Int J Pharm Pharm Sci, Vol 7, Issue 1, 385-388Original Article


SOLID PHASE MICROBIAL REACTIONS OF SEX HORMONE, TRANS-ANDROSTERONE WITH FILAMENTOUS FUNGI

MUHAMMAD ATIF1,*, SADIA SULTAN1,2,3*, SYED ADNAN ALI SHAH2,3*, MUHAMMAD IQBAL CHOUDHARY1

1,H. E. J. Research Institute of Chemistry, International Center for Chemical and Biological Sciences, University of Karachi, Karachi-75270, Pakistan, 2Faculty of Pharmacy, Universiti Teknologi MARA, Puncak Alam Campus, 42300 Bandar Puncak Alam, Selangor Darul Ehsan, Malaysia, 3Atta-ur-Rahman Institute for Natural Products Discovery (AuRIns), Universiti Teknologi MARA, Puncak Alam Campus, 42300 Bandar Puncak Alam, Selangor Darul Ehsan, Malaysia.
Email: drsadia@puncakalam.uitm.edu.my

Received: 13 Jul 2014 Revised and Accepted: 25 Aug 2014


ABSTRACT

Objective: A microbial biotransformation study was performed on trans-androsterone (1) using solid phase medium. In the present context, trans-androsterone (1), a sex hormone was fermented with two filamentous fungi, Rhizopus stolonifer (black bread mold) and Fusarium lini.

Methods: Sabouraud-4% glucose-agar were used to cultivate the fungal cultures as solid phase medium. Substrate 1 was incubated with R. stolonifer (ATCC 10404) and F. lini (NRRL 68751) for 8 days. Microbial transformed metabolites were purified by using column chromatographic technique.

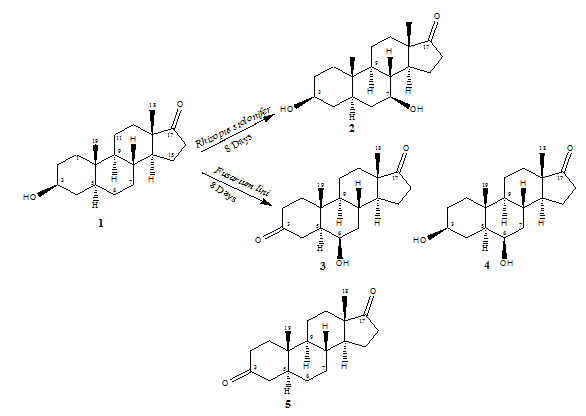
Results: The metabolism study of 1 revealed that various metabolites were detected when incubated with filamentous fungi. A total of 3 transformed products were obtained. The reactions occurred that exhibited diversity; including selective hydroxylation at C-6 and C-7 along with oxidation occurs at C-3 positions. Their structure and identified on the basis of extensive spectroscopic data (NMR, HREIMS, IR and UV) as 3β,7β-dihydroxy-5α-androstan-17-one 2 in a good yield (58%), 6β-hydroxy-5α-androstan-3,17-dione 3, and 3β,6β-dihydroxy-5α-androstan-17-one 4.

Conclusion: Solid phase microbial transformation method can successfully be used for the development of new steroidal drugs. The modified steroidal molecules could favor when compared to their natural counterparts due to several medicinal advantages.

Keywords: Solid phase medium, Microbial Transformation, Trans-androsterone, Rhizopus stolonifer, Fusarium lini, Hydroxylation.


INTRODUCTION

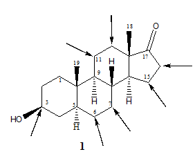
Steroids are widely used as anti-inflammatory, diuretic, anabolic, contraceptive, antiandrogenic, progestational, and anticancer agents as well as in other applications. However, there are various methods of transforming steriods using biocatalyst but filamentous fungi as microbial model are capable of catalyzing stereoselective hydroxylation with greater efficiency [1-5]. The use of microbial models for the transformation of steroids has been incorporated into numerous partial syntheses of new steroids for evaluation as hormones and drugs. These models offers a few advantages over chemical synthesis, because it can be highly enantiomeric, regio-selective and stereo-specific under mild conditions. These microbial transformations have provided adequate tools for the large scale production of natural or modified steroid analogues. Microbial models are relatively easy to maintain and grow, and that scale-up to produce milligram or gram amounts is readily accomplished [5-12]. Furthermore, a variety of metabolites could be obtained by microbial reactions, from which more bioactive metabolites might be found. Yeast and filamentous fungi are very useful microbial models to metabolize a wide variety of xenobiotics using both phase I (oxidative) and phase II (conjugative) biotransformation mechanisms. These fungi are even reported to metabolize a variety of xenobiotics in a region- and stereoselective manners that are similar to those in mammalian enzyme systems [13-28]. Microbial reactions of 3β-hydroxy steroids of androstan-17-one have been extensively investigated, which resulted hydroxylation at various positions on the steroidal skeleton mainly at C-6, C-7, C-11, C-12, C-15, C-16 positions and oxidation at C-3 (fig. 1). 7α-Hydroxylated metabolites of 3β-hydroxysteroids such as androsterone were reported to increase immune response in mice and have anti-glucocorticoid properties [7-10, 13, 14].

In the above context, the solid phase microbial reactions of sex hormone, trans-androsterone (1) were systematically investigated in our group with two filamentous fungi, R. stolonifer (ATCC 10404) and F. lini (NRRL 68751) [4]. Three hydroxylated products 2-4 were isolated and identified in the biotransformation process of 1 (Scheme 2). Herein, we first time reports the soild phase microbial transformations of 1 by filamentous fungi.

Fig. 1: Structure of androsterone and microbial target positions of substituents

MATERIALS AND METHODS

General

Trans-androsterone (1) was purchased from sigma-aldrich (USA). Melting points were determined on a Yanaco MP-S3 apparatus. UV spectra were measured on a Shimadzu UV 240 spectrophotometer. JASCO DIP–360 Digital polarimeter was used to measure the optical rotations in chloroform by using 10 cm cell tube. FTIR-8900 Spectrophotometer was used to record IR spectra in CHCl3. The 1H-NMR and 2D NMR spectra were recorded on a Bruker Avance III 500 spectrometer, while [13]C-NMR spectra were recorded on Bruker Avance III 500 spectrometer operating at 125 MHz using CDCl3 as solvent. chemical shifts were reported in δ (ppm), relative to SiMe4 as internal standard, and coupling constants (J) were measured in Hz. The HREI MS was measured on Jeol HX 110 mass spectrometer. TLC was performed on Si gel precoated plates (PF254, 20 × 20, 0.25 mm, Merck, Germany). Ceric sulphate in 10% H2SO4 spraying reagent was used for the staining of compounds on TLC. All reagents used were of analytical grades.

Fungal culture and medium

Solid phase media for filamentous fungi, R. stolonifer (ATCC 10404) and F. lini (NRRL 68751), was prepared by adding Sabouraud-4% glucose-agar (Merck) (180 g) in 3L. The solution was boiled on a hot plate until a transparent solution was obtained and then poured in 42 flasks of 100 mL and autoclaved at 123° C. Fungi was inoculated on the solid phase media and allowed to grow for two days at 28° C [4, 13].

General fermentation and extraction conditions

The trans-androsterone (1) (1 g) was dissolved in acetone (20 mL) and fed in each flask (0.5 mL), which was kept for 8 days. After 8 days, content of all the flasks was filtered with CH2Cl2. The extracts were dried over anhydrous sodium sulfate and concentrated in vacuo to afford a gum that was adsorbed on equal quantities of Si gel (70-230 mesh, E. Merck), and eluted with solvent gradients of petroleum ether and EtOAc. Metabolite 2 was obtained from the transformation by R. stolonifer (ATCC 10404), while metabolites 3 and 4 were obtained from fermentation with F. lini (NRRL 68751) (Scheme 1).

Scheme 1: Fermentation and extraction conditions

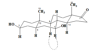
3β,7β-dihydroxy-5α-androstan-17-one (2)

White crystalline solid (51 mg); M. p.: 180-183° C; [α][25]D: -35° (c = 0.4, CHCl3); Rf: 0.5 (Pet. Ether/EtOAc 50:50); EI-MS m/z (rel. int., %): m/z 306 [M+] (88), 288 (30), 273 (48), 215 (38), 178 (100); HREI-MS (mol. formula, calcd value): m/z 306.2208 (C19H30O3, 306.2294); 1H-NMR (CDCl3, 500 MHz) δ: 3.59 (1H, m, H-3), 3.45 (1H, ddd, J (7ax,6ax)= 15.1 Hz, J (7ax,8ax)= 9.4 Hz, J (7ax,6eq)= 5.3 Hz, H-7), 2.10 (1H, m, Hb-6), 1.58 (1H, m, H-8), 1.40 (1H, m, H-9), 1.32 (1H, m, Ha-6), 0.85 (3H, s, Me-19), 0.81 (3H, s, Me-18); [13]C-NMR (CDCl3, 125 MHz) δ: 221.0 (C-17), 74.8 (C-7), 71.0 (C-3), 50.1 (C-9), 41.5 (C-8), 39.1 (C-5), 31.0 (C-6), 12.5 (C-19).

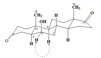
6β-hydroxy-5α-androstan-3,17-dione(3)

Colorless solid (4.9 mg); M. p.: 208-210° C; [α][25]D: -70° (c = 0.6, CHCl3); Rf: 0.5 (Pet. Ether/EtOAc 55:45); EI-MS m/z (rel. int., %): m/z 304 [M+] (60), 259 (39), 228 (13), 176 (51), 138 (54), 55 (100); HREI-MS (mol. formula, calcd value): m/z 303.9814 (C19H28O3, 303.9824); 1H-NMR (CDCl3, 500 MHz) δ: δ: 3.99 (1H, d, J (6eq,7ax)= 2.4 Hz, H-6), 1.92 (1H, m, H-9), 1.65 (1H, m, H-5), 1.62 (1H, m, H-7), 0.89 (3H, s, Me-19), 0.83 (3H, s, Me-18); [13]C-NMR (CDCl3, 125 MHz) δ: 220.8 (C-17), 212.3 (C-3), 71.9 (C-6), 45.5 (C-5), 44.1 (C-4), 39.1 (C-7), 29.8 (C-8), 12.4 (C-19).

3β,6β-dihydroxy-5α-androstan-17-one (4)

Colorless solid (5.1 mg); M. p.: 213-215° C. [α][25]D: -45° (c = 0.5, CHCl3); Rf: 0.5 (Pet. Ether/EtOAc 50:50); EI-MS m/z (rel. int., %): m/z 306 [M+] (45), 288 (16), 273 (48), 178 (51), 79 (48), 55 (100); HREI-MS (mol. formula, calcd value): m/z 306.2166 (C19H30O3, 306.2194); 1H-NMR (CDCl3, 500 MHz) δ: 3.95 (1H, d, J (6eq,7ax)= 2.4 Hz, H-6), 3.61 (1H, m, H-3), 1.92 (1H, m, H-9), 1.69 (1H, m, H-5), 1.62 (1H, m, H-7), 0.97 (3H, s, Me-19), 0.85 (3H, s, Me-18); [13]C-NMR (CDCl3, 125 MHz) δ: 221.1 (C-17), 71.9 (C-6), 68.5 (C-3), 45.5 (C-5), 40.2 (C-4), 39.1 (C-7), 30.1 (C-8), 12.4 (C-19).

RESULTS AND DISCUSSION

We report here the solid phase microbial transformation of trans-androsterone (1) (C19H30O2, m/z 290.32) with two filamentous fungi, R. stolonifer (ATCC 10404) and F. lini (NRRL 68751) for the first time (Scheme 2).

Solid phase fermentation of 1 with R. stolonifer for 8 days afforded one regio- and stereoselective hyroxyl product, 2 (Scheme 2). The metabolite 2 was found more polar on TLC as compared to substrate 1. The HREI-MS of metabolite 2 exhibited the molecular ion (M+) at m/z 306.2208, corresponding to the formula C19H30O3, which indicated that a new oxygen functionality was introduced during the fermentation period. Metabolite 2 was found to be 7β-hydroxy derivative of 1, based on 1H and 13C-NMR signals at δH 3.45/δC 74.8. Hydroxylation at C-7 position was further supported by COSY and HMBC interactions. The β (equatorial) stereochemistry of the C-7 OH group was deduced on the basis of 2D NOESY correlations of H-7 (δ 3.45) with H-9 (δ 1.40) [19]. The metabolite 2 was deduced as 3β,7β-dihydroxy-5α-androstan-17-one (fig. 2). Metabolite 2 (3β,7β-dihydroxy-5α-androstan-17-one) was previously obtained by metabolism of trans-androsterone in the human brain [29].

Solid phase microbial reaction of 1 with F. lini for 8 days yielded two regio- and stereoselective hyroxyl products, 3 and 4 (Scheme 2). Metabolite 3 was obtained as a colorless solid. Its molecular formula was determined as C19H28O3 according to the HREI MS data (m/z 303.9814: calcd for C19H28O3, 303.9824), indicated that one oxygen had been incorporated into the molecule, as compared to 1. Compound 3 was found to be 6β-hydroxy derivative of 5α-androstan-3,17-dione (5), based on NMR signals at δ 3.99/δC 71.9. The position of the newly introduced hydroxyl at C-6 position was inferred from the HMBC coupling of C-6 proton with C-5 (δ 45.5) and C-7 (δ 39.1). The stereochemistry of C-6 OH was deduced to be β (axial), based on the 2D NOESY correlations between H-6 (δ 3.99) and H-9 (δ 1.92) (fig. 3) [14]. The metabolite 3 was deduced as 6β-hydroxy-5α-androstan-3,17-dione. Metabolite 3 (6β-hydroxy-5α-androstan-3,17-dione) was previously obtained by hydrogenation and dehydration of Δ4-3-keto steroids having 6-hydroxy group by Mycobacterium smegmatis [30]. Compound 4 was isolated as colorless solid from solid phase culture of F. lini (Scheme 2). The metabolite 4 was found more polar on TLC as compared to substrate 1. The molecular composition of polar metabolite 4 [M]+ at m/z 306.2166 (C19H30O3, calc. 306.2194)] was similar to metabolite 2 as deduced from HREI-MS. Thus indicated that a new oxygen functionality into was introduced the molecule during the fermentation period.

Transformed product 2 was found to be 6β-hydroxy derivative of 1, based on 1H and [13]C-NMR signals at δH 3.95/δC 71.9. Hydroxylation at C-6 position was further supported by COSY and HMBC interactions. The stereochemistry of C-6 OH was deduced to be β (axial), based on the 2D NOESY correlations between H-6 (δ 3.95) and H-9 (δ 1.92) (fig. 3) [14]. The metabolite 4 was deduced as 3β,6β-dihydroxy-5α-androstan-17-one. Compound 4 (3β,6β-dihydroxy-5α-androstan-17-one) was previously reported as the metabolic product of androstenedione [31].

Scheme 2: Solid phase microbial reaction of trans-androsterone (1) with R. stolonifer and F. lini

Fig. 2: Key correlations of compound 2 in NOESY spectrum


Fig. 3: Key correlations of compound 3 in NOESY spectrum

CONCLUSION

In summary, the solid phase biotransformation method of sex hormone, trans-androsterone to its regio- and stereoselective hyroxyl products with filamentous fungi was high-efficiency. Present research has been conducted for the first time. Metabolism of 1 for 8 days with filamentous fungi, R. stolonifer (ATCC 10404) and F. lini (NRRL 68751), yielded three hydroxylated transformed products 2-4. Structures of all metabolites were elucidated by using spectroscopic techniques. These modified steroidal molecules could favor when compared to their natural counterparts due to several medicinal advantages.

Moreover, microbial-based biotransformations in connection with conventional organic synthesis can provide novel routes for the development of new steroidal drugs.

CONFLICT OF INTERESTS

Declared None

ACKNOWLEDGMENT

Sadia Sultan would like to acknowledge the Ministry of Higher Education (MOHE) for financial support under the ERGS with reference numbers 600-RMI/ 5/3 (4/2012) and Syed Adnan Ali Shah would also like to acknowledge the Ministry of Higher Education (MOHE) for financial support under the Fundamental Research Grant Scheme (FRGS) with reference numbers 600-RMI/FRGS 5/3 (12/2012).

REFERENCES

  1. Asha S, Vidyavathi M. Cunninghamella–A microbial model for drug metabolism studies–a review. Biotechnol Adv 2009;27(1):16–29.
  2. Bhatti HN, Khera RA. Biological transformations of steroidal compounds: a review. Steroids 2012;77:1267–90.
  3. Mahato SB, Garai S. Advance in microbial steroid biotransformation. Steroids 1997;62:332-45.
  4. Demytteraere JCR, Belleghem KV, Kimpe ND. Biotransformation of (R)-(+)-and (S)-(-)-limonene by fungi and the use of solid phase microextraction for screening. Phytochem 2001;57:199-208.
  5. Choudhary MI, Atif M, Shah SAA, Sultan S, Erum S, Khan SN. Atta-ur-Rahman. Biotransformation of dehydroabietic acid with microbial cell cultures and α-glucosidase inhibitory activity of resulting metabolites. Int J Pharm Pharm Sci 2014;6:375-8.
  6. Sultan S, Zaimi M, Anouar EH, Shah SAA, Salim F, Rahim R, et al. Absolute configuration of 20β-hydroxyprednisolone, a biotransformed product of an Anti-Inflammatory drug predinisolone by marine endophytic fungus Penicilium lapidosum. Mol 2014;19(9):13775-87.
  7. Shah SAA, Tan HL, Sultan S, Faridz MABM, Shah MABM, Nurfazilah S, et al. Microbial-Catalyzed biotransformation of multifunctional triterpenoids derived from phytonutrients. Int J Mol Sci 2014;15(7):12027-60.
  8. Shah SAA, Sultan S, Hassan NB, Muhammad FKB, Faridz MABM, HussainFBM, Hussain M, et al. Biotransformation of 17α-ethynyl substituted steroidal drugs with microbial and plant cell cultures: a review. Steroids 2013;78(14):1312-24.
  9. Shah SAA, Sultan S, Zaimi M. Biotransformation of tissue-specific hormone tibolone with fungal culture Trichothecium roseum. J Mol Struct 2013;1042:118-22.
  10. Shah SAA, Sultan S, Adnan HS. A whole-cell biocatalysis application of steroidal drugs. Orient J Chem 2013;29(2):389-403.
  11. Sultan S, Ghani NA, Shah SAA, Ismail NH, Noor MZ, Naz H. Microbial transformation of anthraquinones-A Review. Biosci Biotechnol Res Asia 2013;10(2):577-82.
  12. Azam SS, Reaz Uddin, Shah SAA, Zaheer-ul-Haq. Molecular docking studies of potent inhibitors of tyrosinase and α-glucosidase. Med Chem Res 2012;21(8):1677-83.
  13. Shah SAA, Sultan S, Adnan HS. Solid phase microbial transformation of cortexolone and prolyl endopeptidase inhibitory activity of the transformed products. Int J Pharm Pharm Sci 2011;3 Suppl 1:1-6.
  14. Choudhary MI, Shah SAA, Atta-ur-Rahman, Khan SN, Khan MTH. Alpha-Glucosidase and tyrosinase inhibitors from fungal hydroxylation of tibolone. Steroids 2010;75(12):956-66.
  15. Choudhary MI Shah SAA, Atta-ur-Rahman. Microbial Transformation of Anabolic Steroids. Nat Prod Res 2008;22(15):1289–96.
  16. Choudhary MI, Batool I, Shah SAA, Khan SN, Atta-ur-Rahman. Microbial transformation of oleanolic acid by Fusarium lini and α-glucosidase inhibitory activity of its transformed products. Nat Prod Res 2008;22(6):489-94.
  17. Atta-ur-Rahman, Choudhary MI, Basha FZ, Abbas G, Khan SN, Shah SAA. Science at the interface of chemistry and biology: discoveries of α-glucosidase inhibitors and antiglycation agents. Pure Appl Chem 2007;79(12):2263-8.
  18. Choudhary MI, Yousuf S, Samreen, Shah SAA, Ahmed S, Atta-ur-Rahman. Biotransformation of physalin h and antileishmanial activity of transformed product. Chem Pharm Bull 2006;54(7):927-30.
  19. Choudhary MI, Shah SAA, Sami A, Ajaz A, Shaheen F, Atta-ur-Rahman. Fungal metabolites of E-Guggulsterone and their Antibacterial and antioxidant activities. Chem Biodiversity 2005;2:516-24.
  20. Choudhary MI, Batool I, Shah SAA, Nawaz SA, Atta-ur-Rahman. Microbial Hydroxylation of pregnenolone derivative and cholinesterase inhibitory activity. Chem Pharm Bull 2005;53;1455-9.
  21. Sultan S, Choudhary MI, Khan SN, Fatima U, Atif M, Ali RA, et al. Fungal transformation of cedryl acetate and α-glucosidase inhibition assay, quantum mechanical calculations and molecular docking studies of its metabolites. Eur J Med Chem 2013;62:764–70.
  22. Choudhary MI, Shah SAA, Musharraf SG, Shaheen F, Atta-ur-Rahman. Microbial trabsformation of dehydroepiandrosterone. Nat Prod Res 2003;17(3):215-20.
  23. Choudhary MI, Sultan S, Jalil S, Anjum S, Rahman AA, Fun HK. Microbial transformation of mesterolone. Chem Biodivers 2005;2:392-400.
  24. Choudhary MI, Sultan S, Yaqoob M, Musharraf SG, Yasin A, Shaheen F, Atta-ur-Rahman. Microbial transformation of cortisol and prolyl endopeptidase inhibitory activity of its transformed products. Nat Prod Res 2003;17:389-95.
  25. Casañola-Martín GM, Marrero-Ponce Y, Khan MTH, Ather A, Sultan S, Torrens F, et al. Tomocomd-Cardd descriptors-based virtual screening of tyrosinase inhibitors: evaluation of different classification model combinations using bond-based linear indices. Bioorg Med Chem 2007;15(3):1483-503.
  26. Choudhary MI, Sultan S, Khan MTH, Atta-ur-Rahman. Microbial transformation of 17α-ethynyl-and 17α-ethylsteroids, and tyrosinase inhibitory activity of transformed products. Steroids 2005;70(12):798-802.
  27. Choudhary MI, Sultan S, Hassan Khan MT, Yasin A, Shaheen F, Atta-ur-Rahman. Biotransformation of (+)-androst-4-ene-3, 17-dione. Nat Prod Res 2004;18(6):529-35.
  28. Musharraf SG, Atta-ur-Rahman, Choudhary MI, Sultan S. Microbial transformation of (+)-adrenosterone. Nat Prod Lett 2002;16(5):345-9.
  29. Chalbot S, Morfin R. Human liver S9 fractions: metabolism of dehydroepiandrosterone, epiandrosterone, and related 7-hydroxylated derivatives. Drug Metab Dispos 2005;33(4):563-9.
  30. Schubert K, Schlegel J, Boehme KH, Hoerhold C. Microbial hydrogenation and dehydrogenation of Δ4-3-keto steroids having a 6-hydroxy group. Biochim Biophys Acta Lipids Lipid Metab 1967;144(1):132-8.
  31. Levesque JF, Gaudreault M, Houle R, Chauret N. Evaluation of human hepatocyte incubation as a new tool for metabolism study of androstenedione and norandrostenedione in a doping control perspective. J Chromatogr B Anal Technol Biomed Life Sci 2003;787(2):427.