1Department of Biotechnology M. S. Ramaiah Institute of Technology, MSRIT Post, Bengaluru- 560054, India, 2Department of Pharmaceutics M. S. Ramaiah College of Pharmacy, MSRIT Post, Bengaluru 560054, India, 3Division of Research and Patents Central Research Laboratory, M. S. Ramaiah Medical College and Teaching Hospital, MSRIT Post, Bengaluru 560054, India.
Email: bvbasu@rediffmail.com
Received: 23 Sep 2014 Revised and Accepted: 25 Oct 2014
ABSTRACT
Objective: The aim of the study was to develop sustained release nanocapsules of catechin rich extract (CRE) using Eudragit L 100 as a polymer by emulsion solvent evaporation technique with a major focus on enhancing its bioavailability.
Methods: CRE and the polymer were subjected for physical compatibility studies using Fourier transform infrared spectroscopy (FT-IR). Nanoparticles were evaluated for percentage yield, drug (catechin) entrapment efficiency and further characterized by scanning electron microscopy (SEM),X-Ray diffraction (XRD) and differential scanning calorimetric (DSC) studies. The in vitro release study was carried out for 12 hours at pH 6.8 and pH 7.4 and the results obtained were fit to kinetic models. Concentration of residual methanol was determined by Gas chromatography (GC).
Results: All prepared particles were spherical, non-porous and were in nano-meter range (50-160 nm). The XRD and DSC results suggest that CRE existed in amorphous state in the nanoformulations. The results of in vitro release study for nanocapsules showed the highest drug release of 97.27 % at pH 6.8 (NF1 nanoformulation-1) and low of 67.60 % was observed for (NF3 nanoformulation-2)atpH 7.4. The in vitro release data of nanoformulations showed the highest correlation for Higuchi matrix and Korsmeyer-Peppas, which indicated that drug release occurred via fickian diffusion mechanism. Concentration of methanol, which was used as solvent for the formulation of nanoparticles, was well within the permitted levels, suggesting the safety for oral application.
Conclusion: Based on the results, it may be worth to consider further studies on catechinnanoformulations for pilot studies, in vivo studies for clinical application.
Keywords: Catechin, Flavanoid, Bioavailability, Eudragit L 100, Sustained release.
INTRODUCTION
Catechin is a plant secondary metabolite which belongs to a group of flavanoids that has diverse health benefits in humans. They are polyphenolic compounds having three hydrocarbon rings consisting of six hydroxyl groups at different positions and the position of hydroxyl groups is important for their antioxidant activities other biological activities [1,2]. The potential sources of catechin include apples, oranges, pears, black grapes, blackberries, cherries, raspberries, red wine and dark chocolate. Acacia catechu is one of the richest sources of kitchen and widely used for commercial purpose.
Flavanoids have demonstrated multitude therapeutic effects due to their ability to interact with various biochemical activities. Some of the examples include, inhibiting enzymatic pathways and enzymes such as aldose reductase, cyclooxygenase, xanthine oxidase, lipooxygenase and phosphodiesterase [3]. Catechin has gained an immense interest for researchers has, it is known to have anti-proliferative, antimicrobial, anti-inflammation, and antioxidant properties, it is also shown to improve blood flow and has potential benefits in cardiac health [1,4-6].
Chemoprevention using natural plant based products or plant secondary metabolites are essentially important to reduce the cost of cancer therapy and mitigate the side effects of conventional cancer therapies. In order to understand the phenomenon of pharmacokinetics in human it is essential to know and analyze the pharmacokinetic profiles. Bioavailability of the drug is an important criterion for assessing the pharmacokinetics in vitro and efficacy of any drug/ compound. Catechin are known to regulate the cell signalling mechanisms due to their antioxidant activity and their capacity to interact with cell signalling proteins and membrane proteins, which in turn depend on bioavailability [7]. The absorption studies conducted on rats suggested that high quantity of oral dosage of catechin is required to achieve optimum serum concentration, which accounts to 100 folds more than intravenous dosage. Besides higher dosage, slow rate of absorption and rapid elimination from systemic circulation was also observed [8]. There are very few clinical studies, the very reason being its very low bioavailability which might be due to rapid elimination from liver by biliary excretion when administered in vivo [9,10]. Low bioavailability of catechins was found to be prominent in most of the in vivo research works, but the reason for this is still not clear and based on the existing literature, there are minimum efforts to address this issue.
Hence, the existing problem of low bioavailability, slow absorption and high first pass effect necessitates the need to develop strategies that minimize the dosage of catechin to achieve maximum therapeutic activity which is a result of high absorption and higher bioavailability. It is thus essential to make the molecule reach target cells effectively and make it stay in the cells for sufficient time to execute therapeutic activity.
Several plant based bioactive compounds are formulated into different dosage forms to overcome these drawbacks. Some of the strategies include physical and chemical modification of the materials. Most of the recent studies employ nanotechnology approaches to improve the solubility, bioavailability and bio efficacy as it allows the use of biodegradable, non-toxic nanoparticles having higher surface to volume ratio to attach or encapsulate natural plant products [11]. In this perspective, in the current study an attempt was made to use nanotechnology as a tool to achieve better delivery of catechin for effective management of pharmacokinetics problems. We hypothesize that nano formulation of catechin using a biodegradable, non-toxic polymer Eudragit L 100 may offer better bioavailability and bio-efficiency.
MATERIALS AND METHODS
CRE was a gift sample from Green Chem Herbal Pvt. Ltd., Bangalore, India. Sodium Lauryl Sulfate was procured from Hi Media, India. Eudragit L 100, Sodium Hydroxide and Potassium Dihydrogen Phosphate were procured from Yarrow Chem Products, India. All other chemicals and solvents used for the experiment were of analytical/HPLC grade obtained from Merck, Mumbai, India. In the current manuscript, word drug refers to catechin.
Drug - polymer compatibility studies
Fourier Transform Infrared (FT-IR) (FT-IR - 8400 S, spectrophotometer Shimadzu, Japan) spectroscopy analysis was used to obtain information on the change of chemical structure of catechin (majorly present in CRE), polymer and the physical mixture of CRE and polymer in the ratio 1:1. The sample powder was dispersed in KBr powder and this mixture was pressed into a pellet for scanning in the infrared range of 400-4000 cm−1 [12].
Development of nano formulation
Nanoformulations were developed by emulsion solvent evaporation technique with some modifications [13]. CRE and the polymer Eudragit L-100 were finely triturated manually using a pestle and mortar to reduce the size to nano-size. CRE and the polymer in the ratios of 1:1, 1:2 and 1:3 were dissolved separately in 15 ml of methanol. These solutions were sonicated for 30 min using an Ultrasonicator (PCI, Mumbai, India), following which were filtered separately using a whattman’s filter paper no 44 and mixed thoroughly using an electric stirrer (REMI Instruments, India) at 3000 rpm for 20 min. 5 mg of SLS was added to the solution. After the addition of SLS, 10 mg/ml aqueous solutions of lactose monohydrate were added and continuously stirred. The obtained solution was dried in hot air oven (Tempo Instruments, Mumbai, India) maintained at 40 °C ± 5 °C for 8 hours.
Determination of surface morphology and particle size by scanning electron microscopy
Surface morphology and particle size measurement of the nanoparticles was determined by Scanning Electron Microscopy (SEM) (Zeiss Ultra 55, Germany). In the analysis, the samples were firstly attached to a small piece of electro-conductive silicon chip, then gold sputtered using a vacuum gold sputter coater [14].
X-ray diffraction studies
The physical nature of the samples was determined by X-Ray Diffractor (XRD) (Rigaku Smart Lab, Japan). The Cu KL radiation was generated at 20 am and 40 kW with the power of 1.2 kW. Diffraction patterns recorded the X-ray intensity as a function of 2θ angles covering from 0° to 60.0°. The scanning rate was 10 °/min. The samples characterized by XRD were CRE, Eudragit L 100 (polymer), a physical mixture of CRE and Eudragit L 100, NF1, NF2 and NF3 capsules [15].
Differential scanning calorimetry studies
Differential Scanning Calorimetry (DSC) study (DSC, Mettler7, Japan) was used to investigate the thermal behaviors of CRE, Eudragit L 100, physical mixture of CRE and Eudragit L 100, NF1, NF2 and NF3 capsules. 5 mg samples were placed in aluminum pans and sealed. The probes were heated from 30 °C to 300 °C at a rate of 10 °C/min under nitrogen atmosphere [16].
Evaluation of standardized nanocapsules
Parameters such as percentage yield, drug entrapment efficiency, in vitro drug release and residual methanol content were evaluated for all standardized nanoformulations. The drug entrapment efficiency was determined at pH 6.8 using phosphate buffer by using the formula mentioned below.
Drug content (mg) = concentration x dilution factor
% Drug content = X 100
In vitro dissolution studies
In vitro dissolution of nanocapsules was carried out for 12 hours at pH 6.8 and pH 7.4 using phosphate buffers of 900 ml volume in Dissolution apparatus (USP XXIII (paddle), Lab India, DS 8000, Mumbai, India) at 50 rpm maintained at 37 ºC ± 0.5 ºC. 3 ml of the solution was withdrawn from the dissolution apparatus at regular predetermined time intervals and each time fresh media was replaced in same amount to maintain sink condition. Sample absorbance was measured at 276 nm by using UV/Visible Spectrophotometer (UV-1600, Shimadzu, Japan). Percentage drug release was calculated using the equation obtained from a standard curve [17].
Drug release kinetics and mechanism of drug release
The mechanism of drug release was determined by fitting in vitro drug release data to Zero order kinetics, First order kinetics, Higuchi model, Hixon-Crowell model and Korsmeyer-Peppas and finding the R2 values of the drug release profile corresponding to each model [18].
Residual methanol content analysis
Residual solvents present in traces in the standardized nanoformulations were determined by Gas Chromatography (GC) as per ICH Harmonized Tripartite Guidelines on Impurities; Guidelines for Residual Solvents Q3C (R4). Presence of volatile residual methanol (Class 2) in all standardized nanocapsules was analyzed using GC (GC-2014, Shimadzu, Japan). To analyze residual methanol content, methanol (1000 ppm) was taken as a standard and residual methanol in nanoformulations were calculated by measuring the area of the peak and comparing and calculating residual methanol in all nanoformulations using GC chromatogram of methanol as a standard. 1 µL of the sample was injected in split mode (split ratio of 10) and heated upto150 °C at the total flow rate of 43.8 mL/min, 6.1 kPa pressure and linear velocity of 33.1 cm/Sec under nitrogen atmosphere. The column used to be BP624.
Stability studies
In this study, accelerated stability studies were carried out at 40 °C/ 75 % RH for the standardized nanocapsules for a period of 6 months according to standard ICH guidelines (1993) [19]. The nanocapsules were packed in aluminum foil and then sealed with self-sealed cover. At specified intervals of time (every 2 months), the samples were withdrawn and evaluated for their physical (color and shape) and chemical parameters (drug content and in vitro drug release).
Statistical analysis
All values were obtained by three independent biological replicates (n=3). The results are represented as mean ± SD. Statistical analysis of in vitro drug release was performed by ‘t’ test to compare the different groups.
RESULTS
Drug -polymer compatibility studies
Drug- polymer compatibility study was carried out using FT-IR. Figure 1 represents the FT-IR spectra of CRE (pure drug extract), Eudragit L 100 (pure polymer) and physical mixtures of CRE and Eudragit L 100, respectively. From the IR spectrum of physical mixture of CRE and Eudragit L 100 there was no disappearance of the major peaks present in catechin. Major characteristic IR peaks of catechin, Eudragit L 100 and their combinations (physical mixture) are shown in Table 1.
Development of nanoformulation
Nanoformulations of CRE were developed by emulsion solvent evaporation technique using Eudragit L 100 as an enteric polymer for encapsulation of CRE. CRE and polymer in the ratios of 1:1, 1:2 and 1:3 were prepared and evaluated as NF1, NF2 and NF3, respectively throughout the study.
Determination of surface morphology and particle size by scanning electron microscopy
The surface morphology of CRE nanoformulation recorded from SEM was spherical and non-porous (see Fig. 2a) and the particle size ranged between 50 nm – 160 nm (Figure 2). The images show that the particles fall in the category of nano-products and using these particles further formulations may be developed for pharmacological benefits.

Fig. 1: FT-IR spectra for analysis of drug and polymer compatibility. IR spectra of (a) CRE, (b) Eudragit L 100 and (c) physical mixture of CRE and Eudragit L 100 obtained by a KBr pellet method. Here, drug refers to catechin (present in CRE) and polymer refers to Eudragit L 100.

Fig. 2: SEM image of CRE nanoformulation obtained by drop coating method. SEM image showing surface morphology and particle size. Here the inserted picture is a SEM image of an enlarged nanoparticle
X-ray Diffraction Studies
The XRD studies were carried out to determine the physical nature of the nanoformulations. The XRD patterns were recorded covering 2θ angle from 0° to 60.0°. XRD pattern of CRE was found to be highly crystalline whereas, XRD patterns of Eudragit L 100 and allnanoformulations showed non-crystalline peaks. XRD pattern of CRE, Eudragit L 100, physical mixture of CRE and Eudragit L 100, NF1, NF2 and NF3 capsulesis shown in Figure 3.

Fig. 3: XRD pattern of (a) CRE, (b) Eudragit L 100, (c) physical mixture of CRE and Eudragit L 100, (d) NF1 capsule, (e) NF2 capsule and (f) NF3 capsule obtained by X-ray intensity covering 2θ angle from 0° to 60.0°
Differential scanning calorimetry studies
The DSC study was carried out determine both physico-chemical compatibility between extract and polymer and the physical nature of the nanoformulations. The raw CRE showed sharp endothermic peaks at 112.92 ºC and 108.48 ºC and Eudragit L 100 showed a broad endothermic peak at 229.04 ºC. Both the peaks observed for raw CRE and Eudragit L 100 were present in the DSC thermogram of physical mixture. DSC thermogram of NF1 nanocapsuleshowed a presence of an endothermic peak corresponding to melting point of CRE whereas, peak corresponding to CRE was absent in NF2 and NF3 nanocapsules. DSC thermogram of CRE, Eudragit L 100, physical mixture of CRE and Eudragit L 100, NF1, NF2 and NF3 capsules is shown in Figure 4.

Fig. 4: DSC thermogram of (a) CRE, (b) Eudragit L 100, (c) physical mixture of CRE and Eudragit L 100, (d) NF1 capsule, (e) NF2 capsule and (f) NF3 capsule obtained by heating the samples from 30 °C to 300 °C at a rate of 10 °C/min under nitrogen atmosphere
Evaluation of standardized nanocapsules
Parameters such as percentage yield, drug entrapment efficiency and in vitro drug release were evaluated. The percentage yield of NF1, NF2 and NF3 was found to be 78 ± 0.58 %, 81.61 ± 1.24 % and 85.12 ± 0.67 %, respectively. Drug entrapment efficiency of NF1, NF2 and NF3 capsules was found to be 30.03 ± 1.12 mg, 24.53 ± 0.98 mg and 16.67 ± 1.56 mg, respectively. The in vitro drug release of NF1, NF2 and NF3 at pH 6.8 using phosphate buffer at the end of 12 hours was found to be 97.27 ± 0.74 %, 81.16 ± 0.74 % and 67.95 ± 0.37 %,respectively, andat pH 7.4,it was found to be 93.97 ± 0.52 %, 68.09 ± 0.74 % and 65.14 ± 0.44 %, respectively. Residual methanol content as determined by the analytical residual solvent method for NF1, NF2 and NF3 nanocapsules was found to be 10.4± 0.22, 11.4 ± 0.43 and 10.6± 0.13p. m., respectively (Table 2). The permitted limit for methanol is 50 ppm and the detected limit for nanocapsules was well within the permitted limit.

In vitro dissolution studies
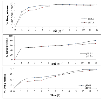
Fig. 5: In vitro dissolution studies of nanocapsules carried out at pH 6.8 and pH 7.4 using phosphate buffers by USP II dissolution apparatus for 12 hours by withdrawing 3 ml of the sample every hour. In vitro drug release graph of (a) NF1 capsule, (b) NF2 capsule and (c) NF3 capsule (mean ± S. D., n=3)
The in vitro dissolution study was carried out for all standardized nanocapsules at both pH 6.8 and pH 7.4 using phosphate buffers. The percentage drug release at pH 6.8 at the end of 12 hours for NF1, NF2 and NF3 nanocapsules were found to be 97.27 ± 0.74%, 81.16 ± 0.74 % and 67.95 ± 0.37 %, respectively. Similarly, at pH 7.4 it was found to be 93.97 ± 0.52 %, 68.09 ± 0.74 % and 65.14 ± 0.44 %, respectively(Table 2). The in vitro drug release is depicted in the graphical format for NF1, NF2 and NF3 nanocapsulesat pH 6.8 and pH 7.4 using phosphate buffers in Figure 5.
Drug release kinetics and mechanism of drug release
The mechanism of drug release was determined by fitting in vitro drug release data to various kinetic models such as Zero order, First order, Higuchi, Hixon-Crowell and Korsmeyer–Peppas and finding the R2 values of the drug release profile corresponding to each model. The drug release kinetics were determinedat both pH 6.8 and pH 7.4 (Table 3 and 4). The best fit model and the mechanism of drug release (based on n value) corresponding to particular nanoformulation and in particular buffer is given in Table 5.
Residual methanol content analysis
Content of Methanol (used in the nanoformulation) in the final nanocapsule was estimated using GC chromatogram by employing the method explained in materials and methods section. The GC chromatogram of methanol (used as standard), NF1, NF2 and NF3 nanocapsulesis shown in Figure 6. Among there nanoformulation the content of methanol was 10.4 ppm for NF1, 11.4 ppm for NF2 and 10.6 ppm in case of NF3 nanocapsules.

Fig. 6: GC chromatogram of standardized nanocapsules
The residual methanol content in the nanocapsules was determined by the residual solvent analysis method considering methanol as a standard. The area of the peak was measured to calculate the methanol content (in ppm). Above chromatograms are representative of each sample analysis and standard. The permitted limit for methanol is 50 ppm as per ICH guidelines for residual solvents and the detected limit in nanocapsules is mentioned in Table 2. (Mean ± S. D., n=3)
Stability studies
Accelerated stability studies were carried out for all standardized nanocapsules for a period of 6 months and the parameters evaluated were physical appearance, drug entrapment efficiency and in vitro drug release at pH 6.8. There was no appreciable change in the physical characteristics, whereas, drug entrapment efficiency was decreased by 1 % and in vitro drug release of the nanocapsuleswas reduced by 1-3 % after 6 months. The stability study data is given in Table 6.
DISCUSSION
The objective of this study was to develop a pharmacologically efficient nanoformulation of CRE. This was done by usinga pH-sensitive polymer Eudragit L 100 by emulsion solvent evaporation technique. Further, various parameters such as percentage yield and drug entrapment efficiency of CRE nanoparticles were evaluated. Eudragit L 100 is an anionic copolymer based on methacrylic acid and methyl methacrylate (1:1 ratio). It is insoluble in acids and pure water, whereas soluble in aqueous solution at pH 6 or higher. During nanoformulation it encapsulates the drug completely and it is expected to protect the drug from degradation in the acidic pH and allow it to be released in the region of alkaline environment. Moreover, the developed nanoformulations were characterized by FT-IR spectroscopy, SEM, XRD and DSC. In vitro drug release of the nanocapsules was performed at pH 6.8 and pH 7.4 using phosphate buffers. Also the safety of the prepared oral dosage form was analyzed by GC. Accelerated stability studies were performed to determine the stability of nanocapsules.
The IR spectra of physical CRE-polymer blend as seen in Figure 1showed neither significant shift nor IR peaks disappearance of characteristic peaks of catechinwhen compared with IR spectrum of pure sample (CRE) suggesting that there was no physical interaction between CRE and polymer (Table 1). Hence CRE was stable without undergoing any physical changes up on it to converting it to nanoformulation.
Nanoformulations were developed by a simple and cost effective method i. e., An emulsion solvent evaporation technique using an enteric and biodegradable polymer Eudragit L 100. Eudragit L 100 was chosen as a polymer to obtain a sustained release of the drug and to target the nanoformulation to the colon as the polymer has a characteristic to get solubilized in alkaline pH and has an advantage of sustained release profile. Other ingredient SLS was used as a detergent in small quantity to improve dissolution rate and lactose was used as a diluent.
The nanoformulations showed monodispersed and uniformly distributed nanoparticles as determined by SEM (Figure 2). When we tried to look for the surface morphology of the nanoparticles we found that the nanoparticles were spherical in shape. Based on the particle size measurement,nanoformulations had particle size in the range of 50 nm –160 nm as determined by SEM (Figure 2).
The XRD analysis was performed to investigate the crystalline structure change of nanoparticles after nanoformulation. The XRD patterns of CRE (pure drug extract), Eudragit L 100 (polymer), a physical mixture of CRE and Eudragit L 100, NF1, NF2 and NF3 capsules were shown in Figure 3. It could be seen that the pattern of the physical mixture was simply a superimposition of the patterns of the two raw materials, while the pattern of nanoformulation samples was significantly different from that of the physical mixture, i. e., All the nanoformulations (NF1 capsule, NF2 capsule and NF3 capsule) showed amorphous state which is very similar to the amorphous nature of the pure polymeric XRD pattern indicating that the CRE was completely encapsulated within the Eudragit L 100 polymeric matrix (Figure 3). Since the amorphous nature increases bioavailability of the drug, the nanoformulation process using Eudragit L 100 can increase the bioavailability to a great extent. Hu et al. (2012) observed the reduction in crystallinity in the XRD pattern of the treated 5-aminosalicyclic acid with Eudragit S 100 nanoparticles as a result of solution enhanced dispersion by supercritical fluids (SEDS) processing [14].
The DSC technique is one of the most convenient methods for investigating the compatibility of polymer blends; therefore it was used to investigate thermodynamic compatibility between CRE and Eudragit L 100 based on melting temperature. Fig.4depicted the DSC thermograms of CRE, Eudragit L 100, physical mixture of CRE and Eudragit L 100, NF1 capsule, NF2 capsule and NF3 capsule.
The raw CRE showed a sharp endothermic peak at 112.92 ºC and 108.48 ºC that corresponded to its melting point, indicating its crystalline nature. Since the sample is a catechin rich extract, which contains other minor plant ingredients apart from catechin(major phenolic compound),the DSC thermogramshows more than one endothermic peak and decrease in melting point. In the Eudragit L 100, an endothermic peak located at 229.04 ºC was observed, which corresponds to melting point of the polymer. A physical mixture of CRE with polymer resulted in the disappearance of such a fusion peak, replaced by broad endothermic signals exhibiting peaks at 105.85 ºC and 223.35 ºC for CRE and polymer, respectively (Figure 4). The presence of endothermic signals in the physical mixture confirmed that CRE crystals still exist in physical mixture [20].
However, for nanocapsules, intensity of melting peak of catechin disappeared completely except NF1. The disappearance of the drug endothermic peak in the nanoformulationNF2 and NF3 suggested that the CRE might be embedded into Eudragit L 100 and existed in an amorphous state in the nanoparticles, indicating a thermodynamic compatibility between CRE and Eudragit L 100. This kind of disappearance of sharp endothermic peak for the drug was observed in 5- aminosalicyclicacid loaded Eudragit S 100 nanoparticles which were also amorphous in nature [14].
Parameters such as percentage yield, drug entrapment efficiency, in vitro drug release and residual methanol content were evaluated for all standardized nanocapsulesand are given in Table 2. Percentage yield is directly proportional to polymer ratio, whereas, drug entrapment efficiency and in vitro drug release is inversely proportional to polymer concentration. As the polymer concentration increased the drug entrapment efficiency and in vitro drug release decreased due to lower concentration of CRE in nanoformulation. The content of methanol in the standardized nanoformulationswas found to be within the limits as permitted in the ICH guidelines for impurities ‘Q3C’ for residual solvents. The residual methanol content in NF1, NF2 and NF3 nanocapsules was found to be 10.4, 11.4 and 10.6 ppm, respectively (Table 2). Since, all nanocapsules had residual methanol below 50 ppm (toxicity level), they are considered to be safe and less toxic (with respect to residual organic content) for the oral route drug delivery. The representative GC chromatogram for methanol used as standard and all nanocapsules are as shown in Figure 6.
In vitro dissolution studies were carried out for standardized nanocapsules at pH 6.8 and pH 7.4 using phosphate buffers for 12 hours. From Figure 5a, 5b and 5c, it was observed that NF1 had the highest percentage drug release followed by NF2 and NF3 nanocapsules showing percentage drug release of 97.27 %, 81.18 % and 67.92 %, respectively. This indicates that an increasing the polymer concentration the drug release was found to be decreased due to the increase in the thickness of the outer surface coated by Eudragit L 100. The increased drug release was recorded for NF1 capsule due to low particle size with the greater surface area and thinner outer polymer coating. This in vitro percentage drug release was found to be inversely proportional to the polymer concentration at both pH 6.8 and pH 7.4.
NF1 showed a low quality of sustained release pattern at both pH 6.8 and pH 7.4 medium (Figure 5a). This might be due to poor or thinner layer of polymer coating which fails to release the drug in the sustained manner. The poor and thinner polymer coating leads to greater chances for drug leakage from the polymeric matrix. Whereas, with an increase in the thickness of the polymeric coating, the time taken for dissolution or drug release increases (Figure 5b and 5c). In this process, initially each layer of the polymeric matrix is dissolved one by one followed by the release of the drug in the substantial manner, thus increasing the time taken for the complete release of the drug.
NF1 capsule at pH 6.8 and pH 7.4 showed an initial ‘burst effect’ with the maximum drug release of 63 % and 83.62 % in the first hour respectively and later sustained release of the drug till 12 hours. Similarly, NF2 capsule showed a rapid drug release in the initial hours with the maximum drug release of 49 % and 50.16 % in the first hour at pH 6.8 and pH 7.4, respectively. NF3 capsule showed an initial burst effect in the first hour with the maximum drug release of 25.34 % and 21.72 % at pH 6.8 and pH 7.4, respectively and later sustained release of the drug till 12 hours. The initial ‘burst’ effect shown by nanocapsules was because of nanoformulations having an increased surface to volume ratio, which got dispersed in 900 ml of buffer. The increase in surface area of nanoparticles increased the dissolution rate significantly, leading to rapid drug release in the initial hours.
Also, pH 6.8 medium showed the higher percentage drug release compared to pH 7.4 medium for all nanocapsules due to higher solubility and dissolution rate of Eudragit L 100 at pH 6.8 phosphate buffer (Figure 5a, 5b and 5c).
In order to establish the mechanism of drug release at pH 6.8 and pH 7.4, the experimental data were fitted to Zero-order, Higuchi Matrix, Korsmeyer–Peppas,First-order and Hixon–Crowell models (Table 3 and 4). It was observed that the highest correlation was found forKorsmeyer- Peppas equation and Higuchi matrix which indicated that the drug release occurred via a diffusion mechanism for all nanocapsules except NF3 (at pH 7.4) which showed first order has its best fit kinetic model. This model is applicable to study the release profiles of pharmaceutical dosage forms such as those containing water-soluble drugs in porous matrices. Here catechin (present in CRE) is a water soluble compound used in our study and Eudragit L 100 is considered as a porous matrix coating the catechinmolecules. All the nanocapsules except NF3 (at pH 7.4) showed the ‘n’ value below0.5, signifying the fickiandiffusion release mechanism (Table 5). Whereas, non-fiction diffusion occurred mainly by the combination of diffusion and swelling behavior of the nanoformulation.
Accelerated stability studies were performed for all final standardized nanocapsules (NF1, NF2 and NF3) as per standard ICH guidelines. At an interval of 2,4 and 6 months the samples were evaluated for physical appearance, drug content and in vitro drug release tests were conducted. There was no appreciable change in the physical appearance and especially drug entrapment efficiency,which was found to have only 1 % loss in drug content even after 6 months (Table 6). Bharathi et al. (2012) observed that, the drug content lost was about 8-15 % in Valsartan loaded Eudragit L 100 nanoparticles, which are stored at 40 ± 2ºCand 70 % RH, which confirmed the lower stability of Eudragit L 100 nanoparticles compared to the CRE loaded Eudragit L 100 nanoparticles stored at the same temperature [16]. In vitrodrug release studies were carried out using pH 6.8 phosphate buffer due to higher solubility of Eudragit L 100 at pH 6.8 and efficient dissolution rates as compared to pH 7.4 (Figure 5a, 5b and 5c) and showed that there was 1-3 % reduction in in vitro dissolution rates. Thus, CRE nanocapsules were found to be stable at 40 °C/ 75 % RH.
CONCLUSION
In the present work, nanoformulation of CRE using Eudragit L 100 was developed by emulsion solvent evaporation technique. FT-IR analysis showed that the nanoformulation did not induce degradation of CRE. SEM images showed uniformly distributed nanoparticles with spherical shape and smaller particles in the size range of 50 nm to 160 nm. The XRD and DSC analyses revealed that CRE was completely embedded into Eudragit L 100 and existed in an amorphous state in the nanoformulations. Evaluation of the nanocapsules indicated that percentage yieldis directly proportional to polymer concentration, whereas, particle size, drug entrapment efficiency and in vitro drug release rates is inversely proportional to polymer concentration. It was concluded that, in vitro release of drug can be sustained with high concentration and high viscosity grade of the polymer with maximum solubility and higher dissolution rate observed at pH 6.8 than at pH 7.4. The statistical analysis of the in vitro dissolution data of nanocapsulesat pH 6.8 and pH 7.4 using phosphate buffers indicated that the highest correlation was found for Korsmeyer- Peppas and Higuchi matrix which indicated that the drug release occurred mainly via diffusion mechanism. Nanocapsules were considered to be non-toxic for oral route delivery with respect to residual methanol content. These results collectively indicate that the development of nanoformulationof solvent evaporation method is a fast and effective process to improve the sustained release and enhance bioavailability of major biologically active polyphenol catechin. The results of the current study open a vista for exploring the application of nano-catechin rich extract for clinical application, which may be assured after scale-up studies and after preclinical investigations for safety and efficacy.
ACKNOWLEDGMENT
The authors would like to acknowledge the support and motivation from Gokula Education Foundation and its institutions, specifically, the Central Research Lab of M. S. Ramaiah Medical College and Teaching Hospital, M. S. Ramaiah Institute of Technology and M. S. Ramaiah College of Pharmacy. Monika P. Would like to acknowledge the support of Vision Group on Science and Technology, Department of Science and Technology, Government of Karnataka for financial support for the project through Technology Related Innovative Projects (TRIP – 2013-14). The authors would like to thank Dr. Rajendran, Green Chem Herbal Pvt. Ltd., Bangalore, for providing Catechin Rich Extract for the study.
CONFLICT OF INTERESTS
Declared None
REFERENCES