1Department of Pharmaceutics, Faculty of Pharmacy, Suez Canal University, Ismailia, Egypt, 2Department of Pharmaceutics, Faculty of Pharmacy, Horus University, New Damietta, Egypt, 3Department of Microbiology and Immunology, Faculty of Pharmacy, Suez Canal University, Ismailia, Egypt
Email: Ahmed_mahmoud@pharm.suez.edu.eg
Received: 18 Mar 2019 Revised and Accepted: 31 May 2019
ABSTRACT
Objective: The main purpose of this work was to prepare tolnaftate (TOL) loaded nanostructured lipid carriers (NLCs), Evaluate its characteristics and in vitro release study.
Methods: Tolnaftate loaded Nanostructured lipid carriers were prepared by the high shear homogenization method using different liquid lipids types (DERMAROL DCO® and DERMAROL CCT®) and concentrations, different concentration ratios of tween80® to span20® and different homogenization speeds. All the formulated nanoparticles were subjected to particle size (PS), zeta potential (ZP), polydispersity index (PI), drug entrapment efficiency (EE), Differential Scanning Calorimetry (DSC), Transmission Electron microscopy (TEM), release kinetics and in vitro release study was determined.
Results: The results revealed that NLC dispersions had spherical shapes with an average size between 154.966±1.85 nm and 1078.4±103.02 nm. High entrapment efficiency was obtained with negatively charged zeta potential with PDI value ranging from 0.291±0.02 to 0.985±0.02. The release profiles of all formulations were characterized by a sustained release behavior over 24 h and the release rates increased as the amount of surfactant decreased. The release rate of TOL is expressed following the theoretical model by Higuchi.
Conclusion: From this study, It can be concluded that NLCs are a good carrier for tolnaftate delivery
Keywords: Nanostructured lipid carriers, High shear homogenization method, Topical antifungal drug
© 2019 The Authors. Published by Innovare Academic Sciences Pvt Ltd. This is an open-access article under the CC BY license (http://creativecommons.org/licenses/by/4.0/)
DOI: http://dx.doi.org/10.22159/ijpps.2019v11i7.33115
Topical drug conveyance system is a satisfying method for local and systemic treatment. The conveyance of medication topically is the best treatment for the skin diseases [1].
Topical treatment of fungal infections has several advantages such as targeting the site of infection, decrease the systemic side effects, increase the efficacy of treatment and high patient compliance. There are different types of topically effective antifungal drugs used in the treatment of dermatological skin infections. The activity of the topical antifungal drug depends on the penetration of drugs through the target tissue. So, the effective drug concentration levels should be achieved in the skin. In the topical administration of antifungals, the drug substances should pass through the outermost layer of the skin, which called stratum corneum, to reach the lower layers of the skin. In this stage, the formulation may play an important role in the penetration of drugs into the skin [2]. Several problems may find with some topical formulations, e. g. low permeability through the stratum corneum so low systemic absorption [3]. Delivery of antifungal agent into the skin can be improved with the carriers including colloidal systems, vesicular carriers, and nanoparticles [4]. Novel drug delivery systems based on lipid nanoparticles can increase the permeability of both hydrophilic and lipophilic drugs [5]. NLCs made out of a strong lipid network with a sure substance of a fluid lipid are another era of lipid nanoparticles. the employment of a lipid mix of solid and liquid forms can deform the production of a perfect crystal. The particle-matrix contains imperfections, providing space to accommodate the drug molecules in amorphous clusters [6]. NLCs are viewed as a more advanced era of nanoparticles, which have enhanced properties for drug loading, adjustment of the delivery profile, and stable medication during storage [7-10]. Because of the lipophilic content of the NLCs they are considered especially helpful in the administration of lipophilic medication. Tolnaftate is a synthetic thiocarbamate with a naphthalene, 3-methyl phenyl rings in its structure, and it hinders squalene epoxidase [11]. Squalene epoxidase is an essential enzyme in the pathway of ergosterol formation (ergosterol is an important component of the fungal membrane). The only way for tolnaftate activity is to be applied topically; it is inactive when taken orally or by other routes [12]. Tolnaftate is found in the market in different topical dosage forms with 1% concentration in the form of cream, powder, spray and liquid aerosol. But each type has some disadvantages. Aerosols cause mild, temporary stinging, while creams and gels need longer time for curing and decreases the patient compliance because of their poor penetration. The Colloidal drug delivery system is used to enhance the permeability of the drug without affecting its efficacy [13]. Tolnaftate loaded NLCs provide an effective method to increase the release, stability and patient compliance of tolnaftate dosage form. The objective of the present work was to prepare tolnaftate loaded NLC and evaluate its characteristics and in vitro release study.
Materials
Tolnaftate® (Methyl [3-Methyl Phenyl] Carbamothioic Acid O-2-Naphthalenyl) was obtained from Sigma Chemical Company, St. Louis, USA, Naterol GMS® (Glyceryl stearate) was obtained from CISME Italy S. N. C. via Heinrich's commercial agency, Dermarol DCO® is an ester of decyl alcohol and oleic acid (Decyl Oleate) was obtained from CISME Italy S. N. C. via Heinrich's commercial agency, Dermarol CCT® is a mixed tri-ester of glycerin and Caprylic and Capric acids (Caprylic/Capric triglyceride) was obtained from CISME Italy S. N. C. via Heinrich's commercial agency, Tween 80® (Polysorbate80) was obtained from CISME Italy S. N. C. via Heinrich's commercial agency, Span 20® (Sorbitan monolaurate) was obtained from CISME Italy S. N. C. via Heinrich's commercial agency, Lecithin® was obtained from CISME Italy S. N. C. via Heinrich's commercial agency, Dialysis tubing cellulose membrane (molecular weight cutoff 12,000-14,000 g/mole) was supplied by Sigma-Aldrich (St. Louis, USA), Methanol, Ethanol, and Phosphate buffer were of HPLC grade.
Methods
Development of calibration curve for tolnaftate
Tolnaftate was accurately weighed (100 mg) and dissolved in 100 ml of media (Ethanol) in 100 ml volumetric flask (concentrated solution). a stock solution was prepared by taking 10 ml of a concentrated solution in 100 ml of ethanol. Two millimeters of the stock solution were withdrawn and diluted up to 10 ml with ethanol in 10 ml volumetric flask (standard working solution). The λmax of the drug was determined by scanning the dilutions between 200 to 400 nm using a UV-visible spectrophotometer (Shimadzu UV spectrophotometer, UV-1601, Japan) [11]. From the above standard working solution, 0.5, 1, 1.5, 2 and 2.5 ml were withdrawn and diluted up to 10 ml with ethanol in 10 ml volumetric flask to get a concentration of 1, 2, 3, 4 and 5 µg respectively. The absorbance of each solution was measured by UV-visible spectrophotometer (Shimadzu UV spectrophotometer, UV-1601, Japan) using ethanol as blank at the previously detected λ max.
Preparation of tolnaftate loaded NLCs
Tolnaftate loaded NLCs were prepared by high shear homogenization method [14, 15]. Briefly, the lipid phase consisted of Naterol GMS®, as solid lipid was melted at 80 °C tolnaftate was dispersed in the melted lipid, then mixed with the liquid lipid Dermarol DCO® or Dermarol CCT® and added to the Oily surfactants (Span 20® and Lecithin®). An aqueous surfactant phase consists of Tween 80® was heated up to the same temperature of the molten lipid phase. The hot surfactant solution was poured onto the hot lipid phase and homogenization was carried out at 12 000 or 18 000 rpm for 4 cycles (2 min with 30 s off) using high shear Homogenizer (IKA T25 digital Ultra–Turrax Germany) And leave to cool to room temperature.
Determination of drug entrapment efficiency
The amount of tolnaftate entrapped within NLC was determined by measuring the amount of non-entrapped tolnaftate in supernatant recovered after centrifugation [16] using (Hettich centrifuge, Mikro 22 R, Germany). The non-entrapped tolnaftate was measured by adding 1 ml of tolnaftate loaded NLCs to 9 ml methanol and then this mixture was centrifuged for 30 min at-4˚C, then the collected supernatant was filtered with (0.2 µm) Millipore membrane filter, diluted with methanol and measured spectrometrically at λ =257 nm [17].
The following equation was used to calculate the entrapment efficiency (E. E %):

×100
Measurement of particle size and polydispersity index
Laser diffraction particle size analyzer (Master seizer Hydro MU 2000S, Malvern MU instruments, United Kingdom) was used to measure the Particle size (PS) and polydispersity index (PDI), at 25 °C for 60 s. The aqueous NLC dispersion was diluted with distilled water before analysis. Each sample was measured in triplicate.
Measurement of zeta potential (ζ)
The zeta potential (ZP) of NLC dispersions was measured at 25 °C using (Malvern Zetasize Nano-ZS90, United Kingdom). Each sample was measured in triplicate, the mean value±SD for the three replicates was calculated.
Transmission electron microscopy (TEM)
Transmission electron microscopy (JEOL JEM-2100, Japan) was used to examine the morphologies of the NLC. Phosphotungstic acid 2 % (W/V) was used to stain one drop of the diluted sample for 30 s and placed on copper grids with films for examination. Digital Micrograph and Soft Imaging Viewer software were used to perform the image capture and analysis, including particle sizing [18].
Differential scanning calorimetry (DSC)
Thermal characteristics of Drug, Lipid, Physical mixture and NLC loaded tolnaftate were determined by differential scanning calorimetry using (DSC-50 SHIMADZU, Japan). Samples containing 3 mg were weighed accurately into standard aluminum pans using an empty pan as a reference. DSC scans were recorded at a heating and cooling rate of 10 °C/min. The samples were heated from 30-150 °C and cooled from 150-30 °C. In vitro antifungal activity of Tolnaftate nanostructured lipid carrier compared to the generic Tolnaftate against Candida albicans.
Candida albicans isolates
Ten C. albicans isolates were provided from the department of Microbiology and Immunology, College of Pharmacy-Suez Canal University. The isolates were saved on Sabouraud Dextrose Agar media.
Fungal suspensions preparation
Sabouraud Dextrose Agar (SDA) plates were prepared and sterilized by autoclaving at 121 °C for 15 min. Fungal suspensions were prepared from fresh 24 h cultures. Five isolated colonies were suspended in sterile saline. After thorough mixing with a Vortex mixer, the turbidity of the suspension was adjusted to match that of a McFarland 0.5 turbidity standard at 530 nm [19, 20].
Preparation of working solution of tolnaftate nanostructured lipid carriers and tolnaftate solution
The prepared formula was poorly water soluble and was dissolved in Dimethyl Sulfoxide (DMSO), the final DMSO concentration used was shown not to influence fungal growth. One milliliter of 1% (250 mg/25 ml) nanoparticle formula was added to 5.25 ml of solvent (DMSO) so the concentration becomes 1600 ug/ml. Two-fold serial dilution with DMSO diluent was performed from the first tube so the concentrations in the following nine tubes became (800, 400, 200, 100, 50, 25, 12.5, 6.25, 3.125, 1.56, 0.78, and 0.39) ug/ml. From the 0.5% (250 mg/50 ml) tolnaftate solution, 2 ml were taken and were added to 4.25 ml of solvent (96% ethanol) so the conc. becomes 1600 ug/ml. Two-fold serial dilutions were performed with sterile water as previously explained.
Agar cup-plate method
One hundred microliters of McFarland 0.5 turbidity standardized fungal suspension was placed in a sterile plastic petri dish. Ten milliliters of sterile SDA were poured and mixed well with the fungal suspension, let harden. Each plate was divided into four equal portions along the diameter; four wells of 5 mm diameters were prepared via sterile borer in each petri-plate [20]. For each Candida albicans isolate, three SDA plate was used for each formula as follow: One hundred microliters from each concentration (starting from conc. 100 ug/ml) were placed in each well (four concentrations in each plates) in addition to two negative control wells (inoculated with sterile water and DMSO) and positive control plate which was seeded with the test organism. The prepared plates were maintained at room temperature for 2 h to allow the diffusion of the solutions in to the medium and then incubated at 28 °C for 48 h. The diameter of zones of inhibition surrounding each of the well was recorded using standard ruler. The experiment was repeated twice for each isolate.
Broth microdilution method
Sabouraud Dextrose Broth (SDB) tubes were prepared and sterilized by autoclaving at 121 °C for 15 min. In a 96-well microtiter plate, 100 ul of the prepared formula Nano formula or tolnaftate solution (as previously diluted) were taken and placed in the 1st well of microtitre plate. 50 ul of sterile saline were added in each of the remaining wells, 50 ul from the first well were taken to be serially diluted by placing them in the second well and continued serial dilution to the last well of the raw, the excess 50 ul from the 10th well were discarded [20].
One ml of inoculum standardized with 0.5 McFarland was diluted with SDB (1:100) to obtain 1-2X106CFU/ml. (Therefore, 0.02 ml of inoculum after comparing with 0.5Mcfarland is diluted with 1.98 ml of SDB. 50ul of inoculum were then added into each of the prepared wells (each well containing 5X104 CFU/ml in 100 ul vol.). In addition to positive control well with inoculum without antifungal agent and negative control well with diluted antifungal drug formula without inoculum. The microtiter plates were then incubated at 28 °C for (24–48) h. The experiment was repeated twice for each isolate. The minimum inhibitory concentration will be calculated by the sum of the concentrations of the last well show no growth and the first well show turbidity.
In vitro release studies
The in vitro release studies were performed by using a dialysis bag diffusion technique [21]. Before using the dialysis bag (molecular weight cut off 12000–14000) it was soaked in deionized water for 12 h [22]. The cellulose bag was filled with the NLC dispersions equivalent to 2.5 mg of drug and tied at both ends and placed in a beaker containing 50 ml of phosphate buffer (pH 5.5), temperature and speed were maintained at 32 °C and 100 rpm, respectively[23]. Samples were withdrawn at predetermined time intervals, and the same volume was replaced with the fresh buffer to maintain the sink condition. Samples were analyzed at 257 nm using UV spectrophotometer (Shimadzu UV-1601, Japan). The cumulative percent of drug released was plotted against time. The order of the drug released from the different formulations was determined through analysis of the data using linear regression equations (zero order, first order or Higuchi diffusion model).
Release Kinetics
In vitro release data were analyzed according to zero-order [24] (cumulative % release vs. time), first order [25] (log % drug remaining vs. time), and Higuchi’s model [26] (cumulative % drug release vs. square root of time). The goodness of fit was evaluated using the determination coefficient (R2). Korsmeyer–Peppas kinetic model was also used to describe the release mechanism applying the equation mt/m∞= ktn where mt/m∞ is the fraction of drug released, k is the kinetic constant, t is the release time, and n is the diffusional exponent for drug release and it equals the slope of log mt/m∞ vs. log time curve [27]. The model with the highest correlation coefficient (r2) was considered to describe LE release from the prepared formulations.
Standard curve for tolnaftate
The UV absorbance of tolnaftate standard solutions was in the range of 10-50µg/ml of drug in ethanol showed linearity at 257 nm. The linearity was plotted for absorbance (Abs) against concentration (µg/ml) with R2 value of 0.9947 and with the slope equation y =0.0116x+0.0034 as shown in fig. 1.

Fig. 1: Standard calibration curve of tolnaftate in UV spectrophotometer
Preparation of tolnaftate loaded NLCs
Nine different tolnaftate loaded NLCs formulations produced by high shear homogenization method [28] are presented in tables 1 and 2. We used Naterol GMS® as solid lipid in a concentration of 10% (w/w), Dermarol DCO® or Dermarol CCT® as liquid lipids in a concentration of 90% (w/w) with 1% tolnaftate and stabilized by 1% (w/w) lecithin® as co-surfactant and different ratios of surfactant concentrations Tween80® and Span20® (2.5/1, 5/1, 10/1, 15/1) w/w%. The formulation (NLC 45R) showing low particle size and high drug release were chosen for DSC and microbiological assay.
Table 1: Structure of tolnaftate loaded NLC formulae prepared at 18,000 Rpm using liquid lipid dermarol CCT® or dermarol DCO® and different surfactant ratio
| Formulae code | Naterol GMS (w/w%) | Liquid lipid (w/w%) | Type of liquid lipid | Tween/Span |
| NLC9R | 10% | 90% | DCO | 2.5/1 |
| NLC45R | 10% | 90% | CCT | 2.5/1 |
| NLC54R | 10% | 90% | CCT | 5/1 |
| NLC72R | 10% | 90% | CCT | 15/1 |
Table 2: Structure of tolnaftate loaded NLC formulae prepared at 12,000 Rpm using liquid lipid dermarol CCT® or dermarol DCO® and different surfactant ratio
| Formulae code | Naterol GMS (w/w%) | Liquid lipid (w/w%) | Type of liquid lipid | Tween/Span |
| NLC36 | 10% | 90% | DCO | 15/1 |
| NLC45 | 10% | 90% | CCT | 2.5/1 |
| NLC54 | 10% | 90% | CCT | 5/1 |
| NLC63 | 10% | 90% | CCT | 10/1 |
| NLC72 | 10% | 90% | CCT | 15/1 |
Measurement of polydispersity index zetasize and zeta potential of loaded NLCs
The mean particle size, polydispersity index and zeta potential of TOL loaded NLCs are presented in table 3. The sizes of all NLCs formulae are ranging from 154.966±1.85 nm to 1060.1±86.08 nm. The results reveal that the particle size increase with increasing the surfactant concentration ratio, at a high surfactant concentration some surfactant molecules may increase the local osmotic pressure, which causes moving of continuous phase between some droplets to them, and this cause depletion of the continuous phase between the drops and the aggregation happened and so the particle size increase [29]. The polydispersity index is a ratio that indicates the homogeneity of the distribution of the particle size in the system. A homogeneous and monodisperse population resulted when the PDI value lower than 0.3 [30]. For TOL loaded NLCs, PDI values ranged from 0.291±0.02 nm to 0.985±0.02 nm indicating wide particle size distribution only NLCs 45R with surfactant ratio 2.5/1 w/w % formula indicating homogenous population as presented in table III. The uniformity of the vesicle size in the formulation decrease as the polydispersity index increase [31]. The zeta potential value affects the stability of colloidal dispersion [22]. For stable nanoparticles system the zeta potential value should be above+30 mv or below-30 mv [32]. The results of TOL loaded NLCs showed relatively good stability and dispersion quality.
Table 3: Particle size, zeta potential, PDI and EE (%) of TOL loaded NLC
| Formula | E. E. (%) | PS (nm) | ZP (mv) | PDI |
| NLC9R | 76.05±0.18 | 166.16±5.32 | -27.96±1.72 | 0.451±0.03 |
| NLC45R | 78.85±0.69 | 154.966±1.85 | -29.6±0.2 | 0.291±0.02 |
| NLC54R | 80.70±1.03 | 270.33±16.31 | -23.46±1.94 | 0.754±0.11 |
| NLC72R | 86.0±0.65 | 1060.1±86.08 | -15.53±0.37 | 0.985±0.02 |
| NLC36 | 83.89±0.72 | 198.233±11.73 | -20.7±1.22 | 0.455±0.06 |
| NLC45 | 69.02±0.36 | 195.56±7.17 | -29.33±0.49 | 0.482±0.03 |
| NLC54 | 81.09±0.71 | 225.73±7 | -27.33±2.15 | 0.505±0.09 |
| NLC63 | 82.30±0.71 | 422.88±57.92 | -19.2±1.1 | 0.702±0.09 |
| NLC72 | 86.61±1.19 | 687.96±63.76 | -16.8±0.75 | 0.965±0.04 |
NLC nanostructured lipid carrier E. E entrapment efficiency, PS particle size ZP zeta potential, PDI polydispersity index, (mean±SD, N=3)

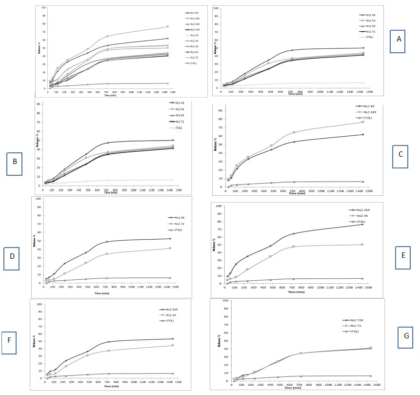
Fig. 2: In vitro release profile of tolnaftate and effect of (A) Surfactant ratio on release of tolnaftate loaded NLC prepared at homogenization speed 18,000 rpm, (B) surfactant ratio on release of tolnaftate loaded NLC prepared at homogenization speed 12,000 rpm, (C) lipid type on release of tolnaftate loaded NLC prepared at homogenization speed 18,000 rpm, (D) lipid type on release of tolnaftate loaded NLC prepared at homogenization speed 12,000 rpm, (E) homogenization speed on release of tolnaftate loaded NLC prepared at surfactant ratio 2.5/1, (F) homogenization speed on release of Tolnaftate loaded NLC prepared at surfactant ratio 5/1 and (G) homogenization speed on release of tolnaftate loaded NLC prepared at surfactant ratio 15/1
In vitro release study
The in vitro drug release profiles of TOL loaded NLCs are shown in fig. [2]. The release of TOL from the NLC particles was investigated for 24 hr. The maximum amount of TOL released was found in the formulation (NLC 45R) as shown in fig. 2. The high liquid lipid conc. resulted in high drug release, which can be explained by the adherence of liquid lipid to the lipid matrix and a subsequent reduction in the diffusion path length of the lipid matrix [22]. Increasing the surfactant ratio cause particle aggregation and increased particle size, so a decrease in surface area and drug release was found [29]. The release profile increased by using Dermarol CCT® as liquid lipid due to its effect on decreasing the particle size and the following increase in drug solubilization and release potential [33]. As shown in fig. [2] increasing the homogenization speed led to an increase in drug release. during particle production by the hot homogenization technique, drug partitions from the liquid oil phase to the aqueous water phase, so the solubility of the drug increase in water and the amount of drug partitioning to the water phase will increase. The higher the temperature, the greater is the solubility of the drug in the water phase, so the amount of drug in the outer shell increased and released in a relatively rapid way [34]. The release data are analyzed according to zero, first order and Higuchi equations which are widely used in determining the release kinetics of lipid nanoparticles. The release rate of TOL is expressed following the theoretical model by Higuchi as the amount of TOL released from the NLC formulations studied showed a linear relationship with the square root of time [35].
Release Kinetics
In vitro release data were best explained by the Higuchi model for all formulations suggesting diffusion-controlled release table 4. Accordingly, the exponent (n) values, particularly for gels and drops, were 0.5˂ n ˂ 1, indicating non-Fickian diffusion mechanism [27].
Table 4: Kinetic modeling of drug release data in NLCs formula
| Formula code | Correlation coefficient (r) | Release Kinetics | Korsmeyer peppers | ||||
| Zero | First | Higuchi | r2 | N | Mechanism | ||
| NLC9R | 0.8177 | 0.8954 | 0.9516 | Higuchi | 0.9642 | 0.5726 | Non-Fickian |
| NLC45R | 0.8698 | 0.9589 | 0.9748 | Higuchi | 0.9807 | 0.5673 | Non-Fickian |
| NLC54R | 0.8305 | 0.8711 | 0.9461 | Higuchi | 0.9753 | 0.6288 | Non-Fickian |
| NLC72R | 0.8822 | 0.9083 | 0.9589 | Higuchi | 0.9797 | 0.7977 | Non-Fickian |
| NLC36 | 0.8209 | 0.8609 | 0.941 | Higuchi | 0.9714 | 0.6779 | Non-Fickian |
| NLC45 | 0.8191 | 0.8494 | 0.9297 | Higuchi | 0.9656 | 0.7238 | Non-Fickian |
| NLC54 | 0.8514 | 0.8885 | 0.9514 | Higuchi | 0.9548 | 0.7284 | Non-Fickian |
| NLC63 | 0.8958 | 0.9239 | 0.9655 | Higuchi | 0.9685 | 0.7603 | Non-Fickian |
| NLC72 | 0.8937 | 0.9201 | 0.9618 | Higuchi | 0.9717 | 0.8076 | Non-Fickian |
| Drug | 0.7386 | 0.7452 | 0.8955 | Higuchi | 0.6886 | 0.9164 | Non-Fickian |

Fig. 3: Transmission electron micrographs of (A) NLC 9R, (B) NLC 45R, (C) NLC 54R, (D) NLC 72R, (E) NLC 36, (F) NLC 45, (G) NLC 54, (H) NLC 63 and (I) NLC 72, displaced for better visualization
Transmission electron microscopy (TEM)
The results of TEM imaging of TOL loaded NLC, which are shown in fig. [3] indicate that the particles had nanometer-size spherical shapes, and no drug crystal was noticed [36].
Differential scanning calorimetry (DSC)
DSC is used to determine the melting and recrystallization performance of crystalline material like NLCs [37]. DSC studies were carried out to confirm compatibility. The physical state of the NLC lipid matrix should be in the form of solid. DSC studies showed that all formulations having a melting point over 40 °C which represents the solid state at room temperature [38]. The thermal behavior of drug, Dermarol CCT, physical mixture compared with the thermal behavior of TOL loaded NLC formulae in the range of 20-200 °C are shown in fig. [4]. The DSC heating curves were recorded as a plot of enthalpy (m/w) vs. temperature ( °C) [39]. TOL thermogram demonstrates a sharp endothermic peak at 111.97 °C. A sharp endothermic peak at 61.89 °C was observed for Dermarol CCT. Two sharp endothermic peaks at 60.02 °C and 105.58 °C were shown for the physical mixture thermogram. The endotherm of the drug was absent in the thermograms of TOL loaded NLC. This absence indicates that the drug was completely solubilized inside the lipid matrix of the NLC or an amorphous dispersion of TOL in the lipid matrix is formed. For the less ordered crystal, the melting of the substance requires less energy than the perfect crystalline substance. Some studies show that if the substance has a high melting point value, this would suggest highly ordered lattice arrangement [40]. It is thought that increase the surface area of the amorphous form lead to increase its energy which lead to increase the solubility, dissolution rates and bioavailability of the incorporated drug [41]. In the final NLC formulation, a decrease in the melting point of the lipid, from 60.02 °C to 57.26 °C due to the incorporation of TOL inside the lipid matrix which led to more defects in the lipid crystal lattice. This decrease in the melting point may be due to the presence of surfactant, the nanoparticle size and the high surface area (Kelvin effect) [42]. Kelvin suggested that the melting temperature of the small particles is smaller than that of the bulk materials.

Fig. 4: Differential scanning calorimetry thermograms of pure TOL, Dermarol CCT, Physical mixture and NLC formulation (NLC 45R), displaced for better comparison
In vitro antifungal activity of tolnaftate nanostructured lipid carrier compared to tolnaftate solution against candida albicans
Preparation of working solution of tolnaftate nanostructured lipid carriers and tolnaftate solution
Agar cup-plate method
Antifungal activity was conducted for the two formulas of tolnaftate using ten clinical C. albicans isolates. Inhibition zone diameters have shown the non-significant difference in antifungal activity for the Nano-formula compared to the generic formula. Two isolates were found resistant to tolnaftate; they showed some antifungal activity in concentrations above 3 ug/ml.
Broth microdilution method
The aim of this experiment was to determine the minimum inhibitory concentration (MIC) which defined as the lowest concentration of an antimicrobial that will inhibit the visible growth of a micro-organism after overnight incubation. MIC was found to be 0.58 ug/ml for the two formulas. C. albicans causes a wide range of infections such as diaper candidiasis, oral and vaginal candidiasis, in addition to systemic infections [43]. The antifungal activity of the two formulas of tolnaftate showed no significant difference in antifungal activity and MIC. MIC was found to be 0.58 ug/ml for as shown in table 5. There were two resistant isolates (number 4 and 7) which required more conc. Than the MIC to be killed.
Table 5: The MIC of the 10 isolates of C. Albicans of tolnaftate nanostructured lipid carriers compared to the generic tolnaftate
| Strain number | Nano-formula MIC | Generic formula MIC |
| 1 | 0.58 ug/ml | 0.58 ug/ml |
| 2 | 0.58 ug/ml | 0.58 ug/ml |
| 3 | 0.58 ug/ml | 0.58 ug/ml |
| 4 | 2.34 ug/ml | 4.68 ug/ml |
| 5 | 0.58 ug/ml | 0.58 ug/ml |
| 6 | 0.58 ug/ml | 0.58 ug/ml |
| 7 | 4.68 ug/ml | 4.68 ug/ml |
| 8 | 0.58 ug/ml | 1.17 ug/ml |
| 9 | 1.17 ug/ml | 1.17 ug/ml |
| 10 | 0.58 ug/ml | 0.58 ug/ml |
MIC minimum inhibitory concentration
In this study tolnaftate loaded nanostructured lipid carriers were successfully prepared via high shear homogenization method using solid lipid (Naterol GMS®) and liquid lipids (Dermarol CCT® and Dermarol DCO®) in the presence of non-ionic surfactants (Tween 80® and Span 20®) and Lecithin as co-surfactant. The optimum NLCs particle size formulae were loaded with tolnaftate, the particle size, zeta potential, polydispersity, TEM, DCS and in vitro release kinetics were investigated. The antifungal activity of the two formulas of tolnaftate showed no significant difference in antifungal activity and MIC. In vitro release results indicated that formula (NLC 45R) was the best formula as it showed the most delayed release pattern of drug. Formula (NLC 45R) showed drug release pattern followed Higuchi kinetic model. The results of the master sizer, TEM and Zetasizer confirmed that particles are in nano-size range.
Deep thanks to Dr. Samar Mansour Solyman, lecturer of Microbiology and Immunology, Faculty of Pharmacy, Suez Canal University for her work in the microbiological assay.
Author Ahmed Gardouh designed the study, aided in methods, writing of discussion and critical review of paper, author Samar Hamed carried out experiments, writing of results and critical review of paper, while author Samar Solyman prepared fungal media, carried out experiment of antifungal activity, and critical review of paper.
Declare none
Mehnert W, Mäder K. Solid lipid nanoparticles: production, characterization and applications. Adv Drug Delivery Rev 2001;47:165-96.
Lee CM, Maibach HI. Deep percutaneous penetration into muscles and joints. J Pharm Sci 2006;95:1405-13.
Akhtar N, Verma A, Pathak K. Topical delivery of drugs for the effective treatment of fungal infections of skin. Curr Pharm Des 2015;21:2892-913.
Gungor S, Erdal MS, Aksu B. New formulation strategies in topical antifungal therapy. J Cosmet Dermatol Sci Appl 2013;3:56.
Battaglia L, Serpe L, Foglietta F, Muntoni E, Gallarate M, Del Pozo Rodriguez A, et al. Application of lipid nanoparticles to ocular drug delivery. Expert Opin Drug Delivery 2016;13:1743-57.
Jores K, Haberland A, Wartewig S, Mäder K, Mehnert W. Solid lipid nanoparticles (SLN) and oil-loaded SLN studied by spectrofluorometry and Raman spectroscopy. Pharm Res 2005;22:1887-97.
Muller R, Petersen R, Hommoss A, Pardeike J. Nanostructured lipid carriers (NLC) in cosmetic dermal products. Adv Drug Delivery Rev 2007;59:522-30.
Putranti AR, Primaharinastiti R, Hendradi E. Effectivity and physicochemical stability of nanostructured lipid carrier coenzyme Q10 in different ratio of lipid cetyl palmitate and alpha tocopheryl acetate as carrier. Asian J Pharm Clin Res 2017;10:146-52.
Duarah S, Pujari K, Durai R, Narayanan V. Nanotechnology-based cosmeceuticals: a review. Int J Appl Pharm 2016;8:1-12.
Abdelgawad R, Nasr M, Hamza M, Awad G. Topical and systemic dermal carriers for psoriasis. Int J Curr Pharm Res 2016;8:4-9.
Gunda SRC, Ganesh G. Formulation and evalutation of tolnaftate loaded topical liposomal gel for effective skin drug delivery to treat fungal diseases. J Chem Pharm Res 2014;6:856-66.
Kumar JR, Muralidharan S, Parasuraman S. Antifungal agents: new approach for novel delivery systems. J Pharm Sci Res 2014;6:229.
Meghana G, Karri VNR, Talluri SV, Trivedi D, Ganesh G. In vitro and in vivo behavior of liposomal gel for the treatment of topical fungal diseases. Int J PharmTech Res 2015;7:814-20.
Suraweera R, Pasansi H, Sakeena M. Assessing the characterizations of Ketoprofen loaded and unloaded virgin coconut oil based creamy nanoemulsion. Asian J Pharm Clin Res 2015;8:275-9.
Uner M. Preparation, characterization and physicochemical properties of solid lipid nanoparticles (SLN) and nanostructured lipid carriers (NLC): their benefits as colloidal drug carrier systems. Die Pharmazie An Int J Pharm Sci 2006;61:375-86.
Devarajan PV, Sonavane GS. Preparation and in vitro/in vivo evaluation of gliclazide loaded Eudragit nanoparticles as a sustained release carrier. Drug Dev Ind Pharm 2007;33:101-11.
Kumar VV, Chandrasekar D, Ramakrishna S, Kishan V, Rao YM, Diwan PV. Development and evaluation of nitrendipine loaded solid lipid nanoparticles: influence of wax and glyceride lipids on plasma pharmacokinetics. Int J Pharm 2007;335:167-75.
Yasir M, Sara UVS. Solid lipid nanoparticles for nose to brain delivery of haloperidol: in vitro drug release and pharmacokinetics evaluation. Acta Pharm Sin B 2014;4:454-63.
Barry AL, Brown SD. Fluconazole disk diffusion procedure for determining the susceptibility of Candida species. J Clin Microbiol 1996;34:2154-7.
Wayne P. USA: CLSI. Clinical and Laboratory Standards Institute. Performance Standards for Antimicrobial Susceptibility Testing. Twenty-Second Informational Supplement. CLSI Document; 2012. p. M100-S22.
Kushwaha AK, Vuddanda PR, Karunanidhi P, Singh SK, Singh S. Development and evaluation of solid lipid nanoparticles of raloxifene hydrochloride for enhanced bioavailability. BioMed Res Int 2013. http://dx.doi.org/10.1155/2013/584549
Thatipamula R, Palem C, Gannu R, Mudragada S, Yamsani M. Formulation and in vitro characterization of domperidone loaded solid lipid nanoparticles and nanostructured lipid carriers. Daru: J Fac Pharm Tehran Univ Med Sci 2011;19:23.
Khalil RM, Abd Elbary A, Kassem MA, Ghorab MM, Basha M. Nanostructured lipid carriers (NLCs) versus solid lipid nanoparticles (SLNs) for topical delivery of meloxicam. Pharm Dev Technol 2014;19:304-14.
Saparia B, Murthy RR, Solanki A. Preparation and evaluation of chloroquine phosphate microspheres using cross-linked gelatin for long-term drug delivery. Indian J Pharm Sci 2002;64:48.
Haznedar S, Dortunc B. Preparation and in vitro evaluation of Eudragit microspheres containing acetazolamide. Int J Pharm 2004;269:131-40.
Higuchi T. Mechanism of sustained‐action medication. Theoretical analysis of rate of release of solid drugs dispersed in solid matrices. J Pharm Sci 1963;52:1145-9.
Ritger PL, Peppas NA. A simple equation for description of solute release I. Fickian and non-fickian release from non-swellable devices in the form of slabs, spheres, cylinders or discs. J Controlled Release 1987;5:23-36.
Meleson K, Graves S, Mason TG. Formation of concentrated nanoemulsions by extreme shear. Soft Materials 2004;2:109-23.
Wulff Perez M, Torcello Gomez A, Galvez Ruiz M, Martin Rodriguez A. Stability of emulsions for parenteral feeding: preparation and characterization of o/w nanoemulsions with natural oils and Pluronic f68 as surfactant. Food Hydrocolloids 2009;23:1096-102.
Centis V, Vermette P. Physico-chemical properties and cytotoxicity assessment of PEG-modified liposomes containing human hemoglobin. Colloids Surf B Biointerfaces 2008;65:239-46.
Shakeel F, Baboota S, Ahuja A, Ali J, Aqil M, Shafiq S. Nanoemulsions as vehicles for transdermal delivery of aceclofenac. AAPS PharmSciTech 2007;8:191.
Muller R, Jacobs C, Kayser O. Nanosuspensions as particulate drug formulations in therapy: rationale for development and what we can expect for the future. Adv Drug Delivery Rev 2001;47:3-19.
Gaba B, Fazil M, Khan S, Ali A, Baboota S, Ali J. Nanostructured lipid carrier system for topical delivery of terbinafine hydrochloride. Bull Fac Pharm Cairo Univ 2015;53:147-59.
Schwarz C, Mehnert W, Lucks J, Müller R. Solid lipid nanoparticles (SLN) for controlled drug delivery. I. Production, characterization and sterilization. J Controlled Release 1994;30:83-96.
Higuchi WI. Analysis of data on the medicament release from ointments. J Pharm Sci 1962;51:802-4.
Uner M, Yener G. Importance of solid lipid nanoparticles (SLN) in various administration routes and future perspectives. Int J Nanomed 2007;2:289.
Liu M, Dong J, Yang Y, Yang X, Xu H. Characterization and release of triptolide-loaded poly (D, L-lactic acid) nanoparticles. Eur Polymer J 2005;41:375-82.
Nayak AP, Tiyaboonchai W, Patankar S, Madhusudhan B, Souto EB. Curcuminoids-loaded lipid nanoparticles: novel approach towards malaria treatment. Colloids Surf B: Biointerfaces 2010;81:263-73.
Dora CP, Singh SK, Kumar S, Datusalia AK, Deep A. Development and characterization of nanoparticles of glibenclamide by the solvent displacement method. Acta Pol Pharm 2010;67:283-90.
Hou D, Xie C, Huang K, Zhu C. The production and characteristics of solid lipid nanoparticles (SLNs). Biomater 2003;24:1781-5.
Gonzalez Mira E, Egea M, Garcia M, Souto E. Design and ocular tolerance of flurbiprofen loaded ultrasound-engineered NLC. Colloids Surf B: Biointerfaces 2010;81:412-21.
Jenning V, Mäder K, Gohla SH. Solid lipid nanoparticles (SLN™) based on binary mixtures of liquid and solid lipids: a 1H-NMR study. Int J Pharm 2000;205:15-21.
Segal E. Candida, still number one–what do we know and where are we going from there? Mycoses 2005;48:3-11.