Int J Pharm Pharm Sci, Vol 7, Issue 1, 61-68Original Article


AN EFFICIENT AND SIMPLE SYNTHESIS OF 2, 3-DIHYDRO-1, 3, 4-THIADIAZOLES, PYRAZOLES AND COUMARINS CONTAINING BENZOFURAN MOIETY USING BOTH CONVENTIONAL AND GRINDING METHODS

ANHAR ABDEL-AZIEM

Department of Chemistry, Faculty of Science (Girl’s), Al-Azhar University, PO box 11754, Yousef Abbas Str., Nasr City, Cairo, 11754, Egypt.
Email: anhar_abdelaziem27@yahoo.com

Received: 16 Oct 2014 Revised and Accepted: 15 Nov 2014


ABSTRACT

Objective: Green chemistry is the approach for synthesizing and using of chemicals that minimize risks to human and to the environments. The aim of this study describes the synthesis of some new thiadiazole, pyrazole and coumarin derivatives bearing benzofuran moiety by conventional, solvent free conditions (grindstone) and evaluating their antimicrobial effect.

Methods: Interaction of benzofuran derivative with different reagents under both grinding and conventional conditions.

Results: A facile, rapid and eco-friendly route with good yield for the synthesis of new thiadiazole, coumarin and pyrazole derivatives by grinding the reactants was reported. The structure of newly synthesized compounds was elucidated from spectral data (IR, NMR and mass). The investigation of antifungal and antibacterial screening data revealed that some of the tested compounds show moderate to low activities.

Conclusion: 3-(benzofuran-2-yl)-1-phenyl-1H-pyrazole-4-carbaldehyde was utilized as key intermediate for the synthesis of some new heterocycles, namely 2,3-dihydro-1,3,4-thiadiazole, pyrazole and coumarin derivatives under both grinding and convenential conditions. Most of the newly synthesized products revealed moderate activity against the tested microorganisms.

Keywords: 3-(Benzofuran-2-yl)-1-phenyl-1H-pyrazole-4-carbaldehyde, 2-Cyano acetohydrazide, Hydrazonoyl halides, Solvent-free, Green chemistry, Antimicrobial activity.


INTRODUCTION

The solvent-free reactions need shorter reaction times, simpler reactors, resulting simpler and more efficient work up procedure and easier separations than conventional method [1, 2]. On the other hand, 1,3,4-thiadiazoles have been screened for their antibacterial and antifungal [3,4], anti-inflammatory [5], anticancer [6], anti-amoebic [7] and anticonvulsant activities [8]. Furthermore, recent studies showed that benzofuran ring system fused with heterocyclic moieties exhibit a broad range of biological and pharmacological activities, including antimicrobial [9,10], anticancer [11,12], antioxidant [13], anti-inflammatory [14], anti tubercular [15] and antiprotozoal [16]. As an extension of our study [17, 18] and as a part of our program aiming at the synthesis of different heterocyclic derivatives, we report herein a simple and highly efficient method for the synthesis of 2, 3-dihydro-1,3,4-thiadiazoles, pyazole and coumarin derivatives bearing benzofuran moiety by grindstone.

MATERIALS AND METHODS

All melting points were determined on an electrothermal apparatus and are uncorrected. IR spectra were recorded (KBr discs) on a Shimadzu FT-IR 8201 PC spectrophotometer. 1H and 13C NMR spectra were recorded in CDCl3 and (CD3)2SO solutions on a Varian Gemini 300 MHz and JNM-LA 400 FT-NMR system spectrometer and chemical shifts are expressed in ppm units using TMS as an internal reference. Mass spectra were recorded on a GC-MS QP1000 EX Shimadzu. Elemental analyses were carried out at the Microanalytical Center of Cairo university and were found within ± 0.4% of the theoretical values. 3-(Benzofuran-2-yl)-1-phenyl-1H-pyrazole-4-carbaldehyde (1) [19, 20], benzyl hydrazine carbodithioate (2) [21] and hydrazonoyl halides 4a-d [22-27] were prepared as previously reported.

Benzyl-N'-(3-(benzofuran-2-yl)-1-phenyl-1H-pyrazol-4-yl methylene)-hydrazine carbodithioate (3)

Conventional method

A mixture of 3-(benzofuran-2-yl)-1-phenyl-1H-pyrazole-4-carbaldehyde (1) (1.44g, 5 mmol) and benzyl hydrazine carbodithioate (2) (0.96g, 5 mmol), in 2-propanol (20 mL) was stirred for 2 h. at room temperature. The resulting solid was collected and recrystallized from N, N-dimethylformamide to give 3.

Solvent free

A mixture of 1 (1.45g, 5 mmol) and benzyl hydrazinecarbodithioate 2 (0.95g, 5 mmol) was ground with a pestle in an open mortar at room temperature for 3-5 min. The initial syrupy continued for 5-7 min. and the reaction was monitored by TLC. The mixture was then allowed to transfer to a round-bottomed flask and dried under high vacuum which facilitates the removal of water. The solid was washed with ethanol and recrystallized from N,N-dimethylformamide to afford product identical in all aspects to that prepared by method A. White powder; MP: 242-243°C; IR (KBr): 3375 (NH), 3062 (CH-aroma.), 1627 (C=N), 1593 cm-1(C=C); 1H NMR (DMSO-d6):δ = 4.50 (s, 2H, SCH2), 7.22-8.02 (m,15H, Ar-H), 8.73 (s, 1H, CH=N), 9.06 (s, 1H, CH-pyrazole) and 13.37 ppm (s,1H, NH). Anal. Calcd. for C26H20N4OS2 (468.59): C, 66.64; H, 4.30; N, 11.96; S, 13.69. Found: C, 66.60; H, 4.34; N, 11.92; S, 13.65.

2-(5-Substituted 3-phenyl-1,3,4-thiadiazol-2(3H)-ylidene)-1-(3-(benzofuran-2-yl)1-phenyl-1H-pyrazol-4-yl)methylene) hydrazines (8a-d)

Conventional method

A mixture of benzyl hydrazine carbodithioate derivative 3 (1.34g, 5 mmol), appropriate hydrazonoyl halides 4a-d (5 m mol), and triethylamine (0.75 mL, 5 m mol) in ethanol (20 mL) were stirred for 2 h. at room temperature. The resulting solid was collected and recrystallized from DMF/EtOH to give 2, 3-dihydro-1,3,4-thiadiazoles 8a-d,respectively.

Solvent free

Benzyl hydrazine carbodithioate derivative 3 (1.34g 5 m mol) and the appropriate hydrazonoyl halides 4a-d (5 m mol), were mixed and ground with a pestle in an open mortar at room temperature followed by two drops of triethylamine. The mixture became sticky and adhered to the wall of the mortar firmly after a few seconds, which prevented the reactants from mixing thoroughly and coming into sufficient contact. The grinding was continued for 5-7 min. and the reaction was monitored by TLC. The solid was washed with ethanol and recrystallized from DMF/EtOH to give 8a-d, respectively.

Ethyl 5-[(3-(benzofuran-2-yl)-1-phenyl-1H-pyrazol-4-yl-methylene)-hydrazono]-4-phenyl-4,5-dihydro-[1,3,4] thiadiazole-2-carboxylate (8a)

Yellow powder; MP: 180-181°C; IR (KBr): 3057 (CH-arom.), 1735 (C=O), 1610(C=N), 1580 cm-1(C=C); 1H NMR(DMSO-d6): δ = 1.42 (t, 3H, J = 7Hz, CH3), 4.19 (q, 2H, J = 7Hz, CH2), 6.99-8.07 (m, 15H, Ar-H), 8.53 (s, 1H, CH=N) and 8.98 ppm (s,1H,CH-pyrazole); 13C NMR: (DMSO-d6): δ 14.5 (CH3), 63.6 (CH2), 110.9-150 (Ar-C) and 167 ppm (C=O); MS: m/z 535 (M+ + 1, 10), 242 (100). Anal. Calcd. for C29H22N6O3S (534.59): C, 65.15; H, 4.15; N, 15.72; S, 6.00. Found: C, 65.19; H, 4.11; N, 15.76; S, 6.04.

1-{5-[(3-(Benzofuran-2-yl)-1-phenyl-1H-pyrazol-4-ylmethylene)-hydrazono]-4-phenyl-4,5-dihydro-[1,3,4]thiadiazol-2-yl}-ethanone (8b)

Yellow powder; MP: 185-187°C; IR (KBr): 3068 (CH-aroma.), 1680 (C=O), 1610 (C=N), 1582 cm-1 (C=C); 1H NMR (DMSO-d6): δ 2.40 (s, 3H, CH3), 6.99-8.05 (m, 15H, Ar-H), 8.50 (s, 1H, CH=N) and 8.96 ppm (s,1H,CH-pyrazole); MS: m/z 504 (M+, 20), 242(100); Anal. Calcd. for C28H20N6O2S (504.56): C, 66.65; H, 4.00; N, 16.66; S, 6.36. Found: C, 66.61; H, 4.04; N, 16.62; S, 6.31.

2-(Benzofuran-2-yl-carbonyl)-5-[(3-(benzofuran-2-yl)-1-phenyl-1H-prrazol-4-yl-methylene)-hydrazono]-4-phenyl-4,5-dihydro-[1,3,4]thiadiazole (8c)

Red powder; MP: 108-110°C; IR (KBr): 3068 (CH-aroma.), 1678 (C=O), 1610 (C=N), 1590 cm-1 (C=C); 1H NMR (DMSO-d6): δ = 7.01-7.35 (m, 21H, Ar-H), 8.53 ppm (s, 1H, CH=N). Anal Calcd. for C35H22N6O3S (606.65): C, 69.29; H, 3.66; N, 13.85; S, 5.29. Found: C, 69.25; H, 3.62; N, 13.89; S, 5.33.

1-{5-[(3-(Benzofuran-2-yl)-1-phenyl-1H-pyrazol-4-ylmethylene)-hydrazono]-4-phenyl-4,5-dihydro-[1,3,4]thiadiazol-2-yl}-phenylmethanone (8d)

Red powder; MP: 247-248°C; IR (KBr): 3068 (CH-aroma.), 1680 (C=O), 1600 (C=N), 1582 cm-1(C=C); 1H NMR (DMSO-d6):δ 7.01-7.35 (m, 21H, Ar-H), 8.51 ppm (s, 1H, CH=N); MS: m/z 566 (M+, 20), 242 (100). Anal. Calcd. for C33H22N6O2S (566.63):C, 69.95; H, 3.91; N, 14.83; S, 5.66. Found: C, 69.91; H, 3.95; N, 14.79; S, 5.70.

N-((3-(Benzofuran-2-yl)-1-phenyl-1H-pyrazol-4-yl)methylene)-2-cyanoacetohydrazide (9)

Conventional method

To a solution of 2-cyanoacetohydrazide (0.99g, 5 mmol) in glacial acetic acid (10 mL), compound 1 (1.44g, 5 mmol) was added. The reaction mixture was stirred for 2 h. at room temperature. The resulting solid was collected and recrystallized from N,N-dimethylformamide to give 9.

Solvent free

A mixture of 1 (1.44g, 5 mmol) and 2-cyanoacetohydrazide (0.99g, 5 mmol) was ground with a pestle in an open mortar at room temperature for 3-5 min. The initial syrupy continued for 5-7 min. and the reaction was monitored by TLC.

The mixture was then allowed to transfer to a round-bottomed flask and dried under high vacuum which facilitates the removal of water. The residue that formed was washed with ethanol and recrystallized from N,N-dimethylformamide to afford product identical in all aspects to that prepared by method A.

White powder; MP: 228-230°; IR (KBr): 3128 (NH); 3062 (CH-aroma.), 2256 (CN), 1685 (C=O), 1615 (C=N), 1591 cm-1 (C=C); 1H NMR (DMSO-d6): δ 3.98 (s, 2H, CH2), 7.25-7.82 (m, 11H, Ar-H), 8.50 (s, 1H, CH=N), 10.44 ppm (s, 1H, NH, D2O-exchangeable); MS: m/z 368 (M+-1, 100). Anal. Calcd. for C21H15N5O2 (369.38): C, 68.28; H, 4.09; N, 18.96. Found: C, 68.24; H, 4.13; N, 18.92.

3-(3-(Benzofuran-2-yl)-1-phenyl-1H-pyrazol-4-yl)-2,5-dihydro-5-oxo-1H-pyrazole-4-carbonitrile (10)

Conventional method A

The hydrazone 9 (1.84g, 5 mmol) was boiled in acetic acid (10 mL) for 1 h. The resulting solid which was obtained on hot was collected and recrystallized from N,N-dimethylformamide to give 10.

Conventional method B

A mixture of 1 (1.44g, 5 mmol) and 2-cyanoacetohydrazide (0.99g, 5 mmol) in acetic acid (10 mL) were heated under reflux for 2 h. The resulting solid which obtained on hot was collected and recrystallized from N,N-dimethylformamide to give 10.

Solvent free

Compound 9 (1.48 g, 5 m mol), potassium hydroxide (0.56g, 10 mmol) and the few drops of water were ground with a pestle in an open mortar at room temperature for 3-5 min. The initial syrupy continued for 5-7 min. and the reaction was monitored by TLC. The solid was washed with water and recrystallized from N,N-dimethylformamide to afford excellent yield.

Red powder; MP: >340°C; IR (KBr): 3220, 3195 (2NH); 3062 (CH-aroma.), 2248 (CN),1668 (C=O), 1605 (C=N), 1589 (C=C) cm-1; 1H NMR (DMSO-d6): δ 7.28-7.92 (m, 12H, Ar-H + NH), 11.52 ppm (s,1H, NH); MS: m/z 368 (M++1,10), 77 (100). Anal. Calcd. for C21H13N5O2 (367.36):C, 68.66; H, 3.57; N, 19.06. Found: C, 68.62; H, 3.53; N, 19.02.

5-3(Benzofuran-2-yl)-1-phenyl-1H-pyrazol-4-yl)-3-chloro-1H-pyrazole-4-carbonitrile (11)

A solution of 10 (1.84g, 5 mmol) in phosphorous oxychloride (10 mL) was heated under reflux for 3 h. The reaction mixture was cooled then poured into ice-water with stirring. The solid that formed was collected by filtration and recrystallized from N,N-dimethylformamide to give 11.

Brown powder; MP: >330°C; IR (KBr): 3190 (NH); 3062 (CH-aroma.), 2230 (CN), 1602 (C=N), 1590 cm-1 (C=C); MS: m/z 385, 386 (M+) (15, 4%), 77 (100). Anal. Calcd. for C21H12ClN5O (385.81): C, 65.38; H, 3.14; Cl, 9.19; N, 18.15. Found: C, 65.34; H, 3.10; Cl, 9.15; N, 18.11.

General method for Synthesis of 12-14

Conventional method

A mixture of 11 (1.84g, 5 mmol) and the appropriate heterocyclic amines such as 2-aminotriazole, 4-phenyl-5-aminopyrazole and 2-aminobenzimidazole (5 mmol) in dry dioxane (15 mL) and triethylamine (0.5 mL) was reflux for 5h. The solvent was evaporated under vacuum and the resulting residue was triturated with water. The solid that formed was filtered off and recrystallized from N,N-dimethylformamide to give the corresponding compounds 12-14, respectively.

Solvent free

A mixture of 11 (1.84g, 5 mmol), the appropriate amines (5 mmol) and three drops of triethylamine was ground with a pestle in an open mortar at room temperature for 3-5 min. The initial syrupy continued for 5-7 min. and the reaction was monitored by TLC. The mixture was transfer to a round-bottomed flask and dried under high vacuum which facilitates the removal of water. The solid was washed with ethanol and recrystallized from N,N-dimethylformamide to afford product identical in all aspects to that prepared by method A.

3-(3-(Benzofuran-2-yl)-1-phenyl-1H-pyrazol-4-yl)-1H-pyrazolo[3,4-d][1,2,4] triazolo[4,3-a]pyrimidin-4-amine (12)

Peige powder; MP: >340°C; IR (KBr): 3315, 3220, 3195 (NH, NH2), 3062 (CH-aroma.), 1615 (C=N), 1590 cm-1 (C=C); 1H NMR (DMSO-d6): δ 7.28-7.92 (m, 14H, Ar-H + NH2), 10.52 ppm (s, 1H, NH); Anal. Calcd. for C23H15N9O (433.42): C, 63.74; H, 3.49; N, 29.08. Found: C, 63.70; H, 3.45; N, 29.04.

3-(3-(Benzofuran-2-yl)-1-phenyl-1H-pyrazol-4-yl)-7-phenyl-1H-dipyrazolo[1,5-a: 3',4'-d]pyrimidin-4-amine (13)

Brown powder; MP: 260-262°C; IR (KBr): 3340, 3230, 3143 (NH, NH2); 3062 (CH-aroma.), 1610 (C=N), 1587 cm-1 (C=C); 1H NMR (DMSO-d6): δ 7.20-7.99 (m, 19H, Ar-H + NH2), 11.35 ppm (s, 1H, NH); MS: m/z 508 (M+, 15), 77 (100). Anal. Calcd. For C30H20N8O (508.53): C, 70.86; H, 3.96; N, 22.03. Found: C, 70.84; H, 3.92; N, 22.00.

3-(3-(Benzofuran-2-yl)-1-phenyl-1H-pyrazol-4-yl)-1H-pyrazolo [3,4-d]benzoimidazolo[1,2-a]pyrimidin-4-amine (14)

Peige powder; MP: 180-182°C; IR (KBr): 3320, 3223, 3150 (NH, NH2); 3062 (CH-aroma.), 1607 (C=N), 1589 cm-1 (C=C); 1H NMR (DMSO-d6): δ 7.20-7.99 ppm (m, 18H, Ar-H + NH + NH2). Anal. Calcd. for C28H18N8O (482.5): C, 69.70; H, 3.76; N, 23.22. Found: C, 69.74; H, 3.72; N, 23.23.

Synthesis of 4-(3-(benzofuran-2-yl)-1-phenyl-1H-pyrazol-4-yl)-1,5-dihydro pyrazolo[3,4-c]pyrazol-3-amine (15)

Conventional method

A mixture of 11 (1.84g, 5 mmol) and hydrazine hydrate (1 ml, 10 mmol) in absolute ethanol (15 ml) was refluxed for 3h. The precipitate that formed on hot was filtered off and recrystallized from N,N-dimethylformamide to give the desired product 15.

Solvent free

A mixture of 11 (1.84g, 5 mmol) and hydrazine hydrate (1 mL, 10 mmol) was thoroughly ground with a pestle in an open mortar at room temperature for 3-5 min. until the mixture turned into a melt. The initial syrupy continued for 5-7 min. and the reaction was monitored by TLC.

The solid formed was washed with water and recrystallized from N,N-dimethylformamide to give 15. Brown powder; MP: 310-312°C; IR (KBr): 3429, 3306, 3190 (NH, NH2); 3058 (CH-aroma.), 1617 (C=N), 1581 cm-1 (C=C). Anal. Calcd. for C21H15N7O (381.39): C, 66.13; H, 3.96; N, 25.71. Found: C, 66.17; H, 3.92; N, 25.75.

Synthesis of 3-(3-(benzofuran-2-yl)-1-phenyl-1H-pyrazol-4-yl)-5,7-dimethyl-1H-pyrazolo[3',4':3,4]pyrazolo[1,5-a]pyrimidine(16)

Conventional method

Equimolar amounts of 15 (1.90g, 5 mmol) and acetyl acetone (0.5 ml, 5 mmol) in acetic acid (20 mL) was heated under reflux for 1 h. The solid formed was collected and recrystallized from N,N-dimethylformamide to give the title compound.

Solvent free

A mixture of 15 (1.90g, 5 mmol) and acetylacetone (5 mmol) was thoroughly ground with a pestle in an open mortar at room temperature for 3-5 min. until the mixture turned into a melt. The initial syrupy continued for 5-7 min. and the reaction was monitored by TLC. The solid was washed with water and recrystallized from N,N-dimethylformamide to afford 16. Brown crystals; MP: 180-182°C; IR (KBr): 3283 (NH), 3021 (CH-aroma.), 1604 (C=N), 1589 cm-1 (C=C); 1H NMR (DMSO-d6): δ 2.30 (s, 3H, CH3), 2.38 (s, 3H, CH3), 7.05-7.98 ppm (m, 13H, Ar-H and NH proton); MS: m/z 445 (M+,100). Anal. Calcd. for C26H19N7O (445.48): C, 70.10; H, 4.30; N, 22.01. Found: C, 70.14; H, 4.34; N, 22.06.

Synthesis of imino coumarin derivatives 17-19

Conventional method

To a solution of hydrazone 9 (1.84g, 5 mmol) and appropriate aldehydes namely, salicyaldehyde, 7-hydroxy-5-methoxy-2-methyl-4-oxo-4H-chromene-6-carbaldehyde [28,29] or 7-hydroxy-5-methoxy-2-oxo-2H-chromene-6-carbaldehyde [29] (5 mmol) in ethanol (15 mL), few drops of piperidine were added and the reaction mixture was refluxed for 3 h. The precipitate that formed was filtered off washed with ethanol and recrystallized from N, N-dimethylformamide to give the corresponding 17-19, respectively.

Solvent free A

To 5 mmole of hydrazone 9 and 5 mmoles of aldehydes, three drops of piperidine were added and grind using a pestle at room temperature for 3-5 until the mixture turned into a melt, during which time a color change occurred (the change is typically colorless to yellow or orange). The mixture was then transferred to a round-bottomed flask and dried under high vacuum (which facilitates the removal of water and residual piperidine) to afford 92% of the title compound, identical to that prepared via ethanol reflux.

Solvent free B

A mixture of 1 (1.44g, 5 mmol) and 23 (1g, 5 mmol) was ground with a pestle in an open mortar at room temperature for 3-5 min. The initial syrupy continued for 5-7 min. and the reaction was monitored by TLC. The mixture was then transfer to a round-bottomed flask and dried under high vacuum which facilitates the removal of water. The solid was washed with ethanol and recrystallized from N,N-dimethylformamide to afford product identical in all aspects to that prepared by method A.

N-(3-(Benzofuran-2-yl)-1-phenyl-1H-pyrazol-4-yl)methylene)-2-imino-2H-chromene-3-carbohydrazide (17)

Yellow powder; MP: 160-162°C; IR (KBr): 3390 broad 2(NH), 3062 (CH-aroma.), 1660 (C=O), 1604 (C=N), 1589 cm-1 (C=C); 1H NMR (DMSO-d6): δ 6.73-7.92 (m,17H, Ar-H + NH), 8.53 (s,1H,CH=N), 9.50 ppm (s, 1H, NH); 13C NMR (DMSO-d6): δ 109.9-133.12 (Ar-C), 143.8, 160.6 (C=N), 163.8 ppm (C=O); MS: m/z 473 (M+, 20), 368 (100). Anal. Calcd. for C28H19N5O3 (473.48): C, 71.03; H, 4.04; N, 14.79. Found: C, 71.07; H, 4.08; N, 14.86.

N-(3-(Benzofuran-2-yl)-1-phenyl-1H-pyrazol-4-yl)methylene)-2-imino-5-methoxy-8-methyl-6-oxo-2,6-dihydropyrano[3,2-g]chromene-3-carbohydrazide (18)

Yellow powder; MP: 305-307°C; IR (KBr): 3393 broad 2(NH), 3072 (CH-aroma.), 1657 (C=O), 1602 (C=N), 1589 cm-1 (C=C);1H NMR (DMSO-d6): δ 2.23 (s, 3H, CH3), 3.94 (s, 3H, OCH3), 6.04 (s, 1H, CH-10), 6.75 (s, 1H, CH-7), 6.73-7.92 (m,12H, Ar-H), 8.20 (s, 1H, CH=N), 9.90 (s, 1H, NH), 10.20 ppm (s, 1H, NH); MS: m/z 585 (M+, 16), 273 (100). Anal. Calcd. for C33H23N5O6 (585.57): C, 67.69; H, 3.96; N, 11.96. Found: C, 67.65; H, 4.00; N, 11.93.

N-((3-(Benzofuran-2-yl)-1-phenyl-1H-pyrazol-4-yl)methylene)-2-imino-5-methoxy-8-oxo-2,8-dihydropyrano[3,2-g]chromene-3-carbohydrazide (19)

Orange powder; MP: 286-288°C; IR (KBr): 3385 broad 2(NH), 3072 (CH-aroma.), 1650 (C=O), 1602 (C=N), 1589 cm-1 (C=C);1H NMR (DMSO-d6): δ 4.01 (s, 3H, OCH3), 6.33 (d, 1H, CH-7), 7.34 (d, 1H, CH-6), 6.73-7.92 (m, 15H, Ar-H + 2NH), 8.45 ppm (s, 1H, CH=N); MS: m/z 571 (M+,16), 273 (100). Anal. Calcd. for C32H21N5O6 (571.54):C, 67.25; H, 3.70; N, 12.25. Found: C, 67.21; H, 3.74; N, 12.23.

Synthesis of coumarin derivatives 20-22

Conventional method: A mixture of each of compounds 17-19 (5 mmol) and hydrochloric acid 50%, (10 mL), was warmed with stirring for 30 min. The resulting solid was collected, washed with water and recrystallized from N,N-dimethylformamide to give compounds 20-22.

Solvent free

To 5 mmol (1.84g) of hydrazone 9 and 5 mmol aldehydes, three drops of piperidine were added and grind using a pestle at room temperature for 7-10 min. until the mixture turned into a melt, during which time a color change occurred (the change is typically colorless to yellow or orange). The mixture was then allowed to stand at room temperature until it solidified, transferred to a round-bottomed flask and dried under high vacuum (which facilitates the removal of water and residual piperidine) to afford the desired product in excellent yield.

N-(3-(Benzofuran-2-yl)-1-phenyl-1H-pyrazol-4-yl)methylene)-2-oxo-2H-chromene-3-carbohydrazide (20)

Brown powder; MP: 242-244°C; IR (KBr): 3335 (NH), 3072 (CH-aroma.), 1688 (C=O), 1603 (C=N), 1587 cm-1 (C=C);1H NMR (CDCl3): δ 7.22-7.83 ppm (m,16H, Ar-H), 8.70 (s, 1H, CH=N), 13.50 (s, 1H, NH); 13C NMR (DMSO-d6): δ 107.9-133 (Ar-C), 143.2 (C=N),158.6 ppm (C=O); MS: m/z 474 (M+, 9), 368 (100). Anal. Calcd. for C28H18N4O4 (474.47): C, 70.88; H, 3.82; N, 11.80. Found: C, 70.84; H, 3.78; N, 11.85.

N-(3-(Benzofuran-2-yl)-1-phenyl-1H-pyrazol-4-yl)methylene)-5-methoxy-8-methyl-2,6-dioxo-2,6-dihydropyrano[3,2-g]chromene-3-carbohydrazide (21)

Orange powder; MP: >340 °C; IR (KBr): 3429 (NH), 3062 (CH-arom.), 1651 (C=O), 1596 cm-1 (C=N);1H NMR (DMSO-d6): δ 2.26 (s, 3H, CH3), 3.90 (s, 3H, OCH3), 6.04 (s,1H, CH-10), 6.75 (s, 1H, CH-7), 6.73-7.92 (m, 12H, Ar-H), 8.20 (s, 1H, CH=N), 10.20 ppm (s, 1H, NH); MS: m/z 586 (M+,14), 273 (100). Anal. Calcd. for C33H22N4O7 (586.55): C, 67.57; H, 3.78; N, 9.55. Found: C, 67.53; H, 3.74; N, 9.59.

N-((3-(Benzofuran-2-yl)-1-phenyl-1H-pyrazol-4-yl)methylene)-5-methoxy-2,8-dioxo-2,8-dihydropyrano[3,2-g]chromene-3-carbohydrazide (22)

Brown powder; MP: >340°C; IR (KBr): 3330 (NH), 3072 (CH-aroma.) 1650 (C=O), 1605 (C=N), 1590 cm-1 (C=N);1H NMR (CDCl3): δ 4.26 (s, 3H, OCH3), 6.33 (d, 1H, CH-7), 7.12 (d, 1H, CH-6), 7.25-8.16 (m, 14H, Ar-H + NH), 8.44 ppm (s, 1H, CH=N); MS: m/z 571 (M+ - 1, 16), 273 (100). Anal. Calcd. for C 32H20N4O7: (572.52):C, 67.13; H, 3.52; N, 9.79. Found: C, 67.17; H, 3.56; N, 9.75.

N-((3-(benzofuran-2-yl)-2,3-dihydro-1-phenyl-1H-pyrazol-4-yl)methylene)-2-cyano-3-phenylacrylohydrazide (24)

Conventional method

To a solution of 9 (1.84g, 5 mmol) and benzaldehyde (0.5 mL, 5 mmol) in ethanol (10 mL), two drops of piperidine were added and the reaction mixture was stirred for 1 h. The formed solid was filtered off and recrystallized from N,N-dimethylformamide to give 24.

Solvent free

To 5 mmol (1.84g,) of compound 9 and 5 mmol of benzaldehyde, two drops of piperidine were added and grind at room temperature for the appropriate time to complete the reaction. After completion of the reaction, as indicated by TLC The reaction mixture was transferred to a round-bottomed flask and dried under high vacuum which facilitates the removal of water and residual piperidine. The solid was washed with ethanol and recrystallized from N,N-dimethylformamide to afford product identical in all aspects to that obtained by ethanol reflux.

Orange powder; MP: 200-201°C; IR (KBr): 3329(NH), 3062 (CH-arom.), 2210 (CN), 1678 (C=O), 1602 cm-1 (C=N). Anal. Calcd. for C28H19N5O2 (457.48): C, 73.51; H, 4.19; N, 15.31. Found: C, 73.55; H, 4.23; N, 15.34.

Synthesis of 2-(3-(benzofuran-2-yl)-1-phenyl-1H-pyrazol-4-yl)methylene) hydrazinyl)-4-benzylidene-4H-pyrazol-3-amine (25)

Conventional method

A mixture of 24 (2.28g, 5 mmol) and hydrazine hydrate (, 1 mL, 10 mmol) in absolute ethanol (15 mL) was refluxed for 3 hrs. The precipitate that formed on hot was filtered off and recrystallized from acetic acid to give the title compound.

Solvent free

A mixture of 24 (2.28g, 5 mmol) and hydrazine hydrate (1 mL, 10 mmol) was ground with a pestle in an open mortar at room temperature for 3-5 min. until the mixture turned into a melt. The initial syrupy continued for 5-7 min. and the reaction was monitored by TLC. The solid was washed with water and recrystallized from acetic acid to give 25.

Peige powder; MP: 270-272°; IR (KBr): 3429, 3239, 3136 (NH2, NH), 3062 (CH-arom.), 1602 cm-1 (C=N).; 1H NMR (CDCl3): δ 6.99-7.88 (m, 19H, Ar-H + NH2), 8.85 (s, 1H, CH=N), 9.33 ppm (s, 1H, NH); 13C NMR (CDCl3): δ 111.9-139.1 (Ar-C), 141.3, 160.8 ppm (2C=N). Anal. Calcd. for C28H21N7O (471.51): C, 71.32; H, 4.49; N, 20.79. Found: C, 71.36; H, 4.45; N, 20.75.

Biological activity

Antimicrobial activity of the newly synthesized compounds was determined in vitro by standardized disc – agar diffusion method [30].

Antibacterial activity

Newly prepared compounds were screened in vitro for their antibacterial activity against Gram- positive bacteria: Staphylococcus aureus (ATCC 25923) and Bacillus subtilis (ATCC 6635), Gram – negative bacteria: Escherichia coli (ATCC 25922) and Salmonella typhimurium (ATCC 14028).

Bacterial cultures were grown in nutrient broth medium at . After 16 h of growth, each microorganism, at a concentration of 108cells/mL, was inoculated on the surface of Mueller-Hinton agar plates using sterile cotton swab. Subsequently, uniform size filter paper disks ( in diameter) were impregnated by equal volume (10 µl) from the specific concentration of dissolved compounds and carefully placed on surface of each inoculated plate.

The tested compounds were dissolved in dimethylformamide (DMF) solvent and prepared in two concentrations; 100 and 50 mg/ml and then 10 μl of each preparation was dropped on disk of in diameter and the concentrations became 1 and 0.5 mg/disk respectively. In the case of insoluble compounds, the compounds were suspended in DMF and vortexed then processed. The plates were incubated in the upright position at 36ºC for 24h and then the plates were examined for the formation of zone inhibition.

Three replicates were carried out for each dissolved compound against each of the test organism. Simultaneously, addition of the respective solvent instead of dissolved compound was carried out as negative controls. After incubation, the diameters of the growth inhibition zones formed around the disc were measured with transparent ruler in millimeter, averaged and the mean values were tabulated. The antibiotic chloramphenicol was used as standard reference in the case of Gram – negative bacteria; Cephalothin was used as standard reference in the case of Gram – positive bacteria. Zones of inhibition were determined for the tested compounds and the results were summarized in table 2.

Antifungal activity

Active inoculum for experiments were prepared by transferring many loopfuls of spores from the stock cultures to test tubes of sterile distilled water that were agitated and diluted with sterile distilled water to achieve optical densitycorresponding to 2.0x105spore/ml. inoculum of 0.1 % suspension was swabbed uniformly and the inoculum was allowed to dry for 5 minutes then the same procedure was followed as described above, the inhibition zones of the tested compounds were measured after 3-4 days incubation at 28°C.

Cycloheximide was used as standard reference in the case of yeasts and fungi. Zones of inhibition were determined for the tested compounds and the results were summarized in table 3.

RESULTS AND DISCUSSION

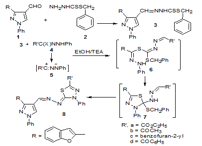
Reaction of 3-(benzofuran-2-yl)-1-phenyl-1H-pyrazole-4-carbaldehyde (1), with benzyl hydrazinecarbodithioate (2) in 2-propanol at room temperature afforded benzyl-N'-(3-(benzofuran-2-yl)-1-phenyl-1H-pyrazole-4-yl-methylene)hydrazine carbodithioate (3)(Scheme 1, table 1). The structure of 3 was confirmed via spectral data and elemental analysis and chemical transformation.

The combination of solvents and long reaction time, costly chemicals makes this method environmentally hazardous. This provided the stimulus to synthesize these reactions using grinding technique. In grindstone technique, reaction occurs.

through generation of heat by grinding of substrate and reagent by mortar and pestle. Thus compound 1 was ground with 2 to give product identical in all aspects to that obtained by conventional method. IR spectrum of compound 3 revealed the presence of characteristic band for NH group and disappearance of carbonyl group. Its 1H NMR spectrum recorded a new signals at δ = 4.50 (s, 2H, SCH2) and 13.37 ppm (s, 1H, NH).

In addition, hydrazonoyl halides 4a-d were reacted with benzyl hydrazinecarbodithioate derivative 3 in ethanol containing triethylamine to afford in each case one isolable product. The isolable products were assigned as 2-(5-substituted 3-phenyl-1,3,4-thiadiazol-2(3H)-ylidene)-1-(3-(benzofuran-2-yl)1-phenyl-1H-pyrazol-4-yl) methylene)hydrazines 8a-d (Scheme 1, table 1) based on elemental analyses and spectral data (see experimental section). Compounds 8a-d could be obtained in a better yield and short time by grinding the reactant together with two drops of triethylamine. The IR spectra of 8a-d revealed absorption bands in the range of 1680-1735 cm-1due to the carbonyl stretching vibrations while the absorption bands of the NH functions have been disappeared. The 1H NMR spectrum of 8a as an example, showed signals at δ: 1.42 (t, 3H, J = 7Hz, CH2CH3), 4.19 (q, 2H, J = 7Hz, CH2CH3). Furthermore, 13C NMR spectrum of 8a showed signals at δ: 14.5 (CH3), 62.6 (CH2), 105.9-150 (Ar-C), 167 ppm (C=O). In the light of the foregoing results, the mechanism outlined in Scheme 1 seems to be the most plausible pathway for the formation of 8 from the reaction of the 4 with 3. The reaction involves initial formation of thiohydrazonate 6, which undergoes intermolecular cyclization as soon as it is formed to yield the intermediate 7 or via 1,3-dipolar cycloaddition of nitrilimine 5 (prepared in situ from 4 with triethylamine) to the C=S double bond of 3. Compound 7 was converted to 8 by elimination of benzyl mercaptan.

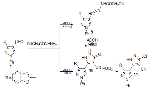
Moreover, Condensation of 1 with 2-cyanoacetohydrazide at room temperature afforded hydrazone derivative 9 which underwent heterocyclization to give pyrazoline derivative 10 either by boiling in acetic acid or grinding with KOH without solvent. Thus, alternative synthetic route for pyrazoline 10 could be obtained in one step by reaction of 1 with 2-cyanoacetohydrazide in boiling acetic acid (Scheme 2, table 1). The structures of 9 and 10 were established on the basis of elemental analyses and spectral data. IR spectrum of hydrazone 9 exhibited bands at 3128, 2256 cm-1 for NH and CN groups, respectively. Its 1HNMR spectrum revealed a new signal at δ = 3.98 ppm corresponding to CH2CN function. The mass spectrum of compound 9 showed a molecular ion peak m/z at 368 (M-1, 100%).

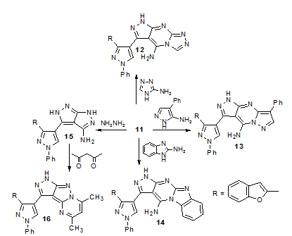
Heating of compound 10 with phosphorus oxychloride yielded 5-chloro pyrazole derivative 11 (Scheme 2). To examine the reactivity of chloro- and cyano- groups, compound 11 reacted with each of 2-aminotriazole, 4-phenyl-5-aminopyrazole and 2-amino benzimidazole in dioxane containing catalytic amount of triethylamine afforded compounds 12-14, respectively (Scheme 3, table 1). The IR, 1H NMR and mass spectra of 1214 are in agreement with the proposed structures as shown in the experimental part.

Further, the formation of these products was supported by alternative synthesis. Thus, grinding of chloro compound 11 and the appropriate amines in the presence of three drops of triethylamine gave product identical in all aspects (mp., mixed mp. and spectra) with the above mentioned method. In addition, the reactivity of compound 11 towards hydrazine hydrate was also investigated.

Thus, hydrazinolysis of compound 11 with hydrazine hydrate furnished novel 4-(3-(benzofuran-2-yl)-1-phenyl-1H-pyrazol-4-yl)-1,5-dihydropyrazolo [3,4-c]pyrazol-3-amine (15) which on reaction with acetyl acetone in acetic acid afforded 3-(3-(benzofuran-2-yl)-1-phenyl-1H-pyrazol-4-yl)-5,7-dimethyl-1H-pyrazolo[3',4':3,4] pyrazolo [1,5-a] pyrimidine (16) (Scheme 3, table 1). Compounds 15 and 16 could be obtained in excellent yield and short time by grinding method. The elemental analyses and spectral data revealed the required structures. The IR spectrum of 15 showed absorption bands at 3429, 3306 and 3190 cm-1 corresponding to NH and NH2 functions, respectively.

The IR spectrum of 16 showed the absence of NH2 function. Also, 1H NMR spectrum of 16 indicated the presence of signals at δ = 2.30, 2.38 ppm due to 2CH3 groups. In addition, the structure of 16 was elucidated by its mass spectrum which revealed a molecular ion peak at m/z at 446 (M++ 1, 100%).

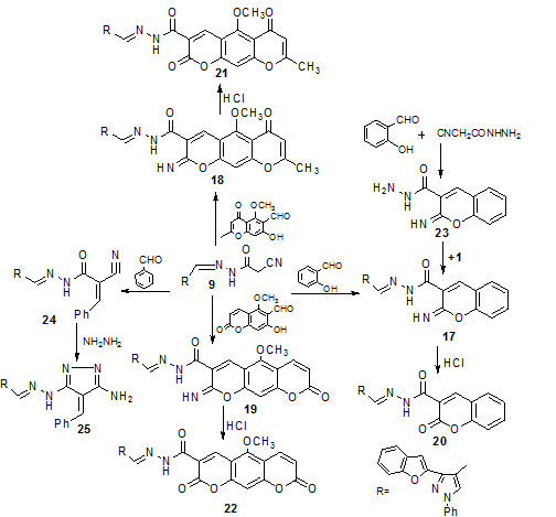
Condensation of hydrazone 9 with phenolic aldehydes namely: salicylaldehyde, 7-hydroxy-5-methoxy-2-methyl-4-oxo-4H-chromene-6-carbaldehyde, 7-hydroxy-5 methoxy- 2 - oxo-2H-chromene-6-carbaldehyde, under Knoevenagel reaction conditions afforded the corresponding imino coumarin derivatives 17-19, respectively (Scheme 4, table 1). Structure of 17 was confirmed by elemental analysis, spectral data and alternative synthesis. Thus, 2-imino-2H-chromene-3-carbohydrazide (23) (which prepared via the reaction of salicylaldehyde with 2-cyanoacetohydrazide in ethanol containing piperidine) was reacted with aldehyde 1 to afford a product identical in all aspects (m. p., mixed m. p. and spectra) with 17 (Scheme 4).

Structures of newly synthesized compounds 17-19 were confirmed based on elemental analyses and spectral data. IR spectra of 17-19 showed the absence of cyano function and displayed a broad absorption bands in the region of 3385-3393 cm-1 characteristic to 2NH groups, in addition to a carbonyl absorption bands in the region of 1650-1660 cm-1and the absorption bands in the region of 1602-1606 cm-1 for C=N. Their 1H NMR spectra showed the absence of CH2CN proton and revealed a signal at δ = 8.20- 8.53 ppm corresponding to CH = N- group of hydrazone in addition to other signals due to the rest of the molecule.

The corresponding coumarin derivatives 20-22 were obtained through hydrolysis of imino coumarin 17-19 with 50% hydrochloric acid (Scheme 4, table 1). The Structure of compounds 20-22 were established through elemental analyses and spectral data beside alternative synthetic route.

Grinding of compound 9 and each of phenolic aldehydes together with two drops of piperidine gave product identical in all aspects (mp., mixed mp. and spectra) with 20- a good yield (Scheme 4, table 1).

The IR spectra of compound 20 as an example displayed absorptions at 3335 and 1688 cm-1 for NH, C=O respectively. Additionally, the proton signals in 1H NMR spectra of these compounds were observed at δ= 8.20-8.70 ppm and 10.20-13.50 ppm corresponding to CH=N group of hydrazone and NH protons respectively in addition to aromatic protons.

In contrasts, compound 9 reacts with benzaldehyde either by reflux in ethanol containing piperidine or by grinding without solvent to give 24 which reacted with hydrazine hydrate in boiling ethanol (or by grinding) to give 25 (Scheme 4). Spectral data (1H, 13C NMR, mass and elemental analysis) of all the newly synthesized compounds were in full agreement with the proposed structures. For example 13C NMR spectrum of 25 showed signals at δ = 111.9-139.1 (Ar-C), 141.3, 160.8 ppm (C=N).

Table 1: Comparison between grinding and conventional method for synthesized compounds

Comp No

Grinding method

Conventional method

Time (min)

Yield (%)

Time (min)

Yield (%)

3

5

90

120

77

8a

7

92

120

75

8b

7

90

120

72

8c

7

90

120

71

8d

7

91

120

71

9

5

89

60

79

10

10

89

60

75

12

10

90

300

72

13

10

92

300

73

14

10

92

300

71

15

10

89

300

72

16

10

92

180

70

17

10

90

60

74

18

10

92

180

76

19

10

92

180

77

20

10

92

180

75

21

10

92

30

74

22

10

92

30

73

23

10

92

30

76

25

10

92

60

75

26

10

92

180

72


Biological activity

In vitro antibacterial activity data (Table 2) reveals that most the newly synthesized compounds showed slight to moderate activity in comparison to reference drug against the tested organisms.

Compounds 8b, 8d, 14, 18 and 23 showed intermediate to low activity against gram positive bacteria Staphylococcus aureus, while compound 13 showed no activity. Compounds 3, 8d, 23 showed low activities against gram positive bacteria Bacillus subtilis while compounds 8b, 13, 14 and 18 showed no activity.

All the tested compounds showed no activity against gram negative bacteria Salmonella typhimurium and Escherichia coli. From in vitro antifungal activity (Table 3) it was found that compound 3 showed intermediate activity towards Candida albicans while compound 13 showed low activity towards Candida albicans and Aspergillus fumigatus.

Table 2: Antibacterial activity data of tested compounds

Organism

Mean* of zone diameter, nearest whole mm.

Gram - positive bacteria

Gram - negative bacteria

S aureus
(ATCC 25923)

B subtilis
(ATCC 6635)

S typhimurium
(ATCC 14028)

E. coli
(ATCC 25922)

Conc. Sample

1 mg/ml

0.5 mg/ml

1 mg/ml

0.5 mg/ml

1 mg/ml

0.5 mg/ml

1 mg/ml

0.5 mg/ml

3

I

-

L

L

-

-

-

-

8b

I

L

-

-

-

-

-

-

8d

I

L

L

L

-

-

-

-

13

-

-

-

-

-

-

-

-

14

I

L

-

-

-

-

-

-

18

I

L

-

-

-

-

-

-

23

I

L

L

L

-

-

­­

­­­

Control #

35

26

35

25

36

28

38

27

* = Calculate from 3 values, – = No effect. , L: Low activity = Mean of zone diameter ≤ 1/3 of mean zone diameter of control., I: Intermediate activity = Mean of zone diameter ≤ 2/3 of mean zone diameter of control., H: High activity = Mean of zone diameter > 2/3 of mean zone diameter of control., #: Chloramphenicol in the case of Gram-positive bacteria, Cephalothin in the case of Gram-negative bacteria.

Table 3: Antifungal activity data of tested compounds

Organism

Mean* of zone diameter, nearest whole mm.

Yeasts and Fungi**

Candida albican (ATCC 10231)

Aspergillus fumigatus

Conc. Sample

1 mg/ml

0.5 mg/ml

1 mg/ml

0.5 mg/ml

3

I

I

-

-

8b

-

-

-

-

8d

-

-

-

-

13

L

L

L

L

14

-

-

-

-

18

-

-

-

-

23

-

-

L

L

Cycloheximide

35

28

37

26

* = Calculate from 3 values, ** = identified on the basis of routine cultural, morphological and microscopical characteristics, – = No effect, L: Low activity = Mean of zone diameter ≤ 1/3 of mean zone diameter of control., I: Intermediate activity = Mean of zone diameter ≤ 2/3 of mean zone diameter of control., H: High activity = Mean of zone diameter > 2/3 of mean zone diameter of control., #: Cycloheximide in the case of fungi.

CONCLUSION

In this article, we are reporting a facile, rapid, eco-friendly route with good yield for the synthesis of thiadiazole, coumarin and pyrazole derivatives just by grinding the reactants. Solvent-free approach is nonpolluting and does not employ any toxic materials. The investigation of antifungal and antibacterial screening data revealed that some of the tested compounds show moderate to low activities.

CONFLICT OF INTERESTS

Declared None

REFERENCES

  1. Cave GWV, Raston CL, Scott JL. Recent advances in solventless organic reactions: towards benign synthesis with remarkable versatility. Chem Commun 2001;7(21):2159-69.
  2. Imrie C, Kleyi P, Nyamori VO, Gerber TIA, Levendis DC, Look JJ. Further solvent-free reactions of ferrocenylaldehydes: synthesis of 1,1′-ferrocenyldiimines and ferrocenyl acrylonitriles. Organomet Chem 2007;692:3443-53.
  3. Mahendrasinh MR, Hemul VP, Lata MR, Naynika KP. Synthesis and biological evaluation of some new 1,3,4-thiadiazole derivatives for their antimicrobial activities. Int J Pharm Chem Biol Sci 2013;3(3):814-9.
  4. Abdelhamid AO, Fahmi AA, Alsheflo Amna AM. Synthesis and antimicrobial activity of 5-arylazothiazoles, 2,3-dihydro-1,3,4-thiadiazoles and triazolo[4,3-a]pyrimidine derivatives. Int J Advan Res 2013;1(8):568-86.
  5. Janardhan S, Srinivas A, Sarangapani M, Balaswamy G. Synthesis and anti-inflammatory activity of a novel series of substituted 5-([1,2,4]triazolo[3,4-b][1,3,4]thiadiazol-3-yl)-1,3-benzoxazole derivatives. J Advan Pharm Sci 2013;3(1):458-66.
  6. Aliabadi A, Eghbalian E, Kiani A. Synthesis and evaluation of the cytotoxicity of a series of 1,3,4-thiadiazole based compounds as anticancer agents. Iran J Basic Med Sci 2013;16(11)1133-8.
  7. Siddiqui SM, Salahuddin A, Azam A. Synthesis of some 1,3,4-thiadiazole derivatives as inhibitors of entamoeba histolytica. Med Chem Res 2013;22(3):1305-12. 
  8. Suma BV, Vijayalakshmi S, Madhavan V, Anita M. Synthesis and anticonvulsant activities of some novel 1, 3, 4-Thiadiazole derivatives. Med Chem Drug Discovery 2013;4(2):100-7.
  9. Venkateshwarlu T, Ravinder NA, Prasad CA. Synthesis and antimicrobial activity of novel benzo[b]furan derivatives. Der Pharm Chem 2013;5(1):229-34.
  10. Siddiquia N, Idreesa M, Khatib NT, Dhondec MG. Synthesis and antimicrobial activities of some new pyrazoles, oxadiazoles and isoxazole bearing benzofuran moiety. S Afr J Chem 2013;66:248–53.
  11. Othman DI, Abdelal AMM, El-Sayed MA, El Bialy SAA. Novel benzofuran derivatives: synthesis and antitumor activity. Hetero Commun 2013;19(1)29–35.
  12. Hranjec M, Sovic I, Ratkaj I, Pavlovic G, Ilic N, Valjalo L, et al. Antiproliferative potency of novel benzofuran-2-carboxamides on tumour cell lines: cell death mechanisms and determination of crystal structure. Eur J Med Chem 2013;59:111-9.
  13. Aswathanarayanappa C, Bheemappa E, Yadav DB, Venkatesh KB,  Ningegowda R, Shivakumar MC, et al. Phenyl-1-benzofuran-2-yl derivatives: synthesis, antimicrobial, and antioxidant activity. Med Chem Res 2013;22(1):78-87.
  14. Hanumanagoud H, Basavaraja KM. Synthesis and biological evaluation of some new oxadiazole and pyrazole derivatives incorporating benzofuran moity. Der Pharm Chem 2013;5(4):87-98.
  15. Manna K, Agrawal YK. Design, synthesis and antitubercular evaluation of novel series of 3-benzofuran-5-aryl-1-pyrazolyl-pyridylmethanone and 3-benzofuran-5-aryl-1-pyrazolylcarbonyl-4-oxo-naphthyridin analogs. Eur J Med Chem 2010;45(9):3831–9.
  16. Bakunova SM, Bakunov SA, T Wenzler. Synthesis and in vitro antiprotozoal activity of bisbenzofuran cations. J Med Chem 2007;50(23):5807–23.
  17. Abdelhamid AO, Ismail ZH, Abdel-Aziem A. Reaction with hydrazonoyl halides 58: synthesis of 2,3-Dihydro-1,3,4-thiadiazoles and 5-Arylazothiazoles. Phosphorous Sulfur. Silicon Relat Elem 2008;183:1–11.
  18. Abdelhamid AO, Ismail ZH, Abdel-Gawad SM, Gourab MM, Abdel-Aziem A. Synthesis of some new thieno[2,3-b]pyridines, pyrimidino [4',5':4,5]thieno[2,3-b]pyridines and 2,3-dihydro-1,3,4-thiadiazoles. Phosphorus Sulfur Silicon Relat Elem 2009;184:58-75.
  19. Kumar DB, Drakash GK, Kumaraswamy MN, Nandeshwarappa BP, Sherigara B S, Mahadevan KM. Synthesis and antimicrobial investigation of some novel phenyl and diazenyl ethanone derivatives of benzofurane azetidinone. Ind J Chem 2007;46B(2):336-43.
  20. Al-Zahar MI, Abd-El-Karim SS, Anwar MM. Synthesis and cytotoxicity screening of some novel benzofuranoyl-pyrazole derivatives against liver and cervix carcinoma cell lines. S Afr J Chem 2009;62:189-99.
  21. Klayman DL, Bartosevich JF, Griffin TS, Mason CJ, Scovill JP. 2-Acetylpyridine thiosemicarbazones. 1. A new class of potential antimalarial agents. J Med Chem 1979;22(7):855–62.
  22. Shawali AS, Abdelhamid AO. Reaction of Dimethylphenacyl sulphonium Bromide with N-Nitrosoacetarylamides and Reactions of the products with Nucleophiles. Bull Soc Chim Jpn 1976;49(1):321-4.
  23. Eweiss NF, Osman A. Synthesis of Heterocycles-2. New routes to acetylthiadiazolines and arylazothiazoles. J Heterocycl Chem 1980;17:1713-7.
  24. Abdelhamid AO, Zohdi HF, Mohamed GS. Reactions with hydrazonoyl halides XXIII. Synthesis and reactions of C-Coumarinoyl-N-arylformohydrazonoyl bromides. Heteroatom Chem 1999;10:508-16.
  25. Eweiss NE, Osman A. Synthesis of heyerocycles-1. One step synthesis of acetylthiadiazolines. Tetrahedron Lett 1979;13:1169-70.
  26. Shawali AS, Osman A. Synthesis and reaction chlorides of phenacyl carbamoyl aryl hydrazidic. Tetrahedron 1971;27:2517-28.
  27. Abdelhamid AO, Attaby FA, Zaki MY. Reactions with 2 (thiocyanatoacetyl) and 2-(selenacyanoacetyl)-2`-benzofuran. Synthesis of some new thiadiazoline, selenadiazoline, thiadiazolo[2,3-b]quinazopline and arylazothiazole derivatives. Phosphorus Sulfur Silicon Relat Elem 1990;53:403-10.
  28. Schonberg AS, Badan N, Starkowsky NA. Furo-chromones and coumarins. VII. Degradation of visnagin, khellin and related substances; experiments with chromic acid and hydrogen peroxide; and a synthesis of eugenitin. J Am Chem Soc 1953;75:4992-5.
  29. Schonberg AS, Badan N, Starkowsky NA. Furo-chromones and coumarins IX. Reactions of khellol Glucoside, visnagin and Bergapten. J Am Chem Soc 1955;77:1019-22.
  30. Bauer AW, Kirby WWM, Sherris JC, Turck M. Antibiotic susceptibility testing by a standaredized singl disk method. Am J Clin Pathol 1966;45:493-6.