Dept. of Chemistry, Faculty of Sciences, Aleppo University, Syria
Email: dramadan@scs-net.org
Received: 14 Oct 2014 Revised and Accepted: 13 Nov 2014
ABSTRACT
Objective: Objective of study was to develop a simple, precise and accurate differential pulse polarographic analysis (DPPA) of rosuvastatin (RSV) in pure form and in pharmaceutical preparations.
Methods: The DPPA was applied in Na2HPO4 buffer at pH 1.5 using a static mercury drop electrode (SMDE).
Results: One redaction peak was observed in the range -951 to -970 mV (Ep). The peak current Ip is linear over the ranges 9.631-1926.10 ng. mL-1. The relative standard deviation did not exceed 3.8% and regression analysis showed a good correlation coefficient (R2= 0.9999). The limit of detection (LOD) and the limit of quantification (LOQ) were to be 1.22 and 3.70 ng. mL-1, respectively. The amount of RSV in different pharmaceutical preparations was decreases with the time (2-3% after one year) and the relative decrease was more in the tablets which contain lesser amount of RSV.
Conclusion: The proposed method was successfully applied to the analysis of RSV in pure and pharmaceutical dosage forms with an average recovery of 92.50 to 101.35%.
Keywords: Differential pulse polarographic analysis, Static mercury drop electrode, Rosuvastatin, Pharmaceuticals.
INTRODUCTION
Rosuvastatin calcium (RSV) C44H54CaF2N6O12S2 or (C22H27FN3O6S)2Ca, is a synthetic lipid lowering agent that is widely used to treat hypercholesterolemia and hyperlipidemia, mol. mass 1001.14 g (Scheme1), while Rosuvastatin is C22H28FN3O6S and its mol. mass 481.539 g. Rosuvastatin calcium is a white amorphous powder that is sparingly soluble in water and methanol, and slightly soluble in ethanol [1-3]. Literature survey revealed that HPLC [4-6], capillary zone electrophoresis [7], spectrophotometry [8-11] and electrochemical methods [12,13] are available for Rosuvastatin analysis in pharmaceuticals either single or combine with other drugs. The polarographic and voltammetric analysis was successfully applied for determination some drugs as atorvastatin [14-16], gatifloxacin [17], carbinoxamine maleate [18], dipyrone [19] and lomefloxacin [20].

Rosuvastatin calcium(C22H27FN3O6S)2Ca
Scheme 1: Chemical structure of Rosuvastatin calcium
The electrochemical behavior of rosuvastatin calcium was investigated using cyclic voltammetry (CV) and chronoamperometry (CA) methods. Rosuvastatin calcium's reduction peak was seen at −1184 mV in pH 5 acetate buffers with a hanging mercury drop electrode (HMDE). Linearity for rosuvastatin calcium was found between 0.20 and 10.00 μg mL−1. While the LOD for rosuvastatin calcium was 0.07 μg mL−1, the LOQ was 0.20 μg mL−1. This method was applied (the first time) to the determination of rosuvastatin calcium from pharmaceutical preparations [12].
Electrochemical behavior and differential pulse polarographic analysis (DPPA) of rosuvastatin (RSV) in pure form and in pharmaceutical preparations using dropping mercury electrode (DME) with di-sodium hydrogen orthophosphate buffer was applied. One redaction peak was observed in the range -1081 to -1094 mV (Ep). The peak current Ip is linear over the ranges 0.0963-24.077 μg. mL-1. The DPPA has been used successfully for the determination of RSV in pure form and in pharmaceutical formulations. The relative standard deviation did not exceed 4.0% for the concentrations of RSV 0.0963 μg. mL-1. The limit of detection (LOD) and the limit of quantification (LOQ) were to be 0.0125 and 0.038 μg. mL-1, respectively [13].

Fig. 1: The nature of the measurement using the static mercury drop electrode (SMDE)
The SMDE used successfully in polarographic analysis. The SMDE combines the features of the DME and HMDE: As with the DME, the drops are constantly renewed, but during the measurement the drop area is constant as in the HMDE case. In a subsequent voltage (U) sweep, the Hg drops are knocked off by the tapping mechanism after the time t step set in the measurement mode. The nature of the measurement is shown in fig. (1) using the SMDE as an example. The SMDE is primarily used for sensitive measurements in which the surface of the mercury drop must be renewed for every measurement.
In the present work, electrochemical behavior and differential pulse polarographic determination of rosuvastatin in pure form and in pharmaceutical preparations using a static mercury drop electrode was applied.
MATERIALS AND METHODS
Reagents
di-Sodium hydrogen orthophosphate and phosphoric acids, were purchased from Merck. Rosuvastatin calcium (98.6%) was supplied by BDR PHARMACEUTICALS INTERNATIONAL PVT. LTD. (INDIA), its purity as rosuvastatin was 94.66%.
Supporting electrolyte
di-Sodium hydrogen orthophosphate of 0.075 mol. L−1 and H3PO4 was prepared by adding H3PO4 (1.0 M) to pH=1.5.
A stock standard solution of Rosuvastatin Calcium (1x10-5 mol. L-1)
This solution was prepared by dissolving 25.38 mg from Rosuvastatin calcium in 50 mL double distilled de ionized water (1x10-3 mol. L-1) then dilute 1.000 mL from this solution to 100 mL (1x10-5 mol. L-1 or 4.81539 μg. mL-1).
Working solutions
The stock solution was further diluted to obtain working solutions daily just before use in the ranges of RSV: 0.020, 0.040, 0.080, 0.100, 0.200, 0.400, 1.000, 2.000, 3.000, 4.000, 4.500 and 5.000 μmol. L-1 (9.631, 19.26, 38.52, 48.15, 96.31, 192.62, 481.54, 963.10, 1444.62, 1926.10, 2166.93 and 2407.70 ng. mL-1) by dilution of the volumes: 0.050, 0.100, 0.200, 0.250, 0.500, 1.000, 2.500, 5.000, 7.500, 10.000, 11.250 and 12.500 mL from stock standard solutions to 25 mL with supporting electrolyte. All solutions and reagents were prepared with double-distilled de ionised water and analytical grade chemicals. Ultrapure mercury from Metrohm Company was used throughout the experiments.
Instruments and apparatus
A Metrohm 746 VA processor, A Metrohm 747 VA stand with a static mercury drop electrode (SMDE) as a working electrode, an auxiliary platinum electrode and a reference electrode, double junction type, (Ag/AgCl) saturated with a 3.0 M KCl solution and the three-electrode cell were used. All measurements were done at room temperature 25 ± 5 oC. Highly pure nitrogen gas (99.999 %) was used for de-oxygenation. pH meter from Radiometer company model ion check was used for the studying and monitoring the pH effects. The diluter pipette model DIP-1 (Shimadzu), having 100 μL sample syringe and five continuously adjustable pipettes covering a volume range from 20 to 5000 μL (model PIPTMAN P, GILSON), were used for preparation of the experimental solutions. A ultrasonic processor model powersonic 405 was used to sonicate the sample solutions. Electronic balance (Sartorius-2474; d=0.01 mg) was used for weighing the samples.
Sample preparation
A commercial formulations (as tablet) was used for the analysis of Rosuvastatin (RSV) by using differential pulse polarographic analysis (DPPA) with static mercury drop electrode (SMDE). The pharmaceutical formulations were subjected to the analytical procedures:
(1) Rosuvastatin-ElSaad tablets, ELSaad pharma, Aleppo–SYRIA, each tablet contains: 10, 20 and 40 mg of RSV (Mfg. 04/2012 and Exp. 04/2016).
(2) Rosuva tablets, Unipharma, Damascus–SYRIA, Each tablet contains: 5, 10 and 20 mg of RSV (Mfg. 11/2011 and Exp. 11/2015).
(3) Rosuvastatin Sandy tablets, Sandy pharmaceuticals, Aleppo –SYRIA, Each tablet contains: 10, 20 and 40 mg of RSV (Mfg. 07/2012 and Exp. 07/2016).
(4) Turbovas tablets, City Pharma Co., Aleppo–SYRIA, each tablet contains: 10 and 20 mg of RSV (Mfg. 03/2012 and Exp. 03/2016).
(5) Crostatin tablets, Razi pharmaceutical industries, Aleppo–SYRIA, each tablet contains: 5, 10 and 20 mg of RSV (Mfg. 11/2011 and Exp. 11/2015).
Stock solutions of pharmaceutical formulations
Ten tablets of each studied pharmaceutical formulations were accurately weighed and powdered. The amount equivalent to tenth the weight of one tablet was weighed and solved in 50 ml double-distilled de ionised water by using ultrasonic bath for 15 min at 25oC, filtered over a 250 mL flask and diluting to 250 mL with water, which content as the follows: 2, 4, 8 and 16 μg. mL-1 for all studied pharmaceutical formulations content 5, 10, 20 and 40 mg/tab, respectively. Appropriate solutions were prepared by taking suitable aliquots into supporting electrolyte.
Working solutions of pharmaceuticals
These solutions were prepared daily by diluting 5.000, 2.500, 1.250 and 0.625 mL from stock solutions of pharmaceutical formulations, respectively, then diluting to 50 mL with supporting electrolyte; each solution contents 0.200 μg. mL-1 (200 ng. mL-1) of rosuvastatin.
Working standard addition solutions of pharmaceuticals
Standard addition solutions of pharmaceuticals were prepared as the follows: same mentioned volumes of stock solutions of pharmaceuticals with 0.000, 1.000, 2.000, 3.000 and 4.000 mL from stock solution of Rosuvastatin and diluting to 25 mL with supporting electrolytes; these solutions content (each one) 200 ng. mL-1 of RSV (from pharmaceuticals) plus 192.62, 385.20, 577.85 and 770.46 ng. mL-1 of RSV (from standard solutions), respectively.
Analytical procedure
25 mL of working standard solution of Rosuvastatin was transferred to the cell. The solution was well mixed by automatic mixer and de oxygenated with N2 gas for 100 s. Current-voltage curves were recorded. Limiting currents were measured. Calibration and standard addition of pharmaceuticals curves in supporting electrolytes was constructed.
Results and discussion
Differential pulse polarographic behavior
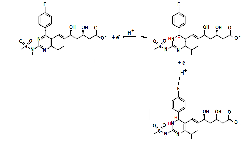
The polarograms in the optimal conditions (supporting electrolytes, pH, scan rate, initial potential, final potential,.. etc.) using DPPA at SMDE were studied. The reduction mechanism of RSV was investigated. The reduction step is expressed with a heterocyclic ring. It is proposed that the transfer of two electrons related to the reduction of RSV observed at -951 to -970 mV occurred on the nitrogen–carbon double bond of the pyrimidine ring (Scheme2).
The effect of pH
It is well known that the type of supporting electrolyte and pH of the media is very important for electrochemical studies. The values of pH solution (from 0.4 to 2.0) affect the peak current significantly. The influence of pH from 0.40 to 2.00 on Ip and Ep was studied. The values of Ip increase with increasing pH value of 0.40 to 1.00 then become semi-fixed until pH 1.6 after that decrease to pH=2.00, see fig. (2). Ep values are growing a negative value from -878 mV (when pH = 0.40) to -990 mV (when pH = 2.00).
The effect of supporting electrolytes (buffer)
Various buffers were examined as supporting electrolytes in the presence of RSV. The results showed that the di-Sodium Hydrogen Orthophosphate buffer (pH 1.5) gave the optimum signal response. The effect of supporting electrolytes (buffer) on the Ip was studied. It was found that, the di-Sodium hydrogen orthophosphate was the better buffer at concentration 0.075 mol. L-1.
The effect of negative pulse amplitude (U. ampl)
The effect of negative pulse amplitude between 0 to -100 mV on Ip showed that, Ip slowly increases with increasing amplitude until -30 mV then becomes a linear increase until -90 mV after that deviate from the linear, while Ep increasing of positive value.
The value -90 mV was better than another’s, see fig. (3).
The effect of time pulse (t. pulse)
The effect of time pulse (35, 40, 45, 50, 60, 70, 80, 90, 100, 110, 120, 130 and 140 ms) on polarograms was as the follows: Ip decreases with increasing time pulse and Ep has become increasingly latency positive value (-952 to -929 mV) with increasing t. pulse. The peak was more symmetrical when the t. pulse value of 40 ms, see fig. (4).
The effect of time interval for voltage step (t. step)
Ip increases with increasing t. step at values (0.6, 0.7, 0.8, 0.9, 1.0, 1.2, 1.4, 1.6, 1.8, 2.0, 2.2, 2.6 and 3.0 s), while Ep remains quasi-static. The value of the preferred t. step was 1.6 s, see fig. (5).


Scheme 2: Proposed mechanism for reduction of RSV

Fig. 2: The effect of pH solution on the polarograms of RSV (192.56 ng. mL-1) using DPPA at SMDE at pH: 1- 0.40; 2- 0.50; 3- 0.75; 4- 1.00; 5- 1.25; 6- 1.50; 7- 1.75 and 8- 2.00 (Purge gas N2, Purge time 100 s, Scan rate 5.0 mV/s, U. amplitude -90 mV, t. meas. 32 ms, t. pulse 40 ms, t. step 1.6 s, temperature of solution25°± 5°C and Na2HPO4 buffer)

Fig. 3: The effect of negative pulse amplitude (U ampl.) on the polarograms of RSV (192.56 ng. mL-1) using DPPA at SMDE at: 1) - 10; 2) -20; 3) -30; 4) -40; 5) -50; 6) -60; 7) -70; 8) -80; 9) -90 and 10) -100 mV (Purge gas N2, Purge time 100 s, Scan rate 5.0 mV/s, pH=1.5, t. meas. 32 ms, t. pulse 40 ms, t. step 1.6 s, temperature of solution 25°± 5°C and Na2HPO4 buffer)

Fig. 4: The effect of time pulse (t. pulse) on the polarograms of RSV (192.56 ng. mL-1) using DPPA at SMDE at: (1) 35; (2) 40; (3) 45; (4) 50; (5) 60; (6) 70; (7) 80; (8) 90; (9) 100, (10) 110, (11) 120, (12) 130 and (13) 140 ms (Purge gas N2, Purge time 100 s, Scan rate 5.0 mV/s, pH=1.5, t. meas. 32 ms, U. amplitude -90 mV, t. step 1.6 s, temperature of solution 25°± 5°C and Na2HPO4 buffer)

Fig. 5: The effect of time interval for voltage step (t. step) on the polarograms of RSV (192.56 ng. mL-1) using DPPA at SMDE (Purge gas N2, Purge time 100 s, pH=1.5, t. meas. 32 ms, U. amplitude -90 mV, t. pulse 40 ms, temperature of solution 25°± 5°C and Na2HPO4 buffer)
The effect of measurement time (t. meas)
The effect of measurement time (t. meas.) on the polarograms using DPPA at SMDE of RSV at values (2, 4, 6, 8, 12, 14, 16, 18, 20, 22, 24, 26, 28, 30 and 32 ms) was studied. Ip slowly increases with increasing t. meas. from 2 to 16 ms then becomes a linear increase until 32 ms, while Ep remains quasi-static. The value of the preferred t. meas was 32 ms, see fig. (6).

Fig. 6: The effect of measurement time (t. meas.) on the polarograms of RSV (192.56 ng. mL-1) using DPPA at SMDE (Purge gas N2, Purge time 100 s, Scan rate 5.0 mV/s, pH=1.5, t. step 1.6 s, U. amplitude -90 mV, t. pulse 40 ms, temperature of solution 25°± 5°C and Na2HPO4 buffer)
The effect of voltage step (U. step) and sweep rate
The different values of voltage step (U. step) at values (2, 4, 6, 8, 10 and 12 mV) and sweep rate at 1.25 to 7.50 mV/s were studied. Ip remains quasi-static from 2 to 8 then slowly decreases.
It was found that, the value of U. step 8 mV and sweep rate 5.0 mV/s were the better.
The effect of drop size
Ip increases with increasing drop size from 1 to 9 size, while Ep has become proximal constant (-943 to -951 mV) with increasing drop size. The value of the preferred drop size was 9.
The effect of initial and final potential
The effect of initial and final potential on the Ip was studied. It was found that better initial potential was -900 mV and better final potential was -1200 mV.
The effect of temperature and time
The effect of temperature and time on the electrochemical reaction of Rosuvastatin was studied at different values (15-35oC, 5-60 min) by continuous monitoring of the Ip. It was found that, the value of Ip was not affected by temperature between 20 to 30oC (the temperature at 25±5°C was used). The effect of waiting time was determined at laboratory ambient temperature (25±5°C). It was found that, the value of Ip was not affected by time between 5 to 60 min. The optimum parameters established for determination of RSV using DPPA on SMDE showed in table 1.
Calibration curves
Calibration curves for the determination of Rosuvastatin using differential pulse polarographic analysis on SMDE with negative amplitude at pH1.5 with di-sodium hydrogen orthophosphate buffer were applied. One reduction peak was observed in the range -951 to -970 mV (Ep). The peak current (Ip) was proportional to the concentration of RSV over the ranges 0.00963-1.926 μg. mL-1 (0.0200–4.000 μmol. L-1). The polarograms in the optimum conditions using DPPA at SMDE of RSV at different concentrations show in fig. 7. The regression equation and correlation coefficient (R2) was as the follows: y=-0.5737x-0.8577, R2=0.9999; y: Ip, nA and x: CRSV, ng. mL-1, see fig. 8.
Table 1: The optimum parameters established for determination of RSV using DPPA on SMDE
| parameters | Operating modes |
| Working electrode | Static mercury drop electrode (SMDE) |
| Supporting electrolytes (buffer) | di-Sodium hydrogen orthophosphate buffer, 0.075 mol. L-1 |
| pH | 1.5 |
| Solvent rosuvastatin calcium | double distilled deionized water |
| Value of pulse amplitude | -90 mV |
| Purge gas | Pure N2 |
| Purge time | 100 s |
| Initial potential | -800 mV |
| Final potential | -1200 mV |
| U. step | 8 mV |
| Scan (sweep) rate | 5.0 mV/s |
| t. meas | 32 ms |
| t. pulse | 40 ms |
| t. step | 1.6 s |
| Peak Potential, mV | -951 to -970 mV |
| Temperature of solution | 25°± 5°C |
| LOD(3.3SD) | 1.22 ng. mL-1 |
| LOQ (10SD) | 3.70 ng. mL-1 |
| Linearity range of concentration | 9.631 to 1926.10 ng. mL-1 (0.02 to 4.00 µM) |
| Regression equation: | *y=-0.5737x-0.8577 |
| Slope | -0.5737 |
| Intercept | -0.8577 |
| Correlation coefficient (R2) | 0.9999 |
| RSD | 3.8% |
* y= nA, x= concentration of rosuvastatin (ng. mL-1).

Fig. 7: The polarograms in the optimum conditions using DPPA on SMDE of RSV in Na2HPO4 buffer (pH 1.5) at concentrations: 1- 0; 2- 9.631; 3- 19.262; 4- 38.52; 5- 48.15; 6- 96.31; 7- 192.56; 8- 481.54; 9- 963.10; 10- 1444.62; 11- 1926.10, 12- 2166.93 and 2407.70 ng. mL-1

Fig. 8: Calibration curves for the determination of RSV using DPPA on SMDE under the optimum conditions
Analytical results
Determination of RSV using DPPA on SMDE under the optimum conditions using analytical curves, Ip=f(CRSV), showed that the accuracy was ready over the ranges of RSV concentration between 9.631–1926.10 ng. mL-1.
The relative standard deviation (RSD) not more than 3.8%, see table 2. Limit of detection (LOD) and limit of quantitation (LOQ) for the determination of RSV by this method was as the follows: 1.22 and 3.70 ng. mL-1, respectively.
Table 2: Determination of rosuvastatin using DPPA on SMDE with negative amplitude in Na2HPO4 buffer (0.075 mol. L-1) at pH 1.5
| RSD % | , ng. mL-1 | , ng. mL-1 | SD, ng. mL-1 | *, ng. mL-1 (Found) |
xi, ng. mL-1 (Taken) |
| 3.8 | 9.83± 0.46 | 0.17 | 0.37 | 9.83 | 9.631 |
| 3.7 | 19.42± 0.89 | 0.32 | 0.72 | 19.42 | 19.26 |
| 3.5 | 37.72± 1.64 | 0.59 | 1.32 | 37.72 | 38.52 |
| 3.2 | 47.31± 1.88 | 0.68 | 1.51 | 47.31 | 48.15 |
| 3.0 | 94.37± 3.51 | 1.27 | 2.83 | 94.37 | 96.31 |
| 2.7 | 197.21± 6.61 | 2.38 | 5.32 | 197.21 | 192.62 |
| 2.4 | 477.85± 14.24 | 5.13 | 11.47 | 477.85 | 481.54 |
| 2.1 | 957.19± 24.95 | 8.99 | 20.10 | 957.19 | 963.08 |
| 1.8 | 1462.68± 32.68 | 11.77 | 26.33 | 1462.68 | 1444.62 |
| 1.8 | 1916.88± 42.83 | 15.43 | 34.50 | 1916.88 | 1926.10 |
| 2.4 | 2090.20± 62.28 | 22.43 | 50.16 | 2090.20 | 2166.93 |
| 3.2 | 2295.10± 91.18 | 32.84 | 73.44 | 2295.10 | 2407.70 |
* n=5, t=2.776.
Repeatability
The repeatability of the method was evaluated by performing 10 repeat measurements for 96.31 ng. mL-1 of RSV using DPPA on SMDE under the optimum conditions. The amount of RSV was found to be 94.37 ± 2.48 and the percentage recovery was found to be 97.99 ± 2.52 with RSD of 0.030. These values indicate that the proposed method has high repeatability and precision for RSV analysis.
Applications
Many applications for the determination of Rosuvastatin in some Syrian pharmaceutical preparations using differential pulse polarographic analysis on static mercury drop electrode with negative amplitude in di-sodium hydrogen orthophosphate buffer at pH=1.5 were proposed. Standard addition curves for determination of RSV in different Syrian pharmaceutical preparations (Rosuvastatin-ElSaad, Rosuva, Rosuvastatin Sandy, Turbovas and Crostatin) were used.
The standard addition curve of Rosuvastatin-ElSaad (20 mg/tab.) was showed in Fig. 9, as an example. Regression equations and correlation coefficients were included in table 3. Standard addition curves for determination of RSV in different Syrian pharmaceutical preparations were used.
Table 3: Regression equations and correlation coefficients for determination of rosuvastatin in Syrian pharmaceutical preparations using DPPA on SMDE with negative amplitude in Na2HPO4 buffer at pH 1.5
Pharmaceutical |
RSV |
Operating modes |
|||
Regression equations* |
Correlation coefficients |
m', |
Amount of rosuvastatin (m), mg/tab. |
||
Rosuvastatin-ElSaad tablets, ELSaad pharma, Aleppo–SYRIA |
10 |
y=-0.5701x-110.4 |
R2=0.9990 |
193.60 |
mRSV/tab.=0.05m'=9.680 |
20 |
y=-0.5731x-116.15 |
R2=0.9993 |
202.70 |
mRSV/tab.=0.1m'=20.270 |
|
40 |
y=-0.5699x-110.8 |
R2=0.9994 |
194.51 |
mRSV/tab.=0.2m'=38.902 |
|
Rosuva tablets, Unipharma, Damascus–SYRIA |
5 |
y=-0.5711x-105.65 |
R2=0.9989 |
185.00 |
mRSV/tab.=0.025m'=4.625 |
10 |
y=-0.5706x-110.82 |
R2=0.9991 |
194.23 |
mRSV/tab.=0.05m'=9.712 |
|
20 |
y=-0.5718x-114.07 |
R2=0.9992 |
199.50 |
mRSV/tab.=0.1m'=19.95 |
|
Rosuvastatin Sandy tablets, Sandy pharmaceuticals, Aleppo –SYRIA |
10 |
y=-0.5710x-111.69 |
R2=0.9990 |
195.60 |
mRSV/tab.=0.05m'=9.780 |
20 |
y=-0.5730x-107.15 |
R2=0.9992 |
187.00 |
mRSV/tab.=0.1m'=18.700 |
|
40 |
y=-0.5698x-110.93 |
R2=0.9994 |
194.68 |
mRSV/tab.=0.2m'=38.936 |
|
Turbovas tablets, |
10 |
y=-0.5700x-111.87 |
R2=0.9991 |
196.26 |
mRSV/tab.=0.05m'=9.813 |
20 |
y=-0.5738x-115.62 |
R2=0.9992 |
201.50 |
mRSV/tab.=0.1m'=20.150 |
|
Crostatin tablets, |
5 |
y=-0.5710x-105.65 |
R2=0.9989 |
185.02 |
mRSV/tab.=0.025m'=4.626 |
10 |
y=-0.5698x-114.22 |
R2=0.9990 |
200.45 |
mRSV/tab.=0.05m'=10.023 |
|
20 |
y=-0.5730x-111.05 |
R2=0.9993 |
193.80 |
mRSV/tab.=0.1m'=19.380 |
|
*y= nA, x= concentration of RSV (ng. mL-1)= m' = intercept/slope.
Table 4: Determination of rosuvastatin in Syrian pharmaceuticals using DPPA on SMDE with negative amplitude in Na2HPO4 buffer at pH 1.5
| Commercial name | Contents, mg/tab. |
*, mg/tab. |
RSD% | Recovery % |
Rosuvastatin-ElSaad tablets, ELSaad pharma, Aleppo–SYRIA |
10 | 9.680 | 3.0 | 96.80 |
| 20 | 20.270 | 2.9 | 101.35 | |
| 40 | 38.902 | 2.7 | 97.25 | |
Rosuva tablets, Unipharma, Damascus–SYRIA |
5 | 4.625 | 3.2 | 92.50 |
| 10 | 9.712 | 2.9 | 97.12 | |
| 20 | 19.95 | 2.8 | 99.75 | |
Rosuvastatin Sandy tablets, Sandy pharmaceuticals, Aleppo –SYRIA |
10 | 9.780 | 3.0 | 97.80 |
| 20 | 18.700 | 2.8 | 93.50 | |
| 40 | 38.936 | 2.7 | 97.34 | |
Turbovas tablets, City Pharma Co., Aleppo–SYRIA |
10 | 9.813 | 2.9 | 98.13 |
| 20 | 20.150 | 2.8 | 100.75 | |
Crostatin tablets, Razi pharmaceutical industries, Aleppo–SYRIA |
5 | 4.626 | 3.3 | 92.52 |
| 10 | 10.023 | 3.0 | 100.23 | |
| 20 | 19.380 | 2.8 | 96.90 |
* n=5
The amount (m) of RSV in one tablet by mg/tab (mRSV/tab.) calculated from the following relationship: m = h. m', where: m' is the amount of RSV in tablet, which calculated from the standard additions curve according to the following regression equation: y=a. x+b; when y=0; m'=x= b/a= intercept/slope (ng. mL-1) and h conversion factor is equal to 0.025, 0.05, 0.1 and 0.2 for all pharmaceuticals content 5, 10, 20 and 40 mg/tab, respectively. The results of quantitative analysis for RSV in the pharmaceutical preparations using this method were included in Tables 4. It found that, the amount of RSV in different pharmaceutical preparations were decreases with the time (2-3% after one year; June 2013[13] to June 2014, store at room temperature 20-30oC) and the relative decrease was more in the tablets which contain lesser amount of RSV.

Fig. 9: The standard addition curve for determination of RSV in Rosuvastatin-ElSaad (20 mg/tab.) using using DPPA on SMDE with negative amplitude in Na2HPO4 buffer at pH 1.5
The statistical comparison of differential pulse polarographic analysis results using SMDE under the optimum conditions with spectrophotometric analysis results [10,11] were done. The results were compared with spectrophotometric methods reported in the literature and no significant difference was found statistically.
The proposed method was simple, economic, accurate and successfully applied to the determination of rosuvastatin in pharmaceuticals. The results obtained agree well with the contents stated on the labels.
Conclusion
Differential pulse polarographic behavior and determination of RSV in pure form and in pharmaceutical preparations with Na2HPO4 buffer at pH 1.5 using a SMDE was applied. One redaction peak was observed in the range -951 to -970 mV (Ep). The peak current Ip is linear over the ranges 9.631-1926.10 ng. mL-1. The relative standard deviation did not exceed 3.8% for the concentration 9.631 ng. mL-1of RSV. Regression analysis showed a good correlation coefficient (R2= 0.9999). The LOD and the LOQ were to be 1.22 and 3.70 ng. mL-1, respectively. The proposed method was successfully applied to the analysis of RSV in pure and pharmaceutical dosage forms with average recovery of 92.50 to 101.35%. The results were compared with a spectrophotometric methods reported in the literature and no significant difference was found statistically. It found that, the amount of RSV in different pharmaceutical preparations were decreases with the time (2-3% after one year; June 2013[13] to June 2014) and the relative decrease was more in the tablets which contain lesser amount of RSV.
References