1Department of Pharmacognosy, Faculty of Pharmacy, Helwan University, Ain Helwan, Cairo 11795, Egypt, 2Materials Chemistry Laboratory, Faculty of Sciences, Mohammed First University, Oujda 60000, Morocco
Email: kh.omran@yahoo.com
Received: 20 Mar 2019 Revised and Accepted: 17 May 2019
ABSTRACT
Objective: Cancer is considered as one of the top reasons of death and the number of cases increasing gradually. Cancer is severe clinical difficulty to the health caution system. This study explored two novel polyphenols of Afrocarpus gracilior Pilger growing in Egypt and evaluated their cytotoxic activity.
Methods: Methanolic (80%) extract of the leaves of A. gracilior was subjected to column chromatography; the chemical structures of the isolated compounds were established by advanced spectral techniques: UV, 1H, 13C NMR, two dimensional NMR (2D NMR) and electron spray ionization mass spectroscopy (ESI-MS). Compounds 1 and 2 were studied for their cytotoxic activity against hepatocellular carcinoma (Hep-G2) using sulforhodamine B (SRB) assay. Furthermore the pharmacokinetics profiles of these molecules were accessed by employing Petra/Osiris/Molinspiration (POM) analyses.
Results: Two novel C-flavonoid glycosides were isolated [1: Apigenin 8-C-β-D-glucopyranosyl-(1```→4``)-O-β-D-glucopyranoside] and [2: 7-O methyl-luteolin 8-C-β-glucopyranosyl-(1```→4``)-O-β-D-glucopyranoside]. They exhibited significant cytotoxic activity (IC50 = 9.02 and 15.61 µg/ml, respectively) against Hep-G2 cells. The POM analyses revealed that the activity of these two compounds depends on the presence of glucosyl and alkyl groups at the internal and terminal atmosphere of the compounds.
Conclusion: These findings demonstrated that the leaves of A. gracilior contain a series of bioactive polyphenolic compounds with significant cytotoxic properties against hepatocellular carcinoma and may be used as alternative anticancer agents for doxorubicin. On the basis of POM calculations, it will be interesting to develop some alternative flavones because the deglucosylated derivatives have a better drug score than parent molecules. This preliminary study will be extended to other strains of cancer.
Keywords: Podocarpaceae, Afrocarpus, Flavonoid glycosides, Anticancer activity, Petra/Osiris/Molinspiration (POM) analyses
© 2019 The Authors. Published by Innovare Academic Sciences Pvt Ltd. This is an open access article under the CC BY license (http://creativecommons.org/licenses/by/4.0/)
DOI: http://dx.doi.org/10.22159/ijpps.2019v11i7.33163.
Cancer affects millions of people worldwide despite of the improved molecular diagnostic techniques [1]. Accordingly cancer is a clinically serious problem which possesses significant social and economic changes to the health care system. Hepatocellular carcinoma (HCC) is the fifth most common cancer and the third public reason of cancer linked death throughout world [2]. The synchronous existence of HCC strength may be due to numerous hazard factors such as chronic viral infection diseases with hepatitis B virus (HBV) and hepatitis C virus (HCV), aflatoxin exposure, alcohol drinking, drugs consumption or iron overload [3, 4]. In maximum cases, the recovery proportion from HCC is short and existing predictable and adapted therapies are hardly beneficial [5, 6]. Thus, there is an urgent need for new therapeutic agents for HCC patients. A collective means of drug finding is the ethno-medical method, in which the choice of a plant is founded on its usage as folkloric system. A large number of anti-cancer drugs have been extracted from plants containing phenolic compounds as flavonoids, tannins, steroid and terpenoids, etc. [7-9]. Plants containing polyphenols, flavonoids and/or tannins received considerable attention in recent years for their biological activities [10-14]. For example some species of Afrocarpus genus (family Podocarpaceae) reported to have several biological activities such as antiradical, anti-inflammatory, anti-viral, cytotoxic, anti-microbial properties. These biological activities were revealed for their contents of terpenoid, tannins and flavonoids such as Apigenin 8-C-β-D-glucopyranosyl-(1```→2``)-O-β-D-glucopyranoside (Vitexin 2``-O-β-D-glucopyranoside), Quercetin 3-O-β-D-glucopyranoside and II-4```,I-7-dimethoxyamentoflavone [15-20]. Afrocarpus gracilior (syn. Podocarpus gracilior) (Podocarpaceae) (Pg) is an interesting species growing in Egypt which has documented as anti-oxidant and identified to contain taxol [18, 20-22]. Therefore, the aim of this study was to take an overview and to continue isolating the potential components responsible for the cytotoxic activity from Afrocarpus gracilior.
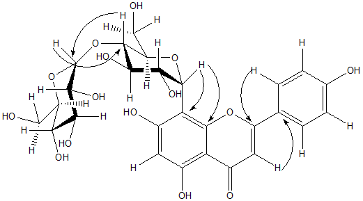
Doxorubicin
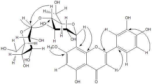
Compound 1
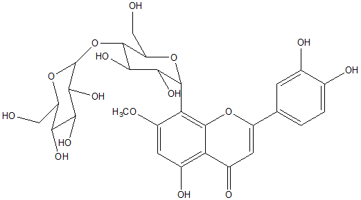
Compound 2
Fig. 1: Chemical structures of two new flavones (1, 2) and standard drug doxorubicin
Apparatus
1H and 13C NMR spectra were obtained on a BrukerAPX500 at 500 and 125 MHz, respectively. The mass spectra (MS) were verified on a Waters Acquity Ultra Performance LC with ZQ detector in ESI mode. The UV studies for compounds (1 and 2) were measured on a Shimadzu UV-240 spectrophotometer, distinctly as solutions in methanol and with diagnostic UV shift reagents [23, 24]. Rotary evaporator (Bűchi, G, Switzerland) was used for evaporation, concentration of extracts and fractions. Fractionation was performed by columns chromatography using polyamide 6S (Riedel-De Hän Ag, Seelze Hannover, Germany), compounds isolation were completed on cellulose (Pharmacia, Uppsala, Sweden) and/or Sephadex LH-20 (Fluka, Switzerland) columns of diverse dimensions and eluted with various mobile phases. Separation procedures were monitored up by 2D-PC (two dimensional paper chromatography) and CoPC (comparative paper chromatography) using Whatmann No. 1 paper with (S1) and (S2) as shown in table 1. Ultraviolet lamp (VL-215 LC, Marne La Vallee, France) was used for visualization of compounds spots on paper chromatograms and follow up various column fractions on columns at 254 or 365 nm and also with located (sprayed) Naturstoff and FeCl3 reagents [25].
Plant material
Identification of Afrocarpus gracilior Pilger (syn. Podocarpus gracilior) confirmed by Dr. Terase Labib, El-Orman Garden, Cairo, Egypt. Voucher specimen (Reg. no. 02Pgr/2018) was kept in the herbarium of Pharmacognosy Department, Faculty of Pharmacy, Helwan University, Cairo, Egypt.
Spectroscopic data of compounds 1 and 2
Compound 1:
Pale yellow amorphous powder (10 mg). Chromatographic properties: Rf values; 0.29 (S1), 0.56 (S2); dark purple spot under UV-light turned to green colour with FeCl3 and greenish yellow with locating reagent (Naturstoff spray). UV-spectral data λmax (nm) (MeOH):272, 301,335; (+NaOMe): 280, 331, 397; (+NaOAc): 280, 303, 383; (+AlCl3): 275, 302, 345, 387; (+AlCl3/HCl): 276, 301, 345, 387. 1H NMR (500 MHz, DMSO-d6): δ ppm 13.14 (1H, s, H-bounded OH-5), 8.12 (2H, d, J=8.4 Hz, H-2`/6`), 7.06 (2H, d, J=8.4 Hz, H-3`/5`), 6.64 (1H, s, H-3), 6.46 (1H, s, H-6), 5.06 (1H, d, J=9.9 Hz,H-1``), 4.74 (1H, d, J=7.4 Hz, H-1```), 3.24-2.67 (remaining of sugar protons). 13C NMR (125 MHz, DMSO-d6): δ ppm 182.87 (C-4), 165.86 (C-2), 164.09 (C-7), 163.59 (C4`), 161.93 (C-5), 157.19 (C-9), 129.72 (C-2`/6`), 123.58 (C-1`), 116.87 (C-3`/5`), 105.61 (C-10), 104.59 (C-8), 103.59 (C-3), 101.08 (C-1```), 95.31(C-6), 82.69 (C-5``), 79.59 (C3``), 77.57 (C-4``), 74.39 (C-5```), 73.44 (C-3```), 72.29 (C-2``), 72.04 (C-1``), 71.08 (C-2```), 70.90 (C-4```), 62.71 (C-6```), 62.49 (C-6``). Negative ESI-MS: m/z 593.4380 [M-H]-, 431.1171 [M-glucosyl]-= [Vitexin-H]-.
Compound 2
Yellowish powder (9 mg). Chromatographic properties: Rf values: 0.19 (S1), 0.43 (S2); it is deep purple color under UV-light turned to yellow-green on exposure to NH3 vapor. UV-spectral data: λmax (nm) (MeOH): 258, 273, 350; (+NaOMe): 265, 281, 406; (+NaOAc): 260, 273, 326, 398; (+NaOAc/H3BO3): 260, 272, 383, 429; (+AlCl3): 281, 302(sh), 331, 430; (+AlCl3/HCl): 264(sh), 279, 296(sh), 360, 385sh. 1H NMR (500 MHz, DMSO-d6): δ ppm 12.93 (1H, s, OH-5), 7.91 (1H, d, J = 2.4 Hz, H-2`), 7.85 (1H, dd, J = 2.4, 8.1 Hz, H-6`), 6.92 (1H, d, J = 8.1 Hz, H-5`), 6.62 (1H, s, H-3), 6.49 (1H, s, H-6), 4.99 (1H, d, J = 9.7 Hz, H-1``), 4.70 (1H, d, J = 7.8 Hz, H-1```), 3.92 (3H, s, OCH3), 3.89-3.17 (remaining of sugar protons). 13C NMR (125 MHz, DMSO-d6): δ ppm 183.42 (C-4), 165.88 (C-2), 162.57 (C-7), 161.73 (C-5), 156.37 (C-9), 150.55 (C-4`), 146.68 (C-3`), 129.02 (C-6`), 122.89 (C-1`), 116.19 (C-2`), 116.13 (C-5`), 105.89 (C-10), 105.77 (C-8), 102.77 (C-3), 101.25 (C-1```), 95.05 (C-6), 80.77 (C-5``), 79.10 (C-3``), 74.12 (C-4``), 73.01 (C-5```), 71.86 (C-3```), 71.77 (C-2``), 71.25 (C-1``),71.05 (C-4```), 70.89 (C-2```), 62.87 (C-6```), 61.49 (C-6``), 55.98 (OCH3). Negative ESI-MS: m/z 623.1524 [M-H]-, 447.1105 [Orientin-H]-.
Cell line and culture medium
HepG2 cells (ATCC source) were maintained in Roswell Park Memorial Institute (RPMI) 1640 medium including 10% heat in-activated fetal bovine serum supplemented by 100 µg/ml penicillin with 100 µg/ml streptomycin at 37 °C under 5% CO2 in air.
Cytotoxic assay
The cytotoxic activity of the isolated pure compounds 1 and 2 (fig. 1) was carried out according to the method described in literatures [26, 27]. This colorimetric assay estimates cell number indirectly by staining total cellular protein with Sulforhodamine-B (SRB) dye. Hep-G2 were seeded in 96-well Fluostar Optima micro-plate at a concentration 5 × 104 cells/well in a fresh medium and placed to attribute to the well-plate for 24 h at 37 °C in a humidified atmosphere of 5% CO2. The screened samples (compound 1 and 2) were subjected to the wells at diverse concentrations (5, 10, 25, 50 and 100 µg/ml) using doxorubicin® as standard. The results with P<0.05 were observed to be statistically significant.
Investigation of polyphenolic contents (Extraction and isolation)
Powdered, air-dried leaves of A. gracilior (1050 g) were exhaustively extracted with hot 80% MeOH (5×3 l) under reflux. The dry residue obtained (140 g) was extracted with chloroform (3×1 l). The 2D-PC revealed that chloroform soluble portion contains limited polyphenolic contents, while they were concentrated in methanol soluble portion. The aqueous residue (120 g) was fractionated on a polyamide column (300 g, Ø 5.5×120 cm) using a step gradient H2O/MeOH mixture with decreasing polarity from 100% water to MeOH 100% for elution to yield 25 individual fractions, collected into four major collective fractions as illustrated previously by Kamal et al., 2012 [20]. The third collective fraction eluted by 20-50% MeOH/H2O was subjected to chromatographic investigation by PC (using S1, S2 solvent system) and visualization under UV-light. Application of fraction III on cellulose column starting with 20% MeOH/H2O then increase % of MeOH to 60% gave 30 sub-fractions. The collective major sub-fractions eluted at 50-90% MeOH/H2O (using UV light) were collected together. Final purification of these sub-fractions by successive fractionation on Sephedex LH-20 column using 100% MeOH and S3 solvent system (table 1) resulted in chromatographically two pure compounds (1 and 2) identified on the basis of acid hydrolysis, comparative PC, UV, ESI-MS, 1H-, 13C-NMR and 2D-NMR spectroscopic analyses (fig. 2-3).

Apigenin 8-C-β-D-glucopyranosyl-(1```→4``)-O-β-D-glucopyranoside or (Vitexin 4``-O-β-D-glucopyranoside)
Fig. 2: HMBC Structure of compound 1

7-O-methyl-luteolin 8-C-β-glucopyranosyl-(1```→4``)-O-β-D-glucopyranoside or (4``-glucopyranosyl-7-O-methylorientin)
Fig. 3: HMBC Structure of compound 2
Table 1: Solvent systems
| Solution | Mixture of solvents | Composition |
| S1 | n-Butanol–Acetic acid–Water (BAW) | (4:1:5 v/v/v, upper layer) |
| S2 | Acetic acid–Water | (15:85 v/v) |
| S3 | n-Butanol–Isopropyl alcohol–Water (BIW) | (4:1:5 v/v/v, upper layer) |
Structure elucidation of 1, 2
The dried residue of 80% MeOH extract, which was extracted with chloroform for defatting and aglycones extraction [28] was chromatographed on a polyamide column followed by successive separation on sephadex LH-20 and cellulose columns affording two pure compounds, among which was compound 1, that exhibited chromatographic properties, UV-spectral data of C-glycosylapigenin. The UV spectrum in MeOH exhibited the two characteristic absorption bands at λmax (nm) 272 nm (band II) and 335 nm (Band I) of apigenin nucleus. On addition of NaOAc, bathochromic shift of band II (≈+7) was diagnostic for free 7-OH group. The remaining diagnostic shift reagents were in complete accordance with 5, 7, 4`-trihydroxy-C-glycosyl flavones structure [24]. Negative ESI-MS spectrum exhibited the molecular ion peak at m/z 593 [M-H]-corresponding to M. wt. of 594, molecular formula C27H30H15 and fragment ion peak at m/z 431 after loss of a glycosyl moiety indicating apigenin dihexoside structure. 1HNMR spectrum showed an AX coupling system of two ortho douplets, each integrated for two protons at δ ppm 8.12 and 7.06 assigned to H2`/6` and H-3`/5`, respectively of 1`, 4`-disubstituted ring-B, in addition to the two singlet signal resonances at δ ppm 6.64 and 6.46 assignable to H-3 and H-6, respectively characteristic for an apigenin moiety missing H-8 resonance signal. The two anomeric protons appeared as doublets at δ ppm 5.06 with large J value 9.9 Hz and 4.74 with J value 7.4 Hz, gave the suggestion of presence of a C-glucoside and O-glucoside moieties with a β–linkage, respectively. The absence of H-8 gave the expectation of C-glucosidation on C-8. This signal was established from downfield shift of 13C-resonance of C-8 to δ ppm 104.59 (≈+10 ppm) in 13CNMR spectrum. Moreover, the C-glucoside moiety was confirmed as β-glucopyranoside depending on the characteristic upfield location of C-1`` at δ ppm 72.04 and downfield locations of C-5`` and C-3`` at δ ppm 82.69 and 79.59, respectively with respect to those of O-glucoside. The presence of another six carbon resonances with the anomeric carbon at δ ppm 101.08 characteristic for β-O-glucopyranoside structure confirming the presence of a second glucose moiety. In addition to, the downfield shift of C-4`` at δ ppm 77.57 was an evidence for 1```-4`` intra glycosidic linkage. HMBC approved the linkage between the two glucosyl moiety glucopyranosyl-(1```→4``)-O-β-D-glucopyranoside (fig. 2). All 1H and 13C resonances were assigned by comparison with the corresponding values of structurally related compounds of previously published data [20, 29-33]. In the light of these data compound 1 was identified as Apigenin 8-C-β-D-glucopyranosyl-(1```→4``)-O-β-D-glucopyranoside (Vitexin 4``-O-β-D-glucopyranoside) which is isolated for the first time from nature (fig. 2).
According to the chromatographic properties, compound 2 was expected to be a glycosyl luteolin [34]. UV-spectrum in MeOH displayed the two distinctive absorption bands I and II of luteolin nucleus at λmax 350 and 258 nm, respectively. On addition of NaOAc, no bathochromic shift of band II was observed which is diagnostic for a substituted 7-OH group. The bathochromic shift of band I in AlCl3 together with hypsochromic shift experimental after adding of HCl confirmed the occurrence of ortho-dihydroxyl groups at C-3` and C-4` in ring B, still the bathochromic shift in band II relative to MeOH continued after adding of HCl designated the occurrence of a free 5-OH group. On explanation of the given above data and the chromatographic properties, compound 2 was expected to be 5,3`,4`-trihydroxy glycosyl flavone [34, 35]. Negative ESI/MS spectrum exhibited the molecular ion peak at m/z 623 [M–H]-, corresponding to molecular weight of 624 and molecular formula C28H32O16, to support evidence of methyl luteolin-di-hexoside structure. In 1H NMR spectrum a flavone compound was confirmed by the appearance of a singlet at δ 6.62 for H-3. Additionally, the spectrum showed an ABX-spin coupling system of three proton resonances at 7.91 (H-2`), 7.85 (H-6`), and ortho doublet at 6.92 (H-5`) to indicate a 3`,4`-dihydroxy B ring indicating a luteolin nucleus. The absences of H-8 signal from the spectrum and the presence of doublets of large J-values 9.7 Hz at 4.99 ppm was attributed to anomeric proton of C-β-D-glucopyranoside moiety. Another anomeric proton appeared as douplets at δ ppm 4.7 with J value 7.8 Hz, gave the suggestion of presence of O-glucoside moiety with a β-linkage. As further confirmation, 13C NMR spectrum showed well-resolved typical 15 signals of a luteolin aglycone moiety, including the three key signals of C-3`, C-4` and C-3 at δ ppm 146.68, 150.55 and 102.77, respectively. The downfield shift of 13C resonance of C-8 to δ 105.77 was confirmative evidence for the C-glycosidation at C-8. Moreover the C-glycoside moiety was confirmed as 8-C-β-glucopyranoside depending on the intrinsic upfield location of C-1`` (anomeric carbons) at δ 71.25 ppm. The presence of another six carbon resonances with the anomeric carbon at δ ppm 101.25 characteristic for β-O-glucopyranoside structure confirming the presence of a second glucose moiety. HMBC approved the linkage between the two glucosyl moiety glucopyranosyl-(1```→4``)-O-β-D-glucopyranoside (fig. 3). The presence of carbon resonance at δ 55.98 together with The upfield shift of C-7 at 162.57 ppm were indicative for the presence of methoxy group attached to C-7 which was approved by HMBC spectrum (fig. 3). This structure is confirmed by comparison with previous published reports [34-37]. Hence, compound 2 was identified as 7-O-methyl-luteolin 8-C-β-glucopyranosyl-(1```→4``)-O-β-D-glucopyranoside or (4``-glucopyranosyl-7-O-methylorientin), which was isolated for the first time from nature (fig. 3).
Evaluation of cytotoxic activity of 1, 2
Compounds 1 and 2 showed significant cytotoxic activities against Hep-G2 hepatocellular carcinoma (IC50 values 9.02±0.54 and 15.61±1.23 μg/ml, respectively) compared to doxorubicin as a standard drug (IC50 value 4.47±0.13 μg/ml) as shown in table 2 and fig. 4-5.
Table 2: Comparative bioactivity of compounds 1, 2 and doxurobicin as standard drug
| Bioactivity of compound 1 | Bioactivity of compound 2 | Bioactivity of doxurobicin |
| Conc. (µg/ml) | Average | SD |
| 5 | 0.620333 | 0.014012 |
| 10 | 0.468667 | 0.020207 |
| 25 | 0.333333 | 0.007767 |
| 50 | 0.184333 | 0.002517 |
| 100 | 0.127 | 0.009165 |
Antitumor activity of 1, 2
The effect of both compounds 1 and 2 were tested against Hep-G2 using the SRB method. SRB dye was used as a stain to estimate cell number indirectly [27]. The National Cancer Institute (NCI) indicated that the cytotoxicity of a plant extract is considered effective with the IC50 below 20 µg/ml [38]. Compounds 1 and 2 isolated from P. gracilior have significant cytotoxic activity against Hep-G2 with IC50 values 9.02 and 15.61 µg/ml, respectively (fig. 4 and 5). Accordingly compounds 1 and 2 could be used as chemopreventive agents since recent studies suggested that using plant derived chemopreventive agents in combination with chemotherapy can increase the usefulness of chemotherapeutic agents and lesser their toxicity to normal tissues [39, 40].

Fig. 4: Cytotoxic activity of compound 1 against Hep-G2 cell line (n = 3)

Fig. 5: Cytotoxic activity of compound 2 against Hep-G2 cell line (n = 3)
POM analyses of compounds 1, 2
A potential drug, should not have only a good bioactivity, it must have acceptable pharmacokinetic properties. To access the pharmacokinetic profile of molecules, we employed Osiris, Petra and Molinspiration (POM) as a good virtual screening with about 7000 drugs available on the market.
POM analyses of the standard drug, molecules 1, 2 and their deglucosylated derivatives (1’, 2’, 2”) revealed that derivatives of 1, 2, contrary to reference drug and the two new flavones 1, 2 are more active (tables 3, 4). They showed better drug scores and can be utilized as therapeutic agents. In fact, structures of the investigated anti-cancer drugs are supposed to present some risks when runned through the mutagenicity, tumorigenicity assessments, and that these two compounds were at low risk comparable with standard drug (SD) as near as irritation and reproductive effects are concerned.
For example, acute side-effects of doxorubicin include vomiting, nausea, and heart arrhythmias. It can also causes neutropenia (reduction in white blood cells) and alopecia (hair loss). An increasing dose of doxorubicin is capable to lead the patient to severe risks of developing cardiac side effects; including congestive heart failure, dilated cardiomyopathy, and death, powerfully rise. Reactive oxygen species (ROS), formed by the contact of doxorubicin with iron, can then harm the myocytes (heart cells), creating myofibrillar loss and cytoplasmic vacuolization [41].
The hydrophilicity character of each constituent had been stated in terms its cLogP value since it had been recognized that the absorption or permeation is importantly affected by this quantity (value of cLogP). Therefore, when the value of cLogP is greater than 5, the absorption or permeation decreases. Our results showed that the new compounds (1 and 2) have similar cLogP of those of the anti-tumor standard drug SD, within the acceptable criteria. As the molecular weight of all parent molecules (1, 2 and SD) is 594-624>500 g, it is necessary to realize more chemical modification (deglucosylation) in goal to make more potentially active analogues. The actual drug-scores of compounds 1 and 2 are very encouraging (positive value of DS) as shown in table 4.
Table 3: Molinspiration calculations of compounds 1, 2 and doxorubicin
Compound |
Molecular properties [a]
|
|
Bioactivity scores [b]
|
||||||||
|
TPSA |
ONH |
VIOL |
VOL |
|
GPCR |
ICM |
KI |
NRL |
PI |
EI |
| 1 | 260 | 10 | 3 | 487 | 0.10 | -0.45 | -0.01 | -1.04 | 0.06 | -0.28 | |
| 2 | 269 | 10 | 3 | 513 | 0.01 | -0.68 | -0.16 | -1.32 | -0.04 | 0.11 | |
| SD [c] | 209 | 8 | 3 | 465 | 0.27 | -0.14 | 0.08 | 0.24 | 0.56 | 0.64 | |
[a]TPSA: Total of Polar surface area; ONH: OH—N or O—HN Interaction; VOL: Volume, [b]GPCR: GPCR ligand; ICM: Ion channel modulator; KI: Kinase inhibitor; NRL: Nuclear receptor ligand; PI: Protease inhibitor; EI: Enzyme inhibitor., [c]Standard drug: (SD = Doxorubicin). Structure of SD is given in fig. 1.
Table 4: Molinspiration prediction of compounds 1, 2 and doxorubicin and their hypothetic derivatives (1’, 2’, 2”, SD’ and SD”)
| Compound | Structure | Molecular Properties | Drug Scores |
| 1 | ![]() |
miLogP TPSA MW nON nOHNH nviolations volume |
-1.41 260 594 15 10 3 487 |
| 1’ | ![]() |
miLogP TPSA MW nON nOHNH nviolations volume |
0.52 181 432 10 7 1 355 |
| 2 | ![]() |
miLogP TPSA MW nON nOHNH nviolations volume |
-1.61 269 625 16 10 3 513 |
| 2’ | ![]() |
miLogP TPSA MW nON nOHNH nviolations volume |
0.10 190 462 11 7 2 381 |
| 2” | ![]() |
miLogP TPSA MW nON nOHNH nviolations volume |
0.03 201.27 448.38 11 8 2 363.22 |
| SD | ![]() |
miLogP TPSA MW nON nOHNH nviolations volume |
0.07 209.24 545.54 12 8 3 465.04 |
| SD’ | ![]() |
miLogP TPSA MW nON nOHNH nviolations volume |
0.65 165 416 9 6 1 346 |
| SD” | ![]() |
miLogP TPSA MW nON nOHNH nviolations volume |
0.37 176 402 9 7 1 328 |
The methanolic extract of the leaves of A. gracilior contains a considerable amount of polyphenolic compounds that have significant cytotoxic properties and thus have great potential as a source for natural health products. The POM analyses revealed that the activity of compounds 1, 2 and standard drug (SD) depended on the presence of glucosyl and alkyl groups at the internal and terminal atmosphere of the compounds. The docking analysis revealed that lipophilic and H-bonding interactions were the prominent interactions among flavones and the Cancer-DNA receptor. The POM Analyses of compounds 1, 2 and SD proved to be a useful tool in the prediction of anti-tumor activity of congeneric compounds and some important insights were also originate that will be useful to monitor for the prediction of new cancer inhibitors with enhanced bio-activity.
AMK, MISA, involved in selection, collection of the plant, extraction and isolation. AMK contributed in structural elucidation and MISA in biological analysis. AMK, MISA involved in writing the manuscript. TBH contributed in spectral and POM analyses. All authors have read the final manuscript and approved the submission.
The authors declare no conflicts of interest
Biemar F, Foti M. Global progress against cancer-challenges and opportunities. Cancer Biol Med 2013;10:183-6.
Kakrani PH, Kakrani HN, Raval M. Cytotoxic effect of Corchorus depressus against HepG2 and HLE human liver cancer cells. Asian J Pharm Clin Res 2018;11:187-9.
Rocken C, Carl-McGrath S. Pathology and pathogenesis of hepatocellular carcinoma. Dig Dis 2001;19:269–78.
Ohata K, Hamasaki K, Toriyama K, Ishikawa H, Nakao K, Eguchi K. High viral load is a risk factor for hepatocellular carcinoma in patients with chronic hepatitis B virus infection. J Gastroen Hepatol 2004;19:670-5.
Kapadia GJ, Azuine MA, Takayasu J, Konoshima T, Takasaki M, Nishino H, et al. Inhibition of epstein-barr virus early antigen activation promoted by 12-O-tetradecanoylphorbol-13-acetate by the non-steroidal anti-inflammatory drugs. Cancer Lett 2000;161:221-9.
Thomas MB, Zhu AX. Hepatocellular carcinoma the need for progress. J Clin Oncol 2005;23:2892-9.
Saetung A, Itharat A, Dechsukum C, Wattanapiromsakul C, Keawpradub K, Ratanasuwan P. Cytotoxic activity of Thai medicinal plants for cancer treatment. J Sci Technol 2005;27:469-78.
Rajkapoor B, Sankari M, Sumithra M, Anbu J, Harikrishnan N, Gobinath M, et al. Antitumor and cytotoxic effects of Phyllanthus polyphyllus on Ehrlich ascites carcinoma and human cancer cell lines. Biosci Biotechnol Biochem 2007;71:2177-83.
Ntsoelinyane PH, Mashele SS, Manduna IT. The anticancer, antioxidant and phytochemical screening of Philenoptera violacea and Xanthocercis zambesiaca leaf, flower and twig extracts. Int J Pharmacol Res 2014;4:100-5.
Hsu HF, Houng JY, Chang CL, Wu CC, Chang FR, Wu YC. Antioxidant activity, cytotoxicity and DNA information of Glossogyne tenuifolia. J Agric Food Chem 2005;53:6117-25.
Marzouk MS, Moharram FA, Haggag EG, Ibrahim MT, Badary OA. Antioxidant flavonol glycosides from Schinus molle. Phytother Res 2006;20:200-5.
Prasad KN, Hao J, Yi C, Zhang D, Qiu S, Jiang Y, et al. Antioxidant and anticancer activities of wampee (Clausena lansium (Lour.) Skeels) peel. J Biomed Biotechnol 2009;30:1-6.
Ayoub NA. A trimethoxyellagic acid glucuronide from Conocarpus erectus leaves: Isolation, characterization and assay of antioxidant capacity. Pharm Biol 2010;48:328-32.
Ding F, Peng W. Biological activity of natural flavonoids as impacted by protein flexibility: an example of flavanones. Mol Biosyst 2015;11:1119-33.
Woldemichael GM, Franzblau SG, Zhang F, Wang Y, Timmermann BN. Inhibitory effect of sterols from Ruprechtia triflora and diterpenes from Calceolaria pinnifolia on the growth of Mycobacterium tuberculosis. Planta Med 2003;69:628-31.
Abdillahi HS, Stafford GI, Finnie JF, Van Staden J. Antimicrobial activity of South African Podocarpus species. J Ethnopharmacol 2008;119:191-4.
Carpinella MC, Andrione DG, Ruiz G, Palacios SM. Screening for acetylcholinesterase inhibitory activity in plant extracts from Argentina. Phytother Res 2010;24:259-63.
Abdillahi HS, Finnie JF, Van Staden J. Anti-inflammatory, antioxidant, anti-tyrosinase and phenolic contents of four Podocarpus species used in traditional medicine in South Africa. J Ethnopharmacol 2011;136:496-503.
Abreu MB, Temraz A, Malafronte N, Mujica FG, Duque S, Braca A. Phenolic derivatives from Ruprechtia polystachya and their inhibitory activities on the glucose-6-phosphatase system. Chem Biodivers 2011;8:2126-34.
Kamal AM, Abdelhady MIS, Elmorsy EM, Mady MS, Abdelkhalik SM. Phytochemical and biological investigation of leaf extracts of Podocarpus gracilior and Ruprechtia polystachya resulted in isolation of novel polyphenolic compound. Life Sci 2012; 9:1126-35.
Stahlhut R, Park G, Petersen R, Ma W, Hylands P. The occurrence of the anti-cancer diterpene taxol in Podocarpus gracilior pilger (Podocarpaceae). Biochem Syst Ecol 1999;27:613-22.
Farjon A. Afrocarpus gracilior. The IUCN Red List Threatened Species; 2013.
Stahl E. Thin layer chromatography. 2nd ed. Springer Verlag, Berlin, Heidelberg, New York; 1969.
Mabry TJ, Markham KR, Thomas MB. The systematic identification of flavonoids, Springer Verlag. New York; 1970. p. 4-35.
Brasseur T, Angenot L. Le melange diphenylborate daminoethanol-PEG 400. Un interessant reactif de revelation des flavonoides. J Chromatogr 1986;351:351-5.
Hansen MB, Nielsen SE, Berg K. Re-examination and further development of a precise and rapid dye method for measuring cell growth/cell kill. J Immunol Methods 1985;119:203-10.
Skehan P, Storeng R, Scudiero D, Monks A, McMahon J, Vistica D, et al. New colorimetric cytotoxicity assay for anticancer-drug screening. J Natl Cancer Inst 1990;82:1107-12.
Marzouk MS, Moharram FA, El-Dib RA, El-Shenawy SM, Tawfike AF. Polyphenolic profile and bioactivity study of Oenothera speciosa Nutt. aerial parts. Molecules 2009;14:1456-67.
Harborne JB, Mabry TJ. The flavonoids: advances in research. In: Markham KR, Mohanchari V. eds. Carbon-13 NMR spectroscopy of flavonoids. London: Chapman and Hall, University Press: Cambridge; 1982. p. 119-32.
Agrawal PK. Studies in organic chemistry 39, 13C NMR of flavonoids. In: Agrawal PK, Bansal MC. eds. Flavonoid Glycosides. New York: Elsevier Science; 1989. p. 283-364.
Harborne JB. The flavonoids: advances in research since 1986. In: Williams CA, Harborne JB. eds. Flavone and Flavonol Glycoside; London: Chapman and Hall, Ltd, University Press Cambridge; 1994. p. 337–85.
Vazquez E, Martinez EM, Cogordan JA, Delgado G. Triterpenes, phenols, and other constituents from the leaves of Ochroma pyramidala (Balsa wood, Bombacaceae). Preferred confirmations of 8-C-β-D-glucopyranosyl-apigenin (Vitexin). Rev Soc Quim Mex 2001;45:254-8.
Kim I, Chin Y, Lim SW, Kim YC, Kim J. Norisoprenoids and hepatoprotective flavones glycosides from the aerial parts of Beta vulgaris var. Cicla Arch Pharm Res 2004;27:600-3.
Upur H, Amat N, Blazekovic B, Talip A. Protective effect of Cichorium glandulosum root extract on carbon tetrachloride-induced and galactosamine-induced hepatotoxicity in mice. Food Chem Toxicol 2009;47:2022-30.
Nawwar MAM, El-Sissi HI, Barakat HH. Flavonoid constituents of Ephedra alata. Phytochemistry 1984;23:2937-9.
Pastene ER, Bocaz G, Peric I, Montes M, Silva V, Riffo E. Separation by capillary electrophoresis of C-glycosylflavonoids in Passiflora sp. extracts. Bol Soc Chil Quim 2000;45:461-7.
Li H, Zhou P, Yang Q, Shen Y, Deng J, Li L, et al. Comparative studies on anxiolytic activities and flavonoid compositions of Passiflora edulis 'edulis' and Passiflora edulis 'flavicarpa'. J Ethnopharmacol 2011;133:1085-90.
Boyd MR. The NCI in vitro anticancer drug discovery screen: concept, implementation and operation (1985–1995). In: Teicher BA. ed. Anticancer Drug; 1997.
Takaki Doi S, Hashimoto K, Yamamura M, Kamei C. Antihypertensive activities of royal jelly protein hydrolysate and its fractions in spontaneously hypertensive rats. Acta Med Okayama 2009;63:57-64.
Silici S, Ekmekcioglu O, Kanbur M, Deniz K. The protective effect of royal jelly against cisplatin-induced renal oxidative stress in rats. World J Urol 2011;29:127-32.
Note1. Wikipedia, Doxorubicin; 2015. http://en.wikipedia.org/ wiki/Doxorubicin [Last accessed on 10 Feb 2019].