazole and 1,3,4-thiadiazole nuclei possess significant anti-inflammatory activity with reduced GI toxicity. In order to reduce the toxicity Amir et al.8 have replaced the carboxylic acid group of 2-(4-isobutylphenyl) propanoic acid and biphenyl-4-yloxy acetic acid by a composite system, which combines both the triazole and the thiadiazole nucleus in a ring to give a compact and planar structure. It was interesting to note that seven cyclized compounds 8a, 8b, 9a, 9b, 10a, 10b and 10c were found to have anti-inflammatory properties comparable to their standard reference drugs ibuprofen and flurbiprofen. When these compounds were subjected to analgesic activity by tail immersion method in mice, all compounds exhibited moderate to good activity. These compounds were also tested for ulcerogenic activity and lipid peroxidation, and showed superior GI safety profile along with reduction in lipid peroxidation as compared with ibuprofen and flurbiprofen.
Schenone et al.9 synthesized two series of N-[5-oxo-4-(arylsulfonyl)-4,5-dihydro-1,3,4-thiadiazol-2-yl]-amides (11) and tested in vivo for their analgesic and anti-inflammatory activities. All the new compounds possess good analgesic action in the acetic acid writhing test.
Amir et al.[10] synthesized 1,3,4-thiadiazole derivatives of diclofenac which showed anti-inflammatory activity from 79.04% to 82.85%. The maximum activity (82.85%) was shown by compound 12 having p-fluoro phenyl amino group at second position.
Antimicrobial and antifungal activity
Khazi et al.[11] synthesized novel methylene bridged benzisoxazolyl imidazo [2,1-b][1,3,4]-thiadiazoles. The investigation of antibacterial screening revealed that some of the tested compounds showed moderate to good bacterial inhibition. Particularly compounds 13a, 13b, 14a, 14b and 15a have shown very good antibacterial activity. Compound 15a has exhibited highest antibacterial activity.
The high activity is attributed to the presence of electron withdrawing chloro and bromo functional groups. Antifungal results indicated that compounds 13b, 13c and 15b have shown good activity. Compound 13b showed very good antifungal activity comparable to that of standard. Padmavathi et al.[12] found that 2-(arylmethanesulfonylmethyl)-5-aryl-1,3,4 thiadiazoles (16a–d) and 3-(arylmethanesulfonylmethyl)-5-aryl-4H-1,2,4-triazol-4-amines (17a–d) exhibited high activity on both Gram (+ve) and Gram (-ve) bacteria. In fact, compounds 16d and 17d showed pronounced activity towards Gram (+ve) bacteria.
Further it was found that compounds 2-(4-chlorobenzyl sulfonylmethyl)-5-(2-chlorophenyl)-1,3,4-thiadiazole (16d) and 3-(4-chlorobenzylsulfonylmethyl)-5-(2-chlorophenyl)-4H-1,2,4-triazol -4-amine (17d) displayed greater activity against spore germination of tested fungi A. niger, F. solani and C. lunata
Padmavathi et al.[13] also reported synthesis and biological screening of some novel sulfone-linked bis heterocycles. In which the compounds 18a showed excellent activity against Gram-positive bacteria (inhibitory zone >25 mm), good activity against Gram-negative bacteria (inhibitory zone >20 mm). The compounds (18a-c) have shown high inhibitory effect towards tested fungi.
Abdel-Wahab et al.[14] reported the synthesis of new 1,3,4-thiadiazole derivatives of 5-(benzofuran-2-yl)-1-phenylpyrazole moiety. All the synthesized compounds were screened against bacterial strains and among them compound 19 was found to possess significant activity against Escherichia coli and C. albicans. The tested compounds did not exhibit any activity against Gram-(+) strains.
Kadi et al.[15]synthesized of a new series of 5-(1-adamantyl)-1,3,4-thiadiazole derivatives and evaluated them for their antimicrobial activity which revealed that all the synthesized compounds, exhibited better activity than reference drugs (gentamicin and ampicillin) on E. coli and Pseudomonas aeuroginosa. SAR studies have shown that antibacterial activity was greatly diminished on introduction of the benzyl- or 4-substituted benzyl moieties and antifungal activity increased on substitution with adamantly moiety (20) on C-5 of thiadiazole nucleus.
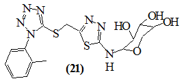
He et al.[16]reported the synthesis of a series of 5-(1-aryl-1H-tetrazol-5-ylsulfanylmethyl)-N-xylopyranosyl-1,3,4-thiadiazole-2-amine derivatives and investigated in vitro antibacterial activity against S. aureus. Among the synthesized compounds, only compound 21 was found to be the most active against tested strain and none of them showed activity against tested fungal strains.
Jazayeri et al.[17] synthesized and evaluated antibacterial activity of gatifloxacin derivatives incorporated with 5-(5-nitroheteroaryl)-1,3,4-thiadiazol-2-yl groups at C-7 position. The presence of nitrofuran (22) at C-2 of thiadiazole ring caused complete inhibition of DNA gyrase or DNA topoisomerase IV and exhibited more potent inhibitory activity against Gram-positive bacteria including S. epidermidis (MIC = 0.0078 μg/ml), B. subtilis (MIC = 0.0039 μg/ml), E. Faecalis (MIC = 0.125 μg/ml), nd M. luteus (MIC = 0.125 μg/ml).
Talath et al.[18] synthesized a series of 7-[4-(5-amino-1,3,4 thiadiazole-2-sulfonyl)]-1-piperazinyl fluoroquinolone derivatives 23a–23d and evaluated their antibacterial activity. All the synthesized compounds exhibited moderate to good activity against S. aureus, E. faecelis, Bacillus sp (MIC = 1–5 μg/ml) and showed poor activity against the Gram-negative bacteria. Substitution with methoxy group at C-8 and free -NH2 group of 7-(4-aminophenyl-sulfonyl) piperazinyl fluorquinolonine was found to be the active compound in this series against all the tested Gram-positive strains of bacteria.
Padmavathi et al.[19] synthesized a series of pyrazole containing 1,3,4-thiadiazoles derivatives and evaluated them for antimicrobial activity. Among the synthesized compounds 5′-[4-(4-chlorophenyl)-4,5-dihydro-1H-pyrazole-3-sulfonylmethyl]-[1′,3′,4′]thiadiazole-2′-thiol (24) showed moderate antibacterial activity against the Gram-positive bacteria
Chen et al.[20] synthesized a series of 5-(3,4,5-trimethoxyphenyl)-2-sulfonyl-1,3,4-thiadiazoles derivatives and evaluated their antifungal activity. Thiadiazole ring instead of oxadiazole did not show significant activity, substitution with 2-methylsulphonyl-3-methoxyphenyl (25) at C-5 of thiadiazole ring showed higher antifungal activities against G. zeae, B. cinerea, and S. sclerotiorum.
Demirbas et al.[21]synthesized a series of 4-amino-2-[(5-arylamino-4,5-dihydro-1,3,4-thiadiazol-2-yl)methyl]-5-(4-methylphenyl)-2,4-dihydro-3H-1,2,4-triazol-3-ones and investigated its antimicrobial activity. Thiadiazole (26) with 2-({5-[(4-methoxyphenyl) amino] group was found to possess most potent antibacterial activity, whereas N-alkylation at C-5 of thiadiazole ring did not resulted in improved antibacterial activity.
1,3,4-Thiadiazole and 2-azetidinones derivatives of 2-methyl-1H-benzimidazoles were tested for antibacterial, antifungal activity and some of the tested compounds had comparable activity against B. subtilis and E. coli with reference to ampicillin (25 μg/ml). Compounds (27) having o-chloro, o-methyl, p-methoxy, o-hydroxy, and p-amino group in phenyl ring showed good antibacterial activity. Antifungal activity data indicated that some of the derivatives revealed a broad spectrum of activity against tested fungi; however, none of the derivatives showed a better spectrum of activity when compared to the reference drug[22].

Maresca et al.[23]synthesized a series of (R)-/(S)-10-camphorsulfonyl-substituted aromatic/heterocyclic sulfonamides and evaluated the inhibition of several mammalian isoforms of the zinc enzyme carbonic anhydrase (CA, EC 4.2.1.1). Compounds having R- and S-10-camphorsulfonyl moiety represented more susceptibility toward to inhibition against mitochondrial isoform hCA VA. Generally the R-enantiomer (28) was more active than the corresponding S-isomer.
Nishimori et al.[24]investigated the inhibition of various sulfonamides and sulfamates on two β-carbonic anhydrases (CAs, EC 4.2.1.1) isolated from the bacterial pathogen Salmonella enterica serovar Typhimurium. Compound 3-Fluoro-5-chloro-4-aminobenzolamide (29) showed an inhibition constant of 51 nm against stCA 1 and of 38 nm against stCA 2, while acetazolamide inhibited stCA 1 and stCA2 with KI of 59 and 84 nm, respectively.
Antitubercular activity
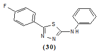
Rollas et al.[25,26] found that one of the thiadiazole derivative, namely 2-(4-chlorophenylamino)-5-(4-aminophenyl)-1,3,4-thiadiazole (30), showed 57% inhibition against Mycobacterium tuberculosis. Further, they found that compound 30 exhibited the highest inhibitory activity (69%inhibition) against in vitro growing Mycobacterium tuberculosis.
This compound while not active enough to be considered as therapeutics, are definitely lead compounds in the search for novel agents to combat resistance.
Foroumadi et al.[27] synthesized two series of 2- and 3-[5-(nitroaryl)-1,3,4-thiadiazol-2-yl-thio, sulfinyl and sulfonyl] propionic acid alkyl esters and screened for antituberculosis activity against Mycobacterium tuberculosis and found that the compound 31 that is propyl 3-[5-(5-nitrothiophen-2-yl) -1,3,4-thiadiazol-2-ylthio] propionate was the most active one.
Anticonvulsant activity
Stillings et al.[28] described the anticonvulsants properties of a number of substituted 2-hydrazino-1,3,4-thiadiazole. Further they found that, 2-(aminomethyl)-5-(2-biphenylyl)-1,3,4-thiadiazole (32) possess potent anticonvulsants properties in rat and mice and compared favorably with the standard anticonvulsants drug phenytoin, phenobarbital and carbamazepine in a number of test situations.
Dogan et al.[29]synthesized a number of compounds and found that compound 33a and 33b showed anticonvulsants activity. They also noticed that these two compounds may be considered promising for the development of new anticonvulsant agents.
Anticancer activity
Revelant et al.[30] synthesized a series of 5-aryl-2-(3-thienylamino)-1,3,4-thiadiazoles starting from thiophen-3-isothiocyanates. Those compounds as well as the thiosemicarbazide intermediates were screened for their antiproliferative activity against a panel of six cancer cell lines. Among them, two 5-aryl-2-(3-thienylamino)-1,3,4-thiadiazoles (34a and 34b) have shown very interesting results with IC50 < 10μM on three cell lines
Matysiak et al.[31] have synthesized a series of new 5-substituted 2-(2,4-dihydroxyphenyl)-1,3,4-thiadiazoles and evaluated for their antiproliferative activity against the cells of human cancer lines. He found that derivatives 35 and 36 of different structures prove to be the most active. They exhibited higher inhibitory activity against T47D cells (human breast cancer cells) than cisplatin.
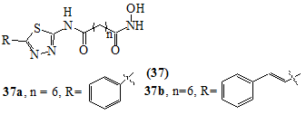
Histone deacetylase (HDAC) inhibitors are a new class of anticancer agents, targeting the biological processes including cell cycle, apoptosis and differentiation. Guan et al.[32] synthesized a series of 1,3,4-thiadiazole based hydroxamic acids derivatives which were found to be potent HDAC inhibitors. Some of them showed good inhibitory activity in HDAC enzyme assay and potent growth inhibition in some tumor cell lines. Among the synthesized compound 37 (IC50 = 0.089 lM), exhibited good inhibitory effect.
Kumar et al.[33] synthesized a series of 2-arylamino-5-aryl-1,3,4-thiadiazoles and screened them for their anticancer activity against various human cancer cell lines. The novel one-pot synthesis of 1,3,4-thiadiazoles was carried out by refluxing aryl aldehydes, hydrazine hydrate, and aryl isothiocyanates in methanol followed by oxidative cyclization with ferric ammonium sulfate. The compounds 38 having trimethoxyphenyl at the C-5 position exhibited potent anticancer activity with at least twofold selectivity (IC50:4.3–9.2 μM). The nature of substituent on the C-2 arylamino ring is important in determining the selectivity towards a particular cancer cell.
Luo et al.[34] synthesized a series of novel 1,3,4-thiadiazole-containing benzisoselenazolone derivatives by the condensation of 2-chloroselenobenzoyl chloride and 2-amino-5-substituted-1,3,4-thiadiazole and evaluated them for their in vitro antiproliferative activities in SSMC-7721, MCF-7 and A-549 cells. Among the synthesized compounds, the compound 39a showed significant antiproliferative activities in SSMC-7721, MCF-7 and A-549 cells, with IC50 values of 7.15, 3.44 and 3.24 μM, respectively. The compound 39b was found to be the most potent compound in A-549 cells, with IC50 values 2.48 μM. Similarly, the compound 39c also showed highly effective antiproliferative activities in MCF-7 and A-549 cells, with IC50 values of 3.92 and 3.12 μM, respectively.
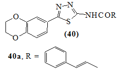
A series of 1,3,4-thiadiazole derivatives containing 1,4-benzodioxan have been synthesized to screen for FAK inhibitory activity[35]. Compound 40a has shown the most potent biological activity against HEPG2 cancer cell line (EC50 = 10.28 μg/ml for HEPG2 and EC50 = 10.79 μM for FAK), which was comparable to the positive control. Docking simulation was performed to position compound 40a into the FAK structure active site to determine the probable binding model. The results of antiproliferative and Western-blot assay demonstrated that compound 40a possessed good antiproliferative activity against HEPG2 cancer cell line. Therefore, compound 40a with potent FAK inhibitory activity may be a potential anticancer agent against HEPG2 cancer cell.
Yang et al.[36] synthesized a series of cinnamic acyl 1,3,4-thiadiazole amide derivatives and evaluated their tubulin polymerization inhibitory activity. Among the synthesized compounds, 41a was found to be the most potent, which inhibited the growth of MCF-7 and A549 cell lines with IC50 values of 0.28 and 0.52 μg/ml, respectively. Compound 41a also exhibited significant tubulin polymerization inhibitory activity (IC50 = 1.16 μg/ml). Docking simulation was performed to determine the probable binding model.
Antidepressant activity
Ahmed et al.[37] synthesized a number of new imine derivatives of 5-amino-1,3,4-thiadiazole-2-thiol, and their anti-depressant activity was tested using imipramine as reference drug. Two compounds namely 5-{[1-(4-chlorophenyl)-3-(4-methoxy-phenyl)prop-2-en-1-ylidene]-amino}- 5-benzylthio-1, 3,4 –thiadiazole (42a) and 5-{[1-(4-chlorophenyl)-3-(4-dimethyl-aminophenyl)-prop-2-en-1-ylidene] amino}-5-benzylthio-1,3,4-thiadiazole (42b) have shown significant anti-depressant activity, which decreased immobility time by 77.99% and 76.26% compared to the standard imipramine (82%). These compounds in the series have passed neurotoxicity tests also.
Anti-Helicobacter pylori activity
Foroumadi et al.[38] synthesized and evaluated in vitro anti-Helicobacter pylori activity of N-[5-(5-nitro-2-heteroaryl)-1,3,4-thiadiazol-2-yl]thiomorpholines and some related compounds. They found that nitrofuran analog (43) containing thiomorpholine-S,S-dioxide moiety was the most potent compound tested.
Shafiee et al.[39] synthesized a series of 5-(nitroaryl)-1,3,4-thiadiazoles bearing certain sulfur containing alkyl side chain similar to pendent residue in tinidazole molecule and evaluated against Helicobacter pylori. They found that compound 44a containing 2-[2-(ethylsulfonyl)ethylthio]-side chain from nitrothiophene series was the most potent compound tested against clinical isolates of H. pylori, however, nitroimidazoles 44b and 44c were found to be more promising compounds because of their respectable anti-H. pylori activity.

Mucomembranous protector
Mathew et al.[40] discoverd some novel imines of 2-amino, 5-thio, 1,3,4-thiadiazole as mucomembranous protector. A series of some novel imines of 2-amino, 5-thio 1,3,4-thiadiazole connected to benzimidazole chalcones were prepared. All the newly synthesized compounds were screened for their antiulcer activity in the pylorus-ligated rats. Free radical scavenging activity of all final derivatives was determined by DPPH Diphenyl picryl hydrazide) method. Compound 45 showed the best result.
Anti-leishmanial activity
Taghighi et al.[41] synthesized a novel series of 5-(5-nitrofuran-2-yl)-1,3,4-thiadiazol-2-amines by introducing N-[(1-benzyl-1H-1,2,3-triazol-4-yl)methyl] moiety as a new functionality on the C-2 amine of thiadiazole ring via click chemistry. The compounds were evaluated for their in vitro anti-leishmanial activity against promostigote form of the Leishmania major. 4-methylbenzyl analog 46 was found to be the most active compound against promostigotes which significantly decreases the number of intracellular amastigotes per macrophage, percentage of macrophage infectivity and infectivity index.
Carbonic anhydrase inhibitory activity
Xiao et al. [42] synthesized a new series of 1,3,4-thiadiazole-2-sulfamide (47) derivatives. Target compounds were assessed by the tool of Dock6. The compounds have been tested for their inhibitory effects on human carbonic anhydrase (hCA II). The results revealed that some derivatives were very effective inhibitors for hCA II. Some compounds have been investigated for their antihypoxic effects, the survival time of mice administered with synthesized derivatives was much longer than that of acetazolamide. In addition, the binding mode of the tested compounds inside the hCA II active site was predicted using a docking technique initially. Among the synthesized compounds 47a, 47b and 47c have shown potent activity.
Cecchi et al.[43] synthesized a library of sulfonamides by using benzolamide as lead compound. The new derivatives were investigated as inhibitors of the cytosolic isozymes human carbonic anhydrase (hCA I and II), as well as the tumor-associated isozyme hCA IX. New compounds exhibited excellent inhibitory activities against all three isozymes ranging from 0.6–62 nm against hCA I, 0.5–1.7 nm against hCA II and 3.2–23 nm against hCA IX, respectively. Among the synthesized compounds, 48 showed maximum activity against the tested isoenzymes. The sulfanilamides acylated at the 4-amino group with short aliphatic/aromatic moieties incorporating 2–6 carbon atoms have shown modest hCA XIV inhibitory activity.
Ozensoy et al.[44] reported carbonic anhydrase inhibitory activity of aromatic and heterocyclic sulphonamides. They attached diverse tails on amino group to alter physicochemical properties of the molecule. Compounds 49 and 50 substituted with bromo and nitro group at 4th position of phenyl ring demonstrated 3.15–4.10 folds more activity than the lead compound acetazolamide.
Turkmen et al.[45] synthesized a series of sulfanilamide derivatives by incorporating heterocyclic amines like morpholine, piperidines, and piperazines using tail approach. Newly synthesized compounds were evaluated for carbonic anhydrase inhibitory activity. Derivative 51 exhibited much better inhibition of carbonic anhydrase isoenzymes namely hCA I, hCA II and hCA IX than the parent compounds. Among sulfanilamide derivatives, the derivatives containing morpholine ring revealed best inhibitory activity
Diacylglycerol acyltransferase type 1 (DGAT-1) inhibitory activity
Triacylglycerides (TG) are the principal form of energy storage in eukaryotes. An imbalance in the metabolism of triacylglycerides can participate in the pathogenesis of several metabolic disorders such as obesity, insulin resistance and type 2 diabetes. DGAT-1, diacylglycerol acyltransferase type 1 catalyses the last step of triacylglyceride biosynthesis, transforming diacylglycerol and acyl-CoA into triacylglycerides. Mougenot et al. [45] synthesized new DGAT-1 inhibitors by combining ligand-based modeling from known DGAT-1 inhibitors, high throughput parallel synthesis (HTPS) and rescaffolding chemistry to generate leads. Three lead series were found with IC50s below 100 nM in a DGAT-1 enzymatic assay. The most potent inhibitors belonged to a 2-aminothiadiazole series represented by compound 52 which displayed an IC50 of 0.03 μM in the enzymatic assay. To understand loss of activity, compound 52 and 53 was compared by using ligand-based 3D alignment model and was found that the thiadiazole in 53 is geometrically distorted compared to 52. This observation led to modification of the linker between the thiadiazole and the phenylcyclohexyl group. Amide group was preferred as linker. This choice was supported by the ligand-based alignment for compounds 52 and 54 (with CO inserted) which showed that the amide linker retains a high shape similarity and provides excellent matching of the thiadiazoles. The use of the amide linker restored DGAT-1 inhibition with compound 54 displaying good enzymatic activity (IC50 = 0.036 μM).
CONFLICT OF INTERESTS
Declared None
REFERENCES