Centre of Polymer Systems, University Institute, Tomas Bata University in Zlin, Nad Ovčírnou 3685, 760 01 Zlin, Czech Republic.
Email: nabanita@ft.utb.cz
Received: 26 Sep 2014 Revised and Accepted: 25 Oct 2014
ABSTRACT
Objective: The main objective of this study is to understand the viscoelastic nature of Guar Gum - Dead Sea Salt (GG-DSS) based polymeric gel, a semisolid product; which is prepared with all natural ingredients to achieve finally a pharmaceutical value oriented medicated gel.
Methods: The GG-DSS gel was prepared at room temperature (20-22 oC) in two series using the following compositions: guar gum, Dead Sea salt, glycerol, thymol, ethanol, seabuckturn oil, essential oils etc. by applying simple slow stirring method. Further, to investigate the basic properties of the GG-DSS gel i. e. moisture content, morphology, physico-chemical, antibacterial and rheological properties, standard methods were carried out. Special attention was paid to the dynamic viscoelastic behaviour of GG-DSS gel in order to obtain the fundamental data for handling of this medicated gel in the future. The influence of the content of GG, DSS and strain on the rheological properties as a function of angular frequency was recorded.
Results: The viscoelastic properties of all GG-DSS medicated gels show that the storage modulus G’ is higher than loss modulus G” over the whole range of angular frequency (ω) region, and both moduli increase monotonously with the increase of ω. The complex viscosity, η* decreases exponentially with the increase of ω, however, there is not much influence of strain on the viscoelastic properties.
Conclusion: Collected information about viscoelastic properties of semi-solid product (GG-DSS gel) will be beneficial for pharmaceutics and cosmetic manufacturers to understand the rheology of GG-DSS gel and can be used from the commercial production point of view.
Keywords: Gel, Guar Gum, Dead Sea Salt, Viscoelastic property, Pseudoplastic, Minerals.
INTRODUCTION
Since ancient time Dead Sea Salt (DSS) is known as a beneficial material for skin of human beings. DSS has a very good reputation from skin treatment point of view which motivated us to prepare Guar Gum-Dead Sea Salt (GG-DSS) based novel medicated gel. The DSS has many therapeutic benefits. Chronic skin diseases such as eczema, psoriasis and acne are typically not curable, but they can be managed using drugs, creams, oils and taking bath containing DSS. The waters of the Dead Sea are very unique, having a total salt concentration that is 10 times higher than 3% of ocean water, reaching 33% [1]. The composition of the brines [2, 3] is also unique, comprising magnesium, potassium and calcium chlorides, in addition to a high concentration of bromides. This extraordinary chemical composition has made the Dead Sea an ideal destination or people seeking relief from skin and rheumatic disorders. In fact, these soothing miracle-working waters have a reputation that dates back over 2000 years when the Roman historian Flavius noted DSS´s healing powers [1].
Guar gum (GG) is a biopolymer, obtained from plant Cyamopsis tetragonolobus [4-9]. Chemically, GG is a hydrocolloidal polysaccharide composed of sugar galactose and mannose having its molecular ratio of 1:1.4-1:2. [9]. Moreover, GG as one of the significant naturally occurring non-ionic polysaccharides has broad range of applications in pharmaceutical industry and other commercial sectors which are potential aspirant of natural biopolymer due to its diverse structure, properties, non-toxicity, biodegradability, stability over wide pH range, solubility in hot and cold water and economical processing. Due to these fascinating properties and physiological effects, it undergoes many chemical and physical changes to form new derivatives of desirable characteristics and functionalities [6]. GG has its unique rheology modifying properties widely used across different industries such as oil well drilling, textile, paper, paint, cement cosmetic, food, pharmaceutical and so on [7]. It has also wide applications in pharmaceutical formulations, cosmetic, food, textile, paper, explosive, toiletries industries. In pharmaceuticals, it is used as the tablet binder and disintegrated, suspending, thickening and stabilising agent, as a controlled release carrier. Therapeutically, it is also used as hypoglycaemic, hypolipidemic, antimicrobial, antiproliferative, appetite suppressant, bulk forming laxative, in collitis and Crohn’s disease etc. Additionally, GG at low concentration can give a great variety of functions of films, an encapsulation of flavours, creation of gel-structures, etc. [7, 8] and as GG dissolves at lower temperatures, the extent of un-substituted regions of the Mannan chain is lower [10].
The rheology of GG is similar to that of Locust Bean Gum (LBG), pseudoplastic and decreasing with temperature, with good pH stability [11]. The application and acceptance of pharmaceutical and cosmetics are dependent on the flow properties of the final products. It is desirable that the semisolid products like creams or gels are well spread over the skin. It should not be annoying for the customer. Another issue concerns cream in tubes or liquid soap in dispensers. These cosmetic products must not flow, or either not too little or not too much, at that is the way the consumer finds pleasant. It can be compared to toothpaste, which needs to be conveniently dispensed from the tube and must not run down the brush either to clean the teeth as required [12]. This paper reports about two series of GG-DSS based medicated gels where the content of DSS and GG are varied under fixed content or vice versa, and evaluated their moisture content, internal morphology, chemical structure of these gels. The main objective of this study is to understand the viscoelastic properties of the semisolid product (GG-DSS medicated gel) from practical applications or commercial production points of view. Thus, the dynamic frequency sweep test under the strain of 1 and 10% and strain sweep test has been done. The influence of the content of GG, DSS and strain dependent on the viscoelastic properties as a function of angular frequency was investigated and reported herein.
MATERIALS AND METHODS
Materials
Natural polysaccharide Guar Gum (E 412) was supplied by Sigma-Aldrich, Dead Sea Salt (DSS) was obtained from Beauty Mineral, Dead Sea Cosmetics Ltd (product of Israel). Ethanol and Glycerol were from Ing. Petr Lukeš, s. r. o., Thymol was from Ing. Petr Švec Penta, s. r. o., Seabuckthorn oil (SB oil), thyme and Citrus essential oils were purchased from Biomedica spol. s. r. o. Czech Republic.
Preparation of GG-DSS gel
The GG-DSS gels were prepared at room temperature (20-22 oC) in two series applying simple slow stirring method.
Two series of GG-DSS gel have been prepared to achieve the optimum/effective gel composition. In the first series of gel, the content of DSS remained fixed at 4 wt. %, and the content of GG was varied from 0.75 to 2.5 wt. %., designated as “series A”. On the other hand, in “series B” the content of DSS has been varied from 0.5 to 20 wt. %. Keeping the content of GG fixed at 1.5 wt. %. The compositions of each series of gel are shown in Tables I (a) and (b).
Table I (a): Composition of GG-DSS gel (in wt. %) for A series
| Sample code | A-1 | A-2 | A-3 | A-4 | A-5 | A-6 | A-7 | A-0 |
| Guar Gum | 0.75 | 1.0 | 1.3 | 1.5 | 1.8 | 2.0 | 2.5 | 1.5 |
| Dead Sea Salt | 4.0 | 4.0 | 4.0 | 4.0 | 4.0 | 4.0 | 4.0 | - |
| Glycerol | 10.0 | 10.0 | 10.0 | 10.0 | 10.0 | 10.0 | 10.0 | 10.0 |
| Thymol | 0.1 | 0.1 | 0.1 | 0.1 | 0.1 | 0.1 | 0.1 | 0.1 |
| Ethanol | 2.5 | 2.5 | 2.5 | 2.5 | 2.5 | 2.5 | 2.5 | 2.5 |
| SB oil | 0.5 | 0.5 | 0.5 | 0.5 | 0.5 | 0.5 | 0.5 | - |
| Thyme essential. oil | 0.05 | 0.05 | 0.05 | 0.05 | 0.05 | 0.05 | 0.05 | - |
| Citrus essential. oil | 0.05 | 0.05 | 0.05 | 0.05 | 0.05 | 0.05 | 0.05 | - |
| Water | Added to make the volume 100 |
Table I (b): Composition of GG-DSS gel (in wt. %) for B series
| Sample code | B-1 | B-2 | A-4 | B-3 | B-4 | B-5 | B-6 | B-7 |
| Guar Gum | 1.5 | 1.5 | 1.5 | 1.5 | 1.5 | 1.5 | 1.5 | 1.5 |
| Dead Sea Salt | 0.5 | 2.0 | 4.0 | 6.0 | 8.0 | 10.0 | 15.0 | 20.0 |
| Glycerol | 10.0 | 10.0 | 10.0 | 10.0 | 10.0 | 10.0 | 1.5 | 1.5 |
| Thymol | 0.1 | 0.1 | 0.1 | 0.1 | 0.1 | 0.1 | 0.1 | 0.1 |
| Ethanol | 2.5 | 2.5 | 2.5 | 2.5 | 2.5 | 2.5 | 2.5 | 2.5 |
| SB oil | 0.5 | 0.5 | 0.5 | 0.5 | 0.5 | 0.5 | 0.5 | 0.5 |
| Thyme essential oil | 0.05 | 0.05 | 0.05 | 0.05 | 0.05 | 0.05 | 0.05 | 0.05 |
| Citrus essential oil | 0.05 | 0.05 | 0.05 | 0.05 | 0.05 | 0.05 | 0.05 | 0.05 |
| Water | Added to make the volume 100 |
During GG-DSS gel preparation, at first solution of DSS, GG and thymol have been prepared individually. A definite quantity of DSS was added into water and stirred continuously until dissolved. Then, the mixture of thymol with ethanol and that of GG with glycerol has been prepared, respectively. After that, all three mixtures/ solutions were mixed together and stirred at 700 rpm for 30 minutes to obtain the desired gel.
After formation of gel, seabuckthorn oil was added, and the speed was gradually increased from 700 to 1000 rpm. After 15 minutes, thyme and Citrus essential oils were added to achieve aromatic flavour into the GG-DSS medicated gel. The stirring speed was gradually reduced to 700 rpm and then incubated for 15 minutes to achieve the desired gel having the pH of approximately between 6.0 and 5.8 termed as ‘GG-DSS medicated gel’ which was used for further measurements and characterizations.
Fourier transforms infrared spectroscopy (FTIR)
The physico-chemical behaviour of GG-DSS gel was examined by ATR-FTIR spectroscopic using gels which content different amounts of DSS and GG and the spectra have been compared with, pure DSS and pure GG in powder form. The assay was conducted by using FT-IR spectrometer Nicolet 6700 with “Omnic” software package.
Moisture content measurement
Moisture content of the gels was measured and calculated by using Eq. 1 [12], where M is the moisture content (wt %) of the material, Ww is the wet weight of the sample, and Wd is the weight of the sample after drying. The gel samples were left to dry in an air oven at 105°C for 24 hours. Three replicates were taken, and the average value of moisture content was determined.

Morphology
Scanning electron microscopy (SEM) analysis was carried out on VEGA II LMU (TESCAN) operating in the high-vacuum/secondary electron imaging mode at an accelerating voltage of 5–20 kV. The freeze-dried samples were prepared using Lyofilizator CoolSafe 110-4 PRO and then sputter coated with a thin layer of palladium/gold alloy to improve the surface conductivity and tilted 30° for better observation. The images were taken at the magnification of 100x–2kx.
Antibacterial effectiveness test
Antibacterial property of GG-DSS gel (from series A-0, A-4, B-7) was tested in the presence of skin infection causing bacteria: Staphylococcus auras (gram positive bacterial) and Escherichia coli (gram negative bacteria). The study was conducted following the serial dilution method and servibility of bacterial colony has been counted following the viable count / colony count method [13]. At first bacterial suspension has been prepared where a loopful of bacterial culture of Staphylococcus auras and Escherichia coli were inoculated individually in 10 ml physiological solution.
Then, 0.2 ml bacterial suspension was inoculated into the 20 g GG-DSS gel and incubated at room temperature in an aseptic conditions until 7 days and then the viability of bacterial cells was estimated at 0h, 24 h and168h intervals. The mixture of GG-DSS gel with bacterial suspension was used for serial dilution until 10-7of initial bacterial concentration using physiological solution. Simultaneously, the culture plate of Tryptone Soya Agar (TSA) prepared to evaluate the antibacterial effectiveness property of GG-DSS gel in the presence of Escherichia coli and Staphylococcus auras.
The concentration of inoculum: for Escherichia coli and Staphylococcus auras was 7x108and 2.5x107 colony forming unit (cfu) per mL of the GG-DSS gel respectively. The effectiveness of antibacterial property assay was conducted at 35ºC., incubated for 18-24 h and microbial recovery incubation time maintained up to 7 days.
Rheological measurements
All rheological measurements were performed using a parallel plate type rheometer (ARES, Rheometrics Scientific, USA) with an “RSI Orchestrator” software package. A 25 mm diameter parallel plate measuring geometry, with a gap of about 1.5 mm was used, proper amount of gel was put between plates, and then the upper plate was descended slowly to the gap of about 1 to 1.5 mm. Dynamic viscoelastic properties measurements were carried out under oscillatory flow of mainly employing small strain (1%) amplitude to maintain the measurements within the linear viscoelastic region (LVER). Dynamic frequency sweep tests were carried out at 28°C to observe the storage modulus (G’), loss modulus (G”) or complex viscosity (η*) as a function of a wide range of angular frequencies (0.1-100 rad/s) under 1% strain. Relation among G’, G” and η* is given by the following equation.
(2)
Strain sweep tests in the range of 0.1 to 100 % strain were also carried out under a few constant angular frequencies.
RESULTS AND DISCUSSION
Optical image and Morphology
A visual image of GG-DSS medicated gel is depicted in Fig. 1. It can be seen from the fig. That GG-DSS based medicated gel’s colour is generally yellow or sometimes light orange due to the presence of SB oil. The thickening of GG-DSS medicated gels depends on wt. % of GG present in the gel, and with increasing the amount of GG, density of GG-DSS medicated gel increases. Finally, the pH of GG-DSS medicated gels reached around 5.8.

Fig. 1: Visual image of GG-DSS medicated gel

Fig. 2: SEM image of freeze dried GG –DSS gels: a) A0 (GG: 1,5%, DSS 0%, essential oils free), b) A4 (GG: 1.5%, DSS: 4%), c) A6 (G. G: 2.0 %, DSS: 4 %), d) B5 (DSS: 10.0 %, GG: 1.5 %), e) B6 (DSS: 15.0%, GG: 1.5%), f) B7 (DSS: 20.0 %, GG: 1.5 %).
Development of crosslinking structure is the common behaviour of gels. Thus, the internal structure of freeze-dried GG – DSS gels was investigated, and the images of some typical samples from both A and B series are represented in Fig.2. Some big size holes or porous structures are visible in the case of “A series samples” i. e. Figs. 2(a) and (b) where GG-DSS gel contained 1.5% GG with and without DSS and essential oil, and we cannot find any clear structural difference. The observed porous structure may be due to the generation of air bubble within the gel. However, it can be seen from the images as showed in Figs. 2 (b) and (c) for A4 and A6 samples that there is significant difference in gel structure due to the presence of different amount of GG.
Moisture content
Initial moisture content of gels is one of the important criteria when considering them for biomedical applications, especially as dressing cum wound healing purposes. The moisture content of GG-DSS medicated gel is depicted in table II.
Table II: Moisture content of GG-DSS medicated gels
| Sample code | Moisture content (wt %) |
Sample code | Moisture content (wt %) |
| A-1 | 86.93 | B-1 | 94.81 |
| A-2 | 87.10 | B-2 | 90.33 |
| A-3 | 86.56 | B-3 | 84.57 |
| A-4 | 86.67 | B-4 | 81.28 |
| A-5 | 86.31 | B-5 | 74.85 |
| A-6 | 87.28 | B-6 | 73.47 |
| A-7 | 87.28 | B-7 | 68.89 |
It can be seen from the table that all the gels from “series A” and “series B”, both contain quite a good amount of water. In the case of “series A” the moisture content approximately various between 86-87 % whereas in “series B”, the moisture content varies approximately between 69-95%. Following the values of table I (b), it can be come into conclusion that increase or decrease in moisture content % has direct relation with concentration of DSS. When amount of DSS increased in GG-DSS gel, the % of moisture content of GG-DSS gel is also gradually decreased.
Fourier transforms infrared spectroscopy (FTIR)
The FTIR spectra of GG and DSS in GG-DSS gel are shown in in Fig. 3(a) for A series (A-0,A-4,A-6) and 3(b) for B series (B-5, B-7), respectively. From these figures, it is observed that GG exhibits the characteristic absorption band at 3394 cm-1 and 2932 cm-1 due to O-H stretching vibrations of the polymer associated with C-H stretching vibrations. Additional
Information from the characteristic absorption bands of GG appears at 1402 cm-1, 1042 cm-1 and 1027 cm-1 due to C-H bending and O-H bending vibrations. On the other hand, the presence of DSS in GG-DSS gel confirmed due the presence of amide bond i.e. 1641 cm-1 which is the characteristics of DSS.
Antibacterial effectivity of GG-DSS gel
The antibacterial effectivity of GG-DSS based medicated gels was tested in the presence of Staphylococcus auras and Escherichia coli because these bacteria are generally responsible for skin infection. From series A and series B GG-DSS gel, only A-0, A-4 and B-7 samples are chosen to see the effectivity of GG-DSS gel with and without DSS in the presence of skin infection causing bacteria.
Here, the optimum compositions of GG-DSS gel (i. e. A-4) and at higher DSS concentration in GG-DSS gel (i. e. B-7) were tested and the observed results are depicted in table III. It can be seen from the table that in all cases, there is no appearance of bacterial colony after 168 h whereas, up to 24 h incubation there are quite a good number of bacterial cell reduction has been noticed. It means that not only GG or DSS responsible for reduction of bacterial growth but also the ingredients like thymol and ethanol is responsible for reduction of bacterial cell, e.g. The case of GG-DSS (A-0).

Fig. 3: FTIR spectra of DSS, GG, and GG- DSS gels, (a) A0 (GG: 1.5%; DSS: 0%), A4 (GG: 1.5%; DSS 4.0%), A6 (GG: 2.0%; DSS: 4.0%); (b) A0 (GG: 1.5%; DSS: 0%), B5 (GG: 1.5%; DSS: 10.0%), B7 (GG: 1.5%; DSS: 20.0%)
Table III: Effectivity of GG-DSS gel in presence of skin infection causing bacteria.
| Sample index | Test Strains | Inoculum (CFU/ml) in GG-DSS | Number CFU/ mL in TSA |
| Incubation period | |||
| 0 h | |||
| A-0 | Escherichia coli (CCM 4517) | 7x108 | 1x101 |
| Staphylococ. aureus (CCM 4516) | 2.5x107 | 5x100 | |
| B-7 | Escherichia coli (CCM 4517) | 7x108 | 5x100 |
| Staphylococ. aureus (CCM 4516) | 2.5x107 | 5x100 | |
| A-4 | Escherichia coli (CCM 4517) | 7x108 | 3x101 |
| Staphylococ. Aureus (CCM 4516) | 2.5x107 | 5.8x102 |
Rheological properties of GG-DSS gel
It is well known that the rheology of GG gel/solution is pseudoplastic, and the rheological properties such as viscosity decrease with temperature and also to show the good pH stability [10]. In this section, the various factors such as GG or DSS content, angular frequency, strain (amplitude) on the dynamic viscoelastic properties of GG gels medicated with DSS (A and B series) were investigated by a parallel plates type rheometer at room temperature of 28°C.
Viscoelastic properties under small strain amplitude oscillation
The frequency sweep test results under 1% strain amplitude are shown in Fig. 4 (a) for A series gels and Fig.4 (b) for B series one. Storage modulus G’ and loss modulus G” for A series increase gradually with the increase of ω, and G’ is higher than G” over whole range of ω region (Fig. 4(a)). This behaviour is a typical trend of gel; however it seems to be different from that of GG solution [14]. As expected, for all gels of A series, the frequency at which G’ and G” become equal to each other moves to lower values as the concentration of GG increases. But both G’ and G” moduli for B series (till 10 % of DSS) increase gradually with the increase of ω, and G’ is higher than G” over the whole range of ω region (Fig.4 (b)). When the concentration of DSS exceeds more than 10 percent, still G’ is higher than G”, but G” slowly decreases with the increase of ω. The more precise description for the concentration dependence of GG or DSS on G’ and G” of the gels will be shown later.

Fig. 4: Storage (G’) and loss (G”) moduli as a function of angular frequency ω at 1% strain for some samples: (a) A series: ○ A2 (GG: 1.0 %, DSS: 4%), ∆ A4 (GG: 1.5%, DSS: 4%), ∆ A6 (G. G: 2.0 %, DSS: 4 %); (b) B series: □ B2 (DSS: 2.0 %, GG: 1.5 %), ○ B5 (DSS: 10.0 %, GG: 1.5 %), ∆ B7 (DSS: 20.0 %, GG: 1.5 %), G’ is filled, G” is open symbols
Influence of the strain on the viscoelastic properties of GG –DSS medicated gel
Influence of strain (amplitude) on the dynamic viscoelastic properties (storage and loss moduli) had been investigated intensively for various materials. It is generally considered that the homogeneous materials like polymer melts are not influenced so much by the change /increase of strain and are able to sustain the linear viscoelastic behaviour from the lower limit to around 10 % strain. On the other hand, the viscoelastic properties of heterogeneous materials like polymer blends and filler filled composites are easily influenced by the change of strain. It was shown that the viscoelastic properties of hydrogels such as PVP-CMC hydrogels are also very sensitive to the strain (amplitude) [15].
In this study, we measured the viscoelastic properties of both A and B series of GG gels with medicated DSS at 1 and 10 % strain, and storage (G’) and loss (G”) moduli were compared the both values as a function of angular frequency ω at 1 and 10 % strain are shown in figs 5(a) and (b) for A and B series gels, respectively.
For all A series gels shown in Fig. 5(a), it is found that there is not much difference for both G’ and G” at 1% and 10% strain, and similar trends are observed for B series gels with the amount of GG till 10% (B2 and B5 in Fig. 5(b)), but when the amount of DSS is more than 10 % in gels (B7 in Fig. 5(b)), both G’ and G” decrease drastically with the increase of strain. From the above results, it can be said that the GG gels medicated with DSS with the content of GG less than about 10% are able to keep the linear viscoelastic behaviour over relatively wide range of strain independent on the content of DSS.

Fig. 5: G’and G” as a function of angular frequency ω at 1% strain 10% strain for some samples: (a) A series: □A2 (GG: 1.0 %, DSS: 4%), □A6 (G. G: 2.0 %, DDS: 4 %), (b) B series: □B2 (DSS: 2.0 %, GG: 1.5 %), □B5 (DSS: 10.0 %, GG: 1.5 %), □B7 (DSS: 20.0 %, GG: 1.5 %). G’ is filled, G” is open symbols
Complex viscosity vs. angular frequency plots at 1 and 10% strain
It is considered that the complex viscosity calculated from storage and loss moduli measured by dynamic oscillatory flow is a very useful rheological parameter for estimating the viscous properties of which direct measurements are not so easy under shear flow for the materials such as highly filled polymer systems, hydrogels and so on. The structures of these materials are easily broken under relatively even low shear strain. Fig. 6 demonstrates the complex viscosity η* versus angular frequency ω plots for some GG gels medicated with DSS in double-logarithmic coordinates.
Figs.6(a) and (b) are the results obtained under 1 and 10% strain for A series (constant DSS content of 4%) and B series (constant GG content of 1.5%), respectively. From both figures, it is found that η* of all gels decreases linearly with the increase of ω, and the slopes of each gel seem to be almost same in double-logarithmic coordinate plots. This behaviour means that all the gels of both series show typical pseudoplasticity. The dependence of strain on the complex viscosity, we can observe clearly on the gels of B series with high DSS content (B7 in fig. 6 (b)). Torres, M. D. et al. Studied the viscoelastic behaviour of aqueous guar gum solutions with different concentrations [16], which shows the similar trend to the rheological behaviour of GG-DSS gel studied here.

Fig. 6: Complex viscosity as a function of angular frequency at 1% strain 10% strain for some samples: (a) A series: □ A2 (GG: 1.0 %, DSS: 4%), ○ A4 (GG: 1.5%, DSS: 4%), (b) B series: □ B2 (DSS: 2.0 %, GG: 1.5 %), ○ B5 (DSS: 10.0 %, GG: 1.5 %), ∆ B7 (DSS: 20.0 %, GG: 1.5 %)
Effect of concentration of GG and DSS in GG-DSS medicated gel
We discuss here the effect of the concentration of GG and DSS on G’ and G” as a parameter of angular frequency (0.25; 2.5; 25.0 rad/s) under 1% strain. G’ and G” vs. GG concentration plots for A series gels and G’ and G” vs. DSS concentration plots for B series gels are shown in Figs. 7(a) and 7(b), respectively.
It is found from Fig. 7(a) that both G’ and G” increase monotonously with the increase of GG concentration and also with the increase of angular frequency. The influence of concentration of DSS on G’ and G” shown in Fig. 7(b) is different from that of GG in Fig. 8(a). Both G’ and G” are almost independent on the concentration of DSS in the region of lower concentration than around 10%, however, these values increase sharply at higher than 10% concentration, and both moduli increase with the increase of angular frequency over whole range of DSS concentration. This unique behaviour of the gels with higher concentration of DSS was not observed at high strain such as 10%.
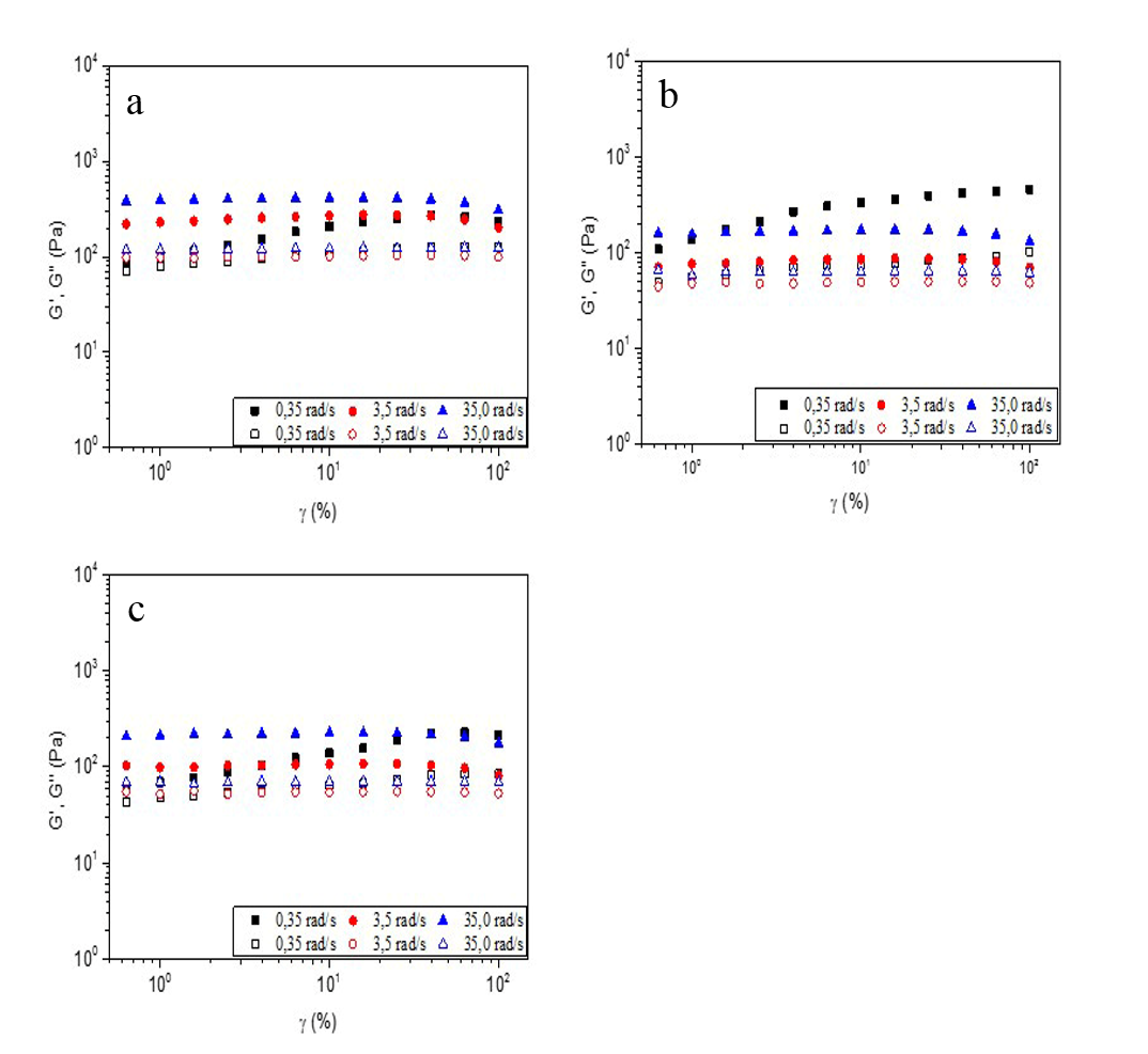
Strain sweep test of GG-DSS medicated gel
In previous paragraphs, we showed the dynamic viscoelastic properties measured under 1 and 10% and discussed the influence of strain on the properties. Here, we will investigate the influence of the strain on these properties under the fixed angular frequency.
Generally speaking, the influence of the strain on both moduli seems to be not so high even under higher than 10% strain and very different from the behaviour of hydrogels. Each sample presented here exhibits unique behaviour; in which G’ increases with the increase of strain only at low angular frequency of 0.35 rad/sec. This behaviour may take place due to the internal structural change towards the stable structure, and this will induce the apparent increase of G’.

Fig. 7: Effect of the concentration of GG and DSS on G’ and G” as a parameter of angular frequency (0.25; 2.5; 25.0 rad/s) under 1% strain (a) G’, G” vs. GG concentration plots for A series gels, (b) G’, G” vs. DSS concentration plots for B series gels, G’ is filled, G” is open symbols

Fig. 8: G’ and G” vs. strain as a parameter of angular frequency (0,35 rad/s., 3,5 rad/s., 35,0 rad/s.): (a) for A6 (GG: 2,0%, DSS 4 %), (b) for sample A4 (GG: 1.5%, DSS: 4%), (c) for B5 sample (DSS: 10.0%, GG: 1,5%). G’ is filled, G” is open symbols
CONCLUSION
Skin diseases are very inconvenient for people of all ages whether they are painful or not. Dead Sea salt(DSS), which is a material of Dead Sea comprising magnesium, potassium and calcium chlorides, in addition to a high concentration of bromides and obtained from Beauty Mineral, Dead Sea Cosmetics Ltd (product of Israel), is beneficial to the skin and has a very good effect on the treatment of skin. We prepared two series of GG based gels mixed with DSS: in one of them the content of GG varied under fixed content of DSS and in the other one it was vice versa. We investigated the moisture content, morphology, chemical structure and antibacterial effectivity of these gels. The main objective of this study was to measure the dynamic viscoelastic properties of the gels by frequency sweep and strain sweep testing in order to obtain the fundamental data for handling of these gels. An influence of the content of GG or DSS and strain dependent on the viscoelastic properties as a function of angular frequency was investigated experimentally.
It can be seen from Figs. 2(d), (e) and (f) for the images of B series, where GG-DSS gel contained a fixed amount of GG (i. e. 1.5%) and content of DSS varies from 10%-20% that the difference in the content of DSS exhibits a remarkable influence on the formation of internal gel structures. Further, concerning of antibacterial effectivity of GG-DSS medicated gel it can be mentioned that not only GG or DSS responsible for reduction of bacterial growth but also the ingredients like thymol and ethanol are also responsible for the reduction of bacterial cell as the case of GG-DSS (A-0).
The viscoelastic properties of GG-DSS medicated gel shows that the storage modulus, G’ is higher than the loss modulus G” over the whole range of angular frequency (ω) region, and both moduli increase monotonously with the increase of ω. The complex viscosity, η* decreases exponentially with the increase of ω, however, there is not much influence of strain on the viscoelastic properties.
This rheological characterization of GG-DSS medicated gel will provide some important information for production engineers to facilitate their daily production and processing because today, most formulators also count on rheological results to develop customer favoured products for surviving in the competitive market.
Therefore, from commercial production point of view, the information of viscoelastic properties of semi-solid product (GG-DSS gel) will be beneficial for pharmaceutics and cosmetic manufacturers to understand the rheology of GG-DSS gel.
CONFLICT OF INTERESTS
Declared None.
ACKNOWLEDGEMENT
This contribution/article was written with support of Operational Program Education for Competitiveness co-funded by the European Social Fund (ESF) and the national budget of Czech Republic, within the framework of project Advanced Theoretical and Experimental Studies of Polymer Systems (reg. Number: CZ.1.07/2.3.00/20.0104) and with support of Operational Program Research and Development for innovations co-funded by the European Regional Development Fund (ERDF) and the national budget of Czech Republic, within the framework of Project Centre of Polymer Systems (reg. Number: CZ.1.05/2.1.00/03.0111).
REFERENCES