1H. E. J. Research Institute of Chemistry, International Center for Chemical and Biological Sciences, University of Karachi, Karachi 75270, Pakistan, 2Faculty of Pharmacy, Universiti Teknologi MARA, Puncak Alam Campus, 42300 Bandar Puncak Alam, Selangor Darul Ehsan, Malaysia, 3Atta-ur-Rahman Institute for Natural Products Discovery (AuRIns), Universiti Teknologi MARA, Puncak Alam Campus, 42300 Bandar Puncak Alam, Selangor Darul Ehsan, Malaysia.
Email: syedadnan@salam.uitm.edu.my, drsadia@puncakalam.uitm.edu.my
Received: 30 Sep 2014 Revised and Accepted: 29 Oct 2014
ABSTRACT
Objective: Microbial catalysis is used in the commercial production of many bioactive steroids. Solid phase microbial fermentation of anabolic steroid, dihydrotestosterone (DHT, 1), was carried out with ascomycete fungal strain Fusarium oxysporum (NRRL-1392).
Methods: Sabouraud-4% glucose-agar was used to cultivate the fungal cultures as solid phase medium. Substrate 1 was incubated with Fusarium oxysporum (NRRL-1392) for 8 days. Microbial transformed metabolites were purified by using column chromatographic technique.
Results: Ascomycete fungal strain Fusarium oxysporum (NRRL-1392), transformed dihydrotestosterone (1) to four oxidative metabolites 2-5 using solid phase microbial transformation metod. During biotransformation process the hydroxy group was incorporated in inactivated methine carbon atoms at C-7 and C-11 positions. Their structures were elucidated by means of a homo and heteronuclear 2D NMR and by HREI-MS techniques as 17β-hydroxyandrosta-1, 4-dien-3-one 2, androsta-1, 4-diene-3, 17-dione 3, 7α, 17β-dihydroxyandrosta-1, 4-dien-3-one (4), and 11α-hydroxyandrosta-1, 4-diene-3, 17-dione 5. The relative stereochemistry of newly incorporated hydroxy groups were deduced by 2D NOESY experiment.
Conclusion: In conclusion, microbial biocatalysis is an attractive alternative tool for the preparation of new bioactive steroids, which might be difficult to prepare by conventional chemical routes. Furthermore, microbial-catalyzed biotransformations can produce commercially valuable steroidal pharmaceuticals for the pharmaceutical industry.
Keywords: Anabolic steroid, Ascomycete, Fusarium oxysporum, Dihydrotestosterone, Solid Phase, Microbial Transformation, Oxidation.
INTRODUCTION
Anabolic steroids (AS) are synthetic derivatives of testosterone that are widely used both for sport and to achieve an athletic body image. The anabolic activity of testosterone and its derivatives is primarily manifested in its myotrophic action, which results in greater muscle mass and strength. Anabolic steroids administration is often associated with various adverse effects include hypertension and atherosclerosis, blood clotting, jaundice, hepatic neoplasms and carcinoma, tendon damage, psychiatric and behavioral disorders [1-4]. Microbial cell-mediated transformations of steroids have been incorporated into numerous partial syntheses of new steroids for evaluation as hormones and drugs [5-10]. These transformation methods offer a few advantages compared to the conventional chemical synthesis, because it can be highly enantiomeric, regio-selective and stereo-specific under mild conditions. Furthermore, a variety of metabolites could be obtained in the single pot synthesis, might resulted more bioactive metabolites [11-15].
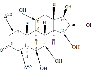
Fungi have been reported as the convenient tool for the biotransformation of natural and semisynthetic steroids. The fungal-mediated oxidation of steroidal molecules under mild conditions appears as an attractive alternative tool as compared to the conventional chemical methods, have an raised regio-, chemo-and enantioselectivity, and do not generate toxic waste products, and the metabolites obtained can be labeled as “natural” source. Various steroidal drugs have already been subjected to microbial transformation in order to obtain novel structural analogues with presumably enhanced biological activities [16-25]. During biotransformation process the hydroxy group was incorporated in inactivated methine carbon atoms at C-6, C-7, C-11, C-15 and C-16 positions (fig. 1). Several fungi are reported to metabolize a variety of xenobiotics in regio-and stereo selective fashion that are similar to those in mammalian enzyme systems [11, 26-32].
Dihydrotestosterone (DHT, 1) is an anabolic steroid, used as a performance-enhancing drug [1, 2]. 7α-Hydroxy derivatives of various androgen hormones were reported to increase immune response in mice and might have anti-glucocorticoid properties [11, 16, 21]. We have been using microbial biocatalysis method to synthesize structurally diverse and pharmaceutically important libraries of anabolic steroids. In the present work, the solid phase microbial reactions of an anabolic steroid, dihydrotestosterone (1) were systematically investigated in our group with ascomycete fungal strain F. oxysporum (NRRL-1392) [4]. Four oxidative metabolites 2-5 were isolated and identified in the biotransformation process of 1 (Scheme 2). Hereby, we first time report the soild phase microbial transformations of dihydrotestosterone (1) with fungal cell cultures.
Fig. 1: Structure of dihydrotestosterone and microbial target positions of substituents
Chemical and materials
General
Dihydrotestosterone (1) was purchased from sigma-Aldrich (USA). Melting points were determined on a Yanaco MP-S3 apparatus. UV spectra were measured on a Shimadzu UV 240 spectrophotometer. JASCO DIP–360 Digital polarimeter was used to measure the optical rotations in chloroform by using 10 cm cell tube. FTIR-8900 Spectrophotometer was used to record IR spectra in CHCl3. The 1H-NMR and 2D NMR spectra were recorded on a Bruker Avance III 500 spectrometer, while 13C-NMR spectra were recorded on Bruker Avance III 500 spectrometer operating at 125 MHz using CDCl3 as solvent. Chemical shifts were reported in δ (ppm), relative to SiMe4 as internal standard, and coupling constants (J) were measured in Hz. The HREI MS were measured on Jeol HX 110 mass spectrometer. TLC was performed on Si gel precoated plates (PF254, 20 × 20, 0.25 mm, Merck, Germany). Ceric sulphate in 10% H2SO4 spraying reagent was used for the staining of compounds on TLC. All reagents used were of analytical grades.
Fungal culture and medium
Media for F. oxysporum was prepared by adding Sabouraud-4% glucose-agar (Merck) (180 g) in 3L. The solution was boiled on a hot plate until a transparent solution was obtained and then poured in 42 flasks of 100 mL and autoclaved at 121 °C. Fungi were inoculated on the solid phase media and allowed to grow for two days at 28° C [11, 18].
General fermentation and extraction conditions
The dihydrotestosterone (1) (800 mg) was dissolved in acetone (15 mL) and fed in each flask (0.5 mL), which was kept for 8-days. After 8 days, content of all the flasks were filtered with CH2Cl2 to obtain crude extract (2.13 g). The extract was dried over anhydrous sodium sulfate and concentrated in vacuo to afford a gum that was adsorbed on equal quantities of Si gel (70-230 mesh, E. Merck), and eluted with solvent gradients of petroleum ether and EtOAc. Metabolites 2-5 were obtained by fermentation with F. oxysporum, using column chromatography (silica gel) (Scheme 1).

Scheme 1: Fermentation and extraction conditions
17β-hydroxyandrosta-1, 4-dien-3-one 2
White solid (4.8 mg); M. p.: 186-188 °C; [α][25]D: 167° (c = 1.1, MeOH); Rf: 0.4 (Pet. Ether/EtOAc 60:40); EI-MS m/z (rel. int., %): m/z 286 [M+] (15), 268 (31), 253 (14), 158 (13), 122 (100), 55 (45); HREI-MS (mol. formula, calcd value): m/z 286.1977 (C19H26O2, 286.1933); 1H-NMR (CDCl3, 500 MHz) δ: See [31]; 13C-NMR (CDCl3, 125 MHz) δ: See [33].
Androsta-1, 4-diene-3, 17-dione 3
White solid (3.9 mg); M. p.: 221-224 °C; [α][25]D: -61° (c = 0.15, MeOH); Rf: 0.38 (Pet. Ether/EtOAc 50:50); EI-MS m/z (rel. int., %): m/z 284 [M+] (62), 227 (13), 194 (14), 181 (53), 135 (50), 122 (100), 91 (60), 55 (91); HREI-MS (mol. formula, calcd value): m/z 284.1793 (C19H24O2, 284.1776); 1H-NMR (CDCl3, 500 MHz) δ: 7.02 (1H, d, J (1, 2)= 10.1 Hz, H-1), 6.22 (1H, dd, J (2, 1)= 10.1 Hz, J (2(a, b))= 1.7 Hz, H-2), 6.04 (1H, s, H-4), 1.08 (3H, s, Me-19), 0.91 (3H, s, Me-18); 13C-NMR (CDCl3, 125 MHz) δ: 188.1 (C-3), 168.1 (C-5), 159.0 (C-1), 127.7 (C-2), 124.1 (C-4), 53.8 (C-9), 50.0 (C-14), 18.3 (C-19).
7α, 17β-dihydroxyandrosta-1, 4-dien-3-one 4
Colorless crystalline solid (3.3 mg); M. p.: 218-219 °C. [α][25]D: 97° (c = 1.1, MeOH); Rf: 0.5 (Pet. Ether/EtOAc 50:50); EI-MS m/z (rel. int., %): m/z 302 [M+] (3), 284 (3), 268 (3), 224 (5), 186 (7), 160 (57), 122 (81), 91 (47), 55 (100); HREI-MS (mol. formula, calcd value): m/z 302.1161 (C19H26O3, 302.1128); 1H-NMR (CDCl3, 500 MHz) δ: 7.28 (1H, d, J (1, 2)= 10.1 Hz, H-1), 6.20 (1H, dd, J (2, 1)= 10.1 Hz, J (2(a, b))=1.7 Hz, H-2), 6.07 (1H, s, H-4), 3.94 (1H, brs, W1/2= 8.1 Hz H-7β), 3.52 (1H, t, J (17, 16)= 8.5, H-17), 1.65 (1H, m, Ha-6), 1.30 (3H, s, H-19), 0.91 (3H, s, Me-18); 13C NMR (CDCl3, 125 MHz) δ: 186.0 (C-3), 170.1 (C-5), 159.1 (C-1), 127.7 (C-2), 124.1 (C-4), 82.5 (C-17), 67.5 (C-7), 40.5 (C-8), 31.1 (C-6), 18.9 (C-19).
11α-hydroxyandrosta-1, 4-diene-3, 17-dione 5
White solid (4.2 mg); M. p.: 187-188 °C. [α][25]D: 111° (c = 0.1, MeOH); Rf: 0.4 (Pet. Ether/EtOAc 60:40); EI-MS m/z (rel. int., %): m/z 300 [M+] (22), 284 (50), 181 (90), 141 (62), 91 (31), 55 (100); HREI-MS (mol. formula, calcd value): m/z 300.1709 (C19H24O3, 300.1749); 1H-NMR (CDCl3, 500 MHz) δ: See [34]; 13C-NMR (CDCl3, 125 MHz) δ: See [36].
RESULTS AND DISCUSSION
Metabolism of 1 by solid phase culture of F. oxysporum yielded four oxidative metabolites 2-5 (Scheme 2). Structures of the metabolites were deduced through comparative spectroscopic studies with substrate 1.
The HREI-MS of metabolite 2 exhibited an M+at m/z 286.1977, corresponding to the molecular formula C19H26O2 (calc. 286.1933), 4 amu. deduced than 1, indicating the oxidation occur during fermentation process. The 1H-NMR spectrum of 2 was found to be substantially different from the substrate 1. It showed three new olefinic signals resonated at δ 7.03, 6.20 and 6.04, indicating the introduction of at least two double bonds at C-1/C-2 and C-4/C-5 [12]. Oxidation in ring A of 2 was further supported by COSY and HMBC interactions. The structure of the known compound 2 (17β-hydroxyandrosta-1, 4-dien-3-one) was further deduced by comparison with the reported data (Scheme 2) [33]. This compound was previously obtained by the microbial transformation of androsta-1, 4-diene-3, 17-dione by Acremonium strictum [33].
The HREI-MS of metabolite 3 exhibited an M+at m/z 284.1793, corresponding to the molecular formula C19H24O2 (calc. 284.1776). The 1H-NMR spectrum of metabolite 3 was substantially different from the substrate 1. Characteristics signals at δ 7.02 (d, J(1, 2) = 10.1 Hz) and 6.22 (dd, J(2, 1) = 10.1 Hz, J(2(a-b)) = 1.7 Hz) were assigned to the mutually coupled H-1 and H-2 olefinic proton signals, while H-4 appeared as a singlet at δ 6.04. The 13C NMR spectrum showed the appearance of three signals at δ 159.0, 127.7 and 124.1 as compared to substrate 1, which were assigned to the C-1, C-2, and C-4 methine carbons, respectively. The metabolite 3 was deduced as androsta-1, 4-diene-3, 17-dione (Scheme 2). Metabolite 3 was previously reported as a bio transformed product of progesterone [34].
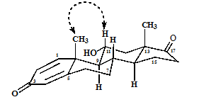
Metabolite 4 was found more polar on TLC as compared to substrate 1 [12]. The HREI-MS of metabolite 4 exhibited an M+ at m/z 302.1161, corresponding to the molecular formula C19H26O3 (calc. 302.1128). Compound 4 was found to be 7α-hydroxyl derivative of 17β-hydroxyandrosta-1, 4-dien-3-one (2), based on NMR signals resonated at δ 3.95/δC 67.5. The position of the newly introduced hydroxyl at C-7 position was inferred from the HMBC coupling of C-7 proton with C-5 (δ 170.1), C-6 (δ 31.1) and C-8 (δ 40.5). The stereochemistry of the newly introduced OH group at C-7 was assigned to be α (axial) on the basis of NOESY correlations between H-7 (δ 3.95) and H-8β (δ 1.82) (fig. 2). The metabolite 4 was deduced as 7α, 17β-dihydroxyandrosta-1, 4-dien-3-one (Scheme 2). Metabolite 4 was previously obtained by the microbial transformation of testosterone by Botrytis cinerea [35].
Metabolite 5 was also found more polar on TLC as compared to substrate 1 [12]. The HREI-MS of metabolite 5 exhibited an M+at m/z 300.1709, corresponding to the molecular formula C19H24O3 (calc. 300.1749). Metabolite 5 was found to be 11α-hydroxy derivative of 3, based on NMR signals resonated at δ 4.10/δC 67.8. Hydroxylation at C-11 was further supported by HMBC correlations of H2-12 (δ 2.05, 1.51) and Me-18 (δ 0.90) with C-11 (δ 67.8). The axial orientation of C-11 proton was deduced on the basis of NOESY correlation of H-11 (δ 4.10) with Me-19 (δ 1.29) (fig. 3) and multiplicity of H-11 (δH 4.10, ddd, J11e, 9a = 15.3 Hz, J11a, 12a = 10.7 Hz, J11a, 12e = 5.2 Hz). The metabolite 5 was deduced as 11α-hydroxyandrosta-1, 4-diene-3, 17-dione (Scheme 2). Metabolite 5 was previously reported as a microbial metabolite of androsta-1, 4-diene-3, 17-dione [36].
Scheme 2: Solid phase fermentation of dihydrotestosterone 1 with F. Oxysporum
![]() |
![]() |
| Fig. 2: Key correlations of compound 4 in NOESY spectrum | Fig. 3: Key correlations of compound 5 in NOESY spectrum |
CONCLUSION
In this paper, we focus on the course of metabolism of dihydrotestosterone (1) by solid phase culture of F. oxysporum for the first time. A number of hydroxylated derivatives 2-5 of dihydrotestosterone (1) were synthesized through microbial fermentation with F. oxysporum. It is an efficient method for the hydroxylation and oxidation reactions of 1. Incubation of 1 for 8 days with F. oxysporum, yielded four oxidative transformed products 2-5. Detailed structural information of all oxidative metabolites was elucidated by using spectroscopic techniques. In future, biotransformation processes might cut the manufacturing cost of steroidal pharmaceuticals and could be more competitive to the current synthetic and isolation protocols.
ACKNOWLEDGMENT
Syed Adnan Ali Shah would like to acknowledge the Ministry of Higher Education (MOHE) for financial support under the Fundamental Research Grant Scheme (FRGS) with reference numbers 600-RMI/FRGS 5/3 (12/2012) and Sadia Sultan would like to acknowledge the Ministry of Higher Education (MOHE) for financial support under the ERGS with reference numbers 600-RMI/ 5/3 (4/2012).
CONFLICT OF INTERESTS
Declared None
REFERENCES