1Programa de Pós-graduação em Química. Departamento de Química e Exatas. Universidade Estadual do Sudoeste da Bahia. Rua José Moreira Sobrinho s/n, CEP: 45206-190. Jequié. Bahia. Brasil, 2Programa de Pós-graduação em Botânica, Universidade Estadual de Feira de Santana, Departamento de Ciências Biológicas, Laboratório de Ficologia, Av. Transnordestina, s/n – Bairro Novo Horizonte
CEP: 44036-900 - Feira de Santana – BA, Brasil, 3Escola de Farmácia, Universidade Federal de Ouro Preto, Rua Costa Sena, n. 171. Ouro Preto – MG, Brasil. CEP: 35.400-000.
Email: rmouraa@yahoo.com.br
Received: 16 Oct 2014 Revised and Accepted: 12 Nov 2014
ABSTRACT
Objective: Here we present the results of the biological potential as antioxidant, anti-cancer and leishmaniscidal from extracts of Padina boergesenii Allender & Kraft and of Sargassum stenophyllum Martius, seaweed species commonly found in bay of the Brazilian Atlantic coast named Baía de Todos os Santos, state Bahia. In addition, we reported on the chemical composition of extractive fractions from these algae.
Methods: Phytochemicals prospecting methods such as thin layer chromatography (TLC) and spectrometry in the UV/Vis region were used to identify the chemical class of constituents from these algae extracts. Antioxidant potential of the fractions was evaluated using the α,α-diphenyl-β-picrylhydrazyl (DPPH) free radical scavenging method. The cytotoxic potential of seaweed extracts against the human breast cancer (MFC-7) cell lines was evaluated using the sulforhodamine B (SRB) colorimetric assay. The leishmanicidal effect of algae extracts against promastigotes of Leishmania amazonenses Laison & Shaw 1972 was evaluated using amphotericin B (AMB) as positive control.
Results: Were detected flavonoids, steroids, carotenoids, anthocyanins and phenolic compounds from algae extracts in hexane, chloroform and n-butanol. Overall, extractive fractions showed moderate antioxidant activities in comparison with quecertin, butylated hydroxytoluene and gallic acid. Fractions from P. boergesenii and chloroform fraction of S. stenophyllum presented significant activity against MCF-7 cells by inhibiting the cells grown among 55.0 to 66.0 %. These results were closely similar to inhibition reached by colchicine (67.0 %) used as positive control. No antileishmanial significant effect was observed for P. boergesenii and S. stenophyllum extracts at the tested conditions.
Conclusion: The results indicated a promissory pharmacologic potential for the P. boergesenii and S. stenophyllum extracts, Which open perspectives to the isolation of their active constituents.
Keywords: Padina boergesenii, Sargassum stenophyllum, DPPH, MCF-7 cell inhibition, Anti-Leishmania.
INTRODUCTION
The marine biodiversity, associated with the great variability of natural compounds, produced by organisms of this environment have driven chemical and pharmacological studies aiming the knowledge related to biological potentialities. In this context, marine algae represent a large and diverse group of organisms from which a wide range of secondary metabolites have been isolated. A considerable number these compounds possess biological activity, such as cytotoxicity, antibacterial, antifungal, antiviral, antitumor and other specific activities. These autotrophic organisms have been used as a source of raw material for manufacturing medicines and cosmetics. Moreover, some species of algae are used as food by people of different countries. Thus, is possible to affirm that these algae represent an economically important and useful source of products for the modern man. [1-4]. For example, the large use of brown seaweeds is associated to its nutritional properties and rich chemical constitution, mainly in relation to the presence of polyunsaturated fatty acids (PUFAs), carotenoids, sulfated polysaccharides and steroids [5].
Through studies of some selected seaweeds, mainly species of Padina, that are also naturally found in the Gulf of Mannar Coast, South India, were observed high antimicrobial activity against both gram-negative an Gram-positive bacteria [5]. P. boergesenii brown algae were related to activity to control urinary risk factors of stones in experimental hyperoxaluria [6]. In accordance to the results obtained by Senthilkumar and coworkers [7], P. boergesenii was regarded having hypoglycemic effect, however, no explanation about its active chemical constituent and the action mechanism involved. Methanol extract from P. boergesenii (from Persian Gulf) showed a significant ferric reducing ability of plasma activity (FRAP) and also a high hypoglycemic effect, these activities might be due to chemical constituents as carotenoid, sterol, fucoxanthin, phenolic compounds, and monoterpenes [8]. Also, in polysaccharides isolated from S. stenophyllum were observed antitumor activity [9] and antiangiogenic properties [10]; for other species of Sargassum genera were assigned both cytotoxic and antibiotic activities [11].
Free radicals have been associated with regular cellular activities, however, due imbalance on the redox homeostasis, occur cumulative effects that can cause disorders in the body such as inflammation, atherosclerosis, cerebral ischemia, diabetes, cancer and even premature aging [12,13].
Therefore, substances with potential to inhibit formation and/or proliferation of reactive substances as free radicals are known as antioxidants. In this context, algae represent a promising source of antioxidant, and other bioactive compounds yet to be discovered [12,13]. However, the search for compounds with antioxidant properties is not a target too focused among researchers. In fact, there is great worldwide interest in new compounds with anti-cancer properties, including Brazilian researchers, because in Brazil cancer occupies a prominent position as the third leading cause of deaths [14]. Therefore, antitumor assays (in vitro) have been of great value to recognition of compounds which are able to inhibit the development of neoplastic processes in human tissue.
In the present work were evaluated the antioxidant potential, leishmanicidal activities and properties to inhibit growth of tumor cells MCF-7 line shown by organic fractions obtained from algal species P. boergesenii and S. stenophyllum, as well as, inferences on their chemical constitution.
MATERIAL AND METHODS
Collection of algae and fractions preparation
Boergesenii Padina Allander and Kraft and Sargassum stenophyllum (Martens) Martius specimens were collected in the municipality of Madre de Deus, located in the Baia de Todos os Santos, Bahia, Atlantic coast of Brazil (12º 44’ 45.3’’ S, 38º 36’ 5.1’’ W). A voucher specimen was prepared for taxonomic identification in the Laboratorio de Ficologia, Universidade Estadual de Feira de Santana, Bahia, Brazil.
Samples of P. boergesenii and S. stenophyllum were respectively washed with distilled water, slightly dried and subjected to extraction by maceration with methanol during 72 hours. This process was repeated twice, and the extracts brought together in a single portion. Then, the methanol was recovered under reduced pressure (at ~ 400 C) using a rotary evaporator. The crude methanol extract was partitioned using the solvent gradient, providing the fractions in hexane, chloroform and n-butanol. Fractions from P. boergesenii obtained with hexane (PH), chloroform (PC) and butanol (PB); and fractions from S. stenophyllum using chloroform (SC) and butanol (SB) were subjected to biological assays. Due to the small amount and low water solubility, the hexane (SH) fraction was not used in biological tests.
Chemical profile of fractions
Spectrophotometry UV/Vis
Evaluation of chemical profile of fractions from P. boergesenii and S. stenophyllum was made as suggested by de Oliveira [16]. Thus, were prepared solutions (2.0 g/L) using chloroform analytical grade (Merck) as solvent. Then, the solutions were analyzed by a double beam UV/Vis Spectrophotometer (PG Instruments) with scanning range at 200 to 800 nm.
Antioxidant potential
The antioxidant potential of fractions from P. boergesenii and S. stenophyllum was evaluated using an adapted DPPH (α,α-diphenyl-β-picrylhydrazyl) free radical scavenging method. Samples were prepared in methanol with seaweed extract solutions (100.0, 10.0 and 1.0 µg/ml). Reaction mixture 1.5 ml diluted sample and 1.5 ml DPPH solution (24 µg/ml), 30 minutes time of reaction in dark, measurement of absorbance at 516 nm. Quecertin, butylated hydroxytoluene (BHT) and gallic acid, were used as positive controls in the same sample test conditions. The result was expressed as DPPH inhibition percentage by the formula: %DPPH inhibition = (1-Aa)/Ac x 100, where, Aa and Ac correspond to measured absorbance decrease with sample and control, respectively [15].
Anti-proliferation of MCF-7 cell line assay
The sulforhodamine B (SRB) cholorimetric assay was used for cell density determination based on the measurement of cellular protein content. This method has been used for the toxicity screening of compounds to adherent cells in a 96-well format. After an incubation period, cell monolayers are fixed with 10% (wt/vol) trichloroacetic acid and stained for 30 min, after which the excess dye is removed by washing repeatedly with 1% (v/v) acetic acid. The protein-bound dye is dissolved in 10 mM Tris base solutions for optical density (OD) determination at 515 nm using a microplate reader [16]. Initially, suspensions of MCF-7 (ATCC, Cat. No. HT22) cells were distributed in a 96 wells microplate (10 x 103 cells/well) and incubated at humidity atmosphere containing 5% CO2, 37 0C, for 24 hours, to reach a monolayer of cells. Then, samples from P. boergesenii and S. Spathiphyllum was respectively added to wells containing the culture medium with MCF-7 cells, to reach final concentration of 20.0 μg/mL. Colchicine (8.0 µg/mL) was used as positive control [16]. The cells were incubated at 37 0C, for 48 hours, and treated with SRB (0.4% in acetic acid 1% soln.). The cell proliferation was measured based on the OD at 515 nm using a microplate reader. The assays were carried out in triplicate.
Anti-Leishmania assay
Anti-Leishmania effects (in triplicate) were evaluated by the adapted protocol from Callahan and cols. [17] and Siqueira [18] and coworkers. Promastigotes of L. amazonensis isolated from hamsters lesions were cultured at 24 0C in 25 cm2 flasks (Costar) in Schneider media (Invitrogen) supplemented with 10% FBS (Hyclone) and stored at -70 0C. The transition to axenic-amastigote form was reached when the culture aliquots were transferred to Shneider culture medium, at pH 7.2, and kept at 26 ºC for 7 days. Subsequently, the culture medium was centrifuged and suspended in a new Schneider medium (pH 6.0) and incubated again at 32 ° C for 9 days. The Neubauer chamber (NC) was used to determine suspension concentration of amastigotes. Cultures were driven to reach their metacyclic stage, determined by the parasite number under stationary behavior and rosette formation. Overall, 90% of parasites number in the axenic amastigote form was obtained.
A volume 90.0 μL of culture (1x108 parasites/mL) and 10.0 μL of seaweed extract solution until reaching 20.0 μg/mL were placed into each microplate well (96 wells). As controls were used: a) 100.0 μL of culture (1x108 parasites/mL), b) 90.0 μL of culture with 10.0 μL of amphotericin B (AMB) Fungison® Bristol-Myers Squibb, at 0.2 μg/mL, c) 100.0 μL culture medium and d) 90.0 μL culture medium plus 10.0 μL of seaweed fraction. The MTT (3-(4,5-dimethylthiazol-2-yl)-2,5-diphenyltetrazolium bromide) tetrazolium (10.0 μL/well) reduction assay was used to determine the cell viability. Then, the suspension of axenic amastigotes, cultivated at 32 ºC in BOD incubator, after homogenization, was centrifuged (1000 rpm/10 min) at 27 ºC and, the sediment dissolved in Gibco® Schneider's medium (10 mL, pH 6.0). Concentration of amastigotes was measured in a NC using a suspension aliquot (10 μL) diluted in Phosphate-Buffered Saline - PBS (490 μL). This suspension (20 μL) was added over the laminule and the amastogotes were counted in the central quadrant of NC. The number of amastigotes found was multiplied by the dilution factor and by 104 (NC correction factor) establishing the amastogote density or number of amastogotes/mL culture. Having concentration of 108 amastigotes parasites/mL, the suspension was homogenized by vortex and inoculated into the microplate wells. To wells used as controls were added 10.0 µL of DMSO and AMB. Test wells received another 10 µL of sample (at 200.0 ug/mL in ultrapure water with 1% DMSO). The microplate was sealed with parafilm and incubated in a BOD at 32°C for 72h. After this period, 10.0 μL of 5.0 mg/mL MTT solution were added to each well. After another 4 hours incubating (32°C), 100.0 μL of sodium dodecyl sulfate solution (10 % in isopropanol) were added in order to interrupt the MTT colorimetric reaction. Having spent 30 min at room temperature, the sample was analyzed in UV/Vis spectrophotometer at λ = 570 nm.
Table 1: Secondary metabolites classes identified by UV-Vis spectroscopy in extracts of P. boergesenii and S. stenophyllum
Observed UV/Vis absorption band [λmáx (nm)] |
Class of compound assigned | Constituents reported | Ref. |
| 245 - 280 | Flavonoids | Calycosin1 | [11] |
| 290 - 310 | Steroids | Fucosterol1 | [11] |
| 420 - 450 | Carotenoids | Fucoxanthin2 | [20] |
| 525 - 560 | Anthocyanins | ||
| 650 - 740 | Pigments, tannins and phenolics | Phlorotannins2 | [21] |
1=P. boergesenii and 2= S. stenophyllum
RESULTS AND DISCUSSION
Based on the absorption spectra in the UV/Vis scanned between 200 and 800 nm and comparison with the literature, some classes of chemical constituents occurring in seaweed extracts could be identified. The UV/Vis spectra of the fractions showed similar profiles. However, was possible to correlate them with metabolites, such as flavonoids and plant pigments (Table 1). In accordance with previous studies, the antioxidant potential observed for seaweeds extracts was associated to the presence of phenolic acids, flavonoids and tannins, besides steroids [11,19,20], which presented intense absorption bands in the UV/Vis spectra.
Carotenoids from P. Bourgeoisie was related to their antioxidant actions capable for protecting the liver for acute damage induced by CCl4 in rats [17]. Siqueira and co-workers reports the presence of polysacharides and phlorotannins as constituents of S. stenophyllum [18]. Several phlorotannins, as tannins, exhibit properties to form complexes with proteins [19].
The scavenge ability on DPPH solution (24 µg/mL) of P. boergesenii and S. stenophyllum fractions at three concentrations (100.0, 10.0 and 1.0 µg/mL) is presented in fig. 1. Based on the results, it was observed no significant differences between the percentages inhibitions produced for algae extracts (P < 0.05). Overall, they showed moderate antioxidant potential (about 46%, fig. 1). Quercetin (56.37%, 89.29% and 96.35% and BHT (59.97%, 85.74% and 97.05%) standards at 1, 10 and 100 µg/mL, respectively, shown significant changes (P <0.05). However, gallic acid, similar to seaweed extracts there were no significant changes (87.41%, 89.75% and 96.80%) and was used as comparison basis. There is potential to increase the percent inhibition of DPPH radical at higher concentrations, probably, due to small amounts of active components occurring in seaweed extracts.

Fig. 1: DPPH scavenging activities (%) of P. boergesenii and S. stenophyllum extracts prepared with hexane (PH), butanol (PB, SB) and chloroform (PC, SC), respectively. Quercetin, BHT and gallic acid were used as positive controls
The percent of DPPH inhibition reported for Sargassum wightii Greville ex. J. Agardh extracts (ethanol and acetone at 200 to 1000 g/mL) was increased in accordance with the increasing concentration. Therefore, was possible to conclude that the antioxidant potentials of fractions from P. boergesenii and S. stenophyllum were significant, even using concentrations lower than those used by Indu and Seenivasan [22] testing extracts of S. wightii.
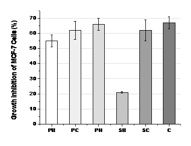
To evaluate the effect of fractions from P. boergesenii and S. stenophyllum on proliferation of cancer cells were used a human breast adenocarcinoma cell line (MCF-7). According to data from the National Cancer Institute (NCI, USA) this strain is suitable to detect 95 % of extracts that contain antitumor substances. In the antitumor assays in vitro the cellular viability was evaluated based on protein staining intensity produced by SRB in the MCF-7 neoplastic cells. Based on the results (fig. 2) was observed some seaweed fractions (P. boergesenii and S. stenophyllum) presenting inhibition proliferation values of MCF-7 cells around 60%, meaning that inhibition effects were similar to those induced by the positive control (colchicine, 67.0 ± 4.0%). On the other hand, antiproliferative activities found for both CP (55.0 ± 4.0%) and SB (21.0 ± 0.5%) fractions against MCF-7 cells were considered medium and moderate, respectively. As noted, the nonpolar algal extracts containing predominantly lipophilic constituents showed the most significant cytotoxic activities.

Fig. 2: Growth inhibition (%) of MCF-7 cells induced by P. boergesenii and S. stenophyllum extracts prepared with hexane (PH), butanol (PB, SB) and chloroform (PC, SC), respectively. Colchicine (C) was used as positive control
The leishmanicidal effects induced by PB, PC, PH, SB and SC fractions were realized on promastigotes and/or amastigotes of L. amazonensis. Based on the results (fig. 3 and Tabel 4) was possible to determine that the growth inhibition of the promastigotes and/or amastigotes ranged from 40 to 72 %. Better results against the protozoan L. amazonensis were observed to the P. boergesenii fractions PB (72.0 ± 5.0 %), PC (69.0 ± 4.5 %) and PH (51.0 ± 3.0 %), respectively. Fractions from S. stenophyllum were considered as being moderately active (~40 % of L. amazonensis growth inhibiton). Based on the results of testing anti-Leishmania concluded that polar fractions showed the best results related to growth inhibition of L. amazonensis, the protozoa that cause Leishmaniasis.

Fig. 3: Growth inhibition (%) of L. amazonensis induced by P. boergesenii and S. stenophyllum extracts prepared with hexane (PH), butanol (PB, SB) and chloroform (PC, SC), respectively. Amphotericin B as positive control (AMB)
Based on literature data, which indicates that only values above 80 % should be considered as effective, the results herein obtained can be classified as moderately active. But considering that crude fractions were used in the anti-leishmania assays, they represent a promising source of most effective active compounds.
The antioxidant potential, associated with antiproliferative effects on cancer cell lines, as well as the significant antileishmanial activity, create interesting prospects to new researches in order to isolate active constituents of P. boergesenii and S. stenophyllum.
CONCLUSION
This work contributes with new information about P. boergesenii and S. stenophyllum, marine algae commonly found in Atlantic Coast of Baía de Todos os Santos, Bahia, Brazil. According to our knowledge there are no published studies related with the biological activities of secondary metabolites from these seaweeds.
ACKNOWLEDGMENT
The authors do thank the Fundação de Amparo à Pesquisa do Estado da Bahia (FAPESB) for financial support.
CONFLICT OF INTEREST
The authors declare no conflict of interest possess
REFERENCES