Nilanjana Das, Environmental Biotechnology Division, School of Bio Sciences and Technology, VIT University, Vellore 632014, India.
Email: nilanjana00@lycos.com
Received: 14 Oct 2014 Revised and Accepted: 12 Nov 2014
ABSTRACT
Objective: The objective of the present study was to study the degradation of third generation cephalosporin antibiotics viz. cefotaxime and cefoperazone using four yeast isolates under optimal conditions.
Methods: The steps include screening of yeasts for degradation of cefotaxime and cefoperazone in minimal broth (MB). The effect of various parameters like pH, temperature, shaking speed, inoculum size and initial substrate concentration during degradation was studied. The effect of carbon and nitrogen as additional sources in MB on the yeast biomass production was tested. The degradation efficiency of four yeasts on cefotaxime and cefoperazone were calculated.
Results: Under optimized conditions viz. pH 6.0, temperature 30°C, shaking speed of 120 rpm, inoculum dosage of 4% (v/v) and initial cefotaxime concentration of 200 mg/L and cefoperazone concentration of 150 mg/L, maximum yeast growth was noted. No improvement in yeast growth was observed due to the addition of extra carbon and nitrogen sources. Among four yeast isolates, maximum degradation of 61% cefotaxime at a concentration of 200 mg/L and 64 % cefoperazone at a concentration of 150 mg/L was shownby Candida sp. SMN04 under optimal condition.
Conclusion: Therefore, based on the results of the present study, it can be concluded that the yeasts isolates can serve as degraders of cephalosporin antibiotics viz. cefotaxime and cefoperazone in aqueous environment.
INTRODUCTION
In recent years, it has become clear that pharmaceuticals are an important group of environmental pollutants [1]. There are reports on the widespread occurrence of these pollutants in wastewater, surface water, ground water, and soil [2,3,4,5,6]. Among pharmaceutical products, antibiotics have become one of the most inevitable compounds in day to day life due to their escalating and indiscriminate use by humans and veterinaries [7]. The presence of antibiotics in the environment and their subsequent impact on resistance development has raised concerns all over the globe [8]. Cefotaxime and cefoperazone are the derivatives of third generation cephalosporin antibiotics, which are widely used in contemporary clinical practice in pre and post operative chemotherapy against infections in abdominal, pelvic, orthopedic, cardiac, pulmonary, oesophageal and vascular surgery [9]. The presence of these antibiotics increases the toxic strength of the effluent with a very high chemical oxygen demand, thus by posing a threat to the environment [10]. These effluents lack adequate treatment and proper disposal mechanisms due to the presence of high concentration of cephalosporin along with other organic solvents and volatile solids released from the combined effluent of the plant [11]. Hence, there is a need to search for an appropriate and lower cost treatment technology for the removal of antibiotics from the effluent. Bioremediation is a process that exploits the catalytic activities of the living organisms to enhance the rate of the pollutant destruction and serve as an important tool to mitigate environmental contamination [12,13]. There are reports on the use of bacteria for the degradation of cephalosporin antibiotics [14,15]. In our previous study, we have reported the role of yeasts for the biodegradation of cefdinir, a third generation cephalosporin antibiotic [16,17]. The objective of the present study is to test the efficiencies of the previously reported four yeast isolates on degradation of two other cephalosporin derivatives viz. Cefotaxime and cefoperazone under optimal conditions.
MATERIALS AND METHODS
Chemicals
Analytical pure samples of Cefotaxime Sodium and cefoperazone sodium (<99% pure) were purchased from SRL chemicals, India Ltd and used to prepare a stock solution of 104 mg/L concentration with double distilled water in a volumetric standard flask. Standard solutions of both the drugs were stored at 4 °C. All other chemicals were of analytical grade and procured from Himedia Ltd, India.
Isolated yeasts and acclimatization procedure
The isolated yeasts viz. Pseudozyma sp. SMN01, Ustilago sp. SMN02, Ustilago sp. SMN03 and Candida sp. SMN04 was obtained from our laboratory and acclimatized as mentioned in our previous study [17].
Screening for degrading activity of the yeast isolates
The yeast isolates were screened for their ability to degrade cefoperazone and cefotaxime based on their growth rate on minimal broth (MB) containing (g/L) ammonium sulphate-5 g, potassium dihydrogen phosphate-1 g, dipotassium hydrogen phosphate-2 g, magnesium sulphate-0.5 g, sodium chloride-0.1 g, manganese chloride-0.01 g, ferrous sulphate-0.01 g, sodium molybdate-0.01 g, at pH 7.2 ± 0.5. Antibiotics (100 mg/L) were added into the MB and thoroughly mixed. Abiotic control flasks with the medium were prepared using the same composition excluding inoculum addition. The test flasks containing MB were inoculated with yeasts acclimatized in YEPD broth (OD600 = 0.1) and incubated at 28 ± 2 °C for 6 days on a rotary shaker at 120 rpm. All the experiments were carried out in triplicates.
Optimization studies
The optimization experiments were conducted by growing the isolates in 100 mL Erlenmeyer flasks containing MB medium with the antibiotic (100 mg/L) for a period of 6 days. The effect of various growth parameters viz. pH (4.0–9.0), incubation temperature (20–40 °C), shaking speed (80–140 rpm), inoculum dosage (1-5%) and initial substrate concentration (50–300 mg/L) on degradation efficiency of the yeast isolate were studied. During the optimization of parameters, all the parameters were kept constant except for the optimizing parameter. Samples from MB culture flasks were withdrawn at regular intervals and the cell suspension was centrifuged at 8400 xg for 10 min. The pellet obtained was transferred into pre-weighed Petri dishes and dried at 105 °C for 20 min and the cell dry weight of yeast biomass was calculated.
Effect of Carbon and Nitrogen sources
The isolates were inoculated in the medium with varying concentrations of carbon and nitrogen source. Sucrose as carbon source and yeast extract as nitrogen source were chosen for this study. Concentrations ranging from 2-10 g/L were added to 100 mL of minimal broth containing cefoperazone and cefotaxime of initial concentration 100 mg/L. The flasks were inoculated and incubated at 28 ± 2 °C for 6 days under shaking conditions. The samples were regularly withdrawn and tested for biomass production. The obtained results were compared with readings of control flasks. All experiments were carried out in triplicates.
Estimation of degradation efficiency
The flasks containing 100 mL of MB with cefoperazone and cefotaxime separately incubated at optimal conditions were used to calculate the degradation efficiency by withdrawing the samples at regular intervals and centrifuging at 8400 x g for 10 min. The obtained supernatant collected was estimated using UV-Visible spectrophotometer (Shimadzu UV-2450) following a method with minor modifications and the absorbance was measured at 260 nm for cefotaxime [18] and at 254 nm for cefoperazone [19]. The percentage of degradation efficiency was calculated as follows, Degradation efficiency (%) = (Ci−Cf) /Ci×100 (1)
Where, Ci is the initial substrate concentration and Cf is the final substrate concentration.
RESULTS AND DISCUSSION
Growth of yeast isolates in MB containing antibiotics as sole carbon and energy source
The growth pattern of the four yeast isolates viz. Pseudozyma sp. SMN01, Ustilago sp. SMN02, Ustilago sp. SMN03 and Candida sp. SMN04 were screened in the presence of cefoperazone and cefotaxime in minimal medium which acted as a sole carbon and energy source at an initial concentration of 100 mg/L. Exponential phase of the strain extended from lag phase after the end of day 1 and continued until it reached stationary phase at day 5, after which it exhibited stationary phase until day 6 followed by the decline phase (fig. 1A, B). The cell dry weight recorded during the period of 6 days showed a positive correlation in case of both the antibiotics. The increase in the biomass was found to be directly proportional to the degrading ability of the yeast isolates [20].


Fig. 1: Growth of the four yeasts isolates based on their growth in minimal media containing Cefotaxime (A) and Cefoperazone (B) at concentration (100 mg/L). Data represents mean±SD
Fig. 1A showed a maximum cell dry weight of 2.11 g/L for Candida sp. SMN04 followed by 2.04 g/L for Ustilago sp. SMN02, 1.84 for Pseudozyma sp. SMN01 and 1.77 for Ustilago sp. SMN03 was noted in case of MB containing cefotaxime. A maximum growth was seen with Ustilago sp. SMN02 with cell dry weight of 1.91 g/L followed by Candida sp. SMN04 (1.74 g/L), Ustilago sp. SMN03 (1.52 g/L) and Pseudozyma sp. SMN01 (1.47) in cefoperazone containing medium (fig. 1B). The growth behaviour of the four yeast isolates were found to be different for both the antibiotics. The yeast isolates were subjected to further degradation experiments.
Optimization studies
The effects of various parameters on growth and degradation of cefotaxime and cefoperazone by the four yeast strains was studied as shown in fig. 2A-E and fig. 3A-E.

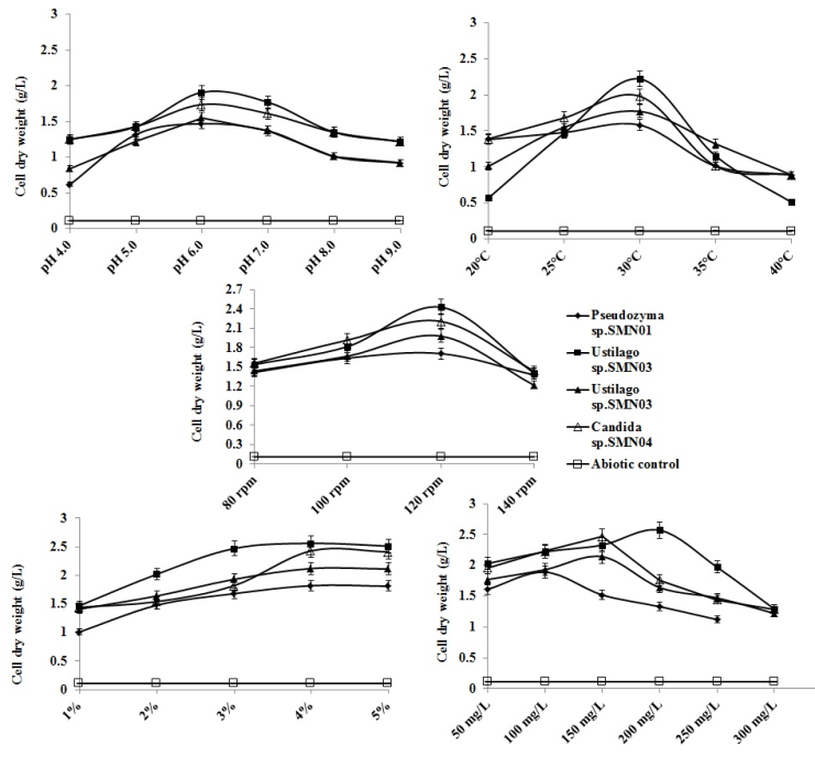
Fig. 2: Optimization of growth parameters for cefotaxime degradation by four yeasts isolates. A. Effect of pH, B. Effect of temperature, C. Effect of shaking speed, D. Effect of inoculum dosage, E. Effect of initial concentration. Data represents mean±SD
The optimized cultural conditions of the degrading microorganism are important in determining the degradation potentiality of the isolate [20]. The optimum growth was noted for all the isolates at pH 6.0, temperature 30 ºC, shaking speed of 120 rpm and an inoculum dosage of 4% (v/v) in case of both the antibiotics. Jelinska et al. [21] and Mitchell et al. [22] reported that pH and temperature are the most important parameters in deciding the rate of hydrolysis of cephalosporin antibiotics.
The inoculum dosage also plays a critical role in improving the degradation efficiency of the isolates. According to Guillen-Jimeneza et al. [23], the elevation of microbial load increase the microbial activity and thus the number of metabolic pathways involved. In the present study, degradation efficiency was improved as the inoculum dosage was increased from 1% to 4%. No significant increase in degradation was noted beyond the dosage of 4%.

Fig. 3: Optimization of growth parameters for cefoperazone degradation by four yeast isolates. A. Effect of pH, B. Effect of temperature, C. Effect of shaking speed, D. Effect of inoculum dosage, E. Effect of initial concentration. Data represents mean±SD
The optimal initial substrate concentration was found to vary with the yeast isolates. The optimal concentration of cefotaxime was found to be 100 mg/L for Pseudozyma sp. SMN01, 200 mg/L for Ustilago sp. SMN02 and Candida sp. SMN04, 150 mg/L for Ustilago sp. SMN03 respectively (fig. 2E) whereas the optimal initial concentration of cefoperazone was observed as 150 mg/L for Pseudozyma sp. SMN01, Ustilago sp. SMN03, Candida sp. SMN04 and 200 mg/L for Ustilago sp. SMN02 respectively (fig. 3E). There are reports on the use of bacteria such as Pseudomonas sp and Bacillus sp. for the degradation of various cephalosporin antibiotics viz., cefoxitin sodium, ceftiofur sodium and ceftriaxone sodium and cefuroxime [14, 15, 24, 25]. Our study is the first report of employing yeasts for the degradation of cefotaxime and cefoperazone at a high concentration.
Effect of carbon and nitrogen sources
The effect of additional carbon and nitrogen source in the minimal broth for the growth of yeast isolates were studied. The minimal broth was supplemented with sucrose and yeast extract at varying concentrations ranging from 2-10 g/L.
It can be concluded that, the addition of extra carbon and nitrogen source did not show any positive effects on yeast growth. Similar findings were reported in our previous study of cefdinir degradation by yeast isolates [17].
Degradation of cefotaxime and cefoperazone
The degradation percentage of the two antibiotics viz. cefotaxime and cefoperazone by the four yeast isolates were calculated at various concentration ranging from 50- 300 mg/L (fig. 6A and 6B). In case of both the antibiotics, maximum degradation was noted at lowest concentration of 50 mg/L for all the four isolates. As the concentration of the substrate was increased, a difference in the degrading behaviour was observed among the isolates owing to the different degradation efficiencies. Maximum degradation of 61% of cefotaxime at a concentration of 200 mg/L and 64 % of cefoperazone at a concentration of 150 mg/L was shown by Candida sp. SMN04 at the end of 6 days.


Fig. 4: Effect of various concentrations of A. Sucrose (additional carbon source) and B. Yeast extract (additional nitrogen source) in minimal broth containing cefotaxime. Data represents mean±SD


Fig 5: Effect of various concentrations of A. Sucrose (additional carbon source) and B. Yeast extract (additional nitrogen source) in minimal broth containing cefoperazone. Data represents mean±SD


Fig. 6: Percentage degradation of Cefotaxime (A) and Cefoperazone (B) at various concentrations ranging from 50-300 mg/L by four yeasts isolates. Data represents mean±SD
It was found that the yeast isolates could degrade cefotaxime better than cefoperazone in aqueous medium. In the closed bottle system using mixed bacterial population, maximum elimination of 77% cefuroxime and 30% ceftriaxone was reportedafter 28 d of incubation [25]. Hamrapurkar et al. [26] noted cefdinir degradation of 48.83% by base hydrolysis method. Therefore, the results of the present study are quite comparable with the other results in degradation of cephalosporin derivatives reported so far.
CONCLUSION
It can be concluded that the four yeast isolates could utilize cefotaxime and cefoperazone as sole carbon and energy source and serve as degrader of complex molecules like cephalosporin antibiotics. The differences in the degradation behaviour of the isolates for two different cephalosporin antibiotics were noted.
ACKNOWLEDGEMENT
The authors greatly acknowledge VIT University, Vellore, Tamil Nadu, India for financial assistance and laboratory facilities.
REFERENCES