1Dept. of Physiology Manipal Melakka Medical College, Manipal Manipal University, INDIA, 2Professor & Head Department of Pharmacology Kasturba Medical College, Manipal Manipal University, INDIA, 3Department of Anatomy Kasturba Medical College, Mangalore Manipal University, India 575001
Emai: lmadhyast@yahoo.com
Received: 17 Oct 2014 Revised and Accepted: 15 Oct 2014
ABSTRACT
Objective: This study was intended to investigate the effect of early and late gestational stress, on the levels of antioxidants and antioxidant enzymes in maternal serum that reflects oxidative damage. We also aimed at evaluating the protective role of N-acetylcysteine (NAC) against this oxidative stress. This study was carried out with speculation in mind that maternal oxidative damage could be the cause for developmental defects in off spring.
Methods: Pregnant rats were exposed to restrain stress thrice daily, either during the first half or during the second half of gestation. Other groups were treated with N-acetylcysteine throughout pregnancy, along with exposure to either early gestational stress or late gestational stress. Control group was kept undisturbed throughout pregnancy. Immediately after delivery, blood was drawn to estimate the serum antioxidant levels.
Results: Pregnant rats exposed to stress during the late gestational period showed significant variation in the level of serum MDA, Glutathione Reductase, reduced glutathione, SOD and total antioxidant capacity although, administration of NAC brought about improvement in the antioxidant status.
Conclusion: NAC is an effective antioxidant that can bring down the oxidative damage caused by late gestational stress in rats.
Keywords: Gestational stress, N-acetylcysteine, Oxidative stress, Reactive oxygen species, Serum antioxidants.
INTRODUCTION
Exposure to stressors has been well associated with elevated levels of reactive oxygen species (ROS). When the balance between the level of ROS and the antioxidant capacity to deal with these ROS gets disturbed, oxidative stress results [1, 2]. This indeed has a significant role to play during pregnancy [3]. Earlier reports point out that pregnancy by itself can give rise to oxidative stress along with increased antioxidant defense [4].
Various kinds of stress during pregnancy are often inevitable. Such events can cause an elevation in the level of oxidative markers, thus activating the extension of cellular antioxidative complex. Chronic maternal restrain stress can impair the post synaptic NMDA receptors in brain of offspring [5]. These receptors are thought to be associated with free radical generation that leads to neuronal damage [6]. This may consequently give rise to a number of undesirable outcomes in the neonates, as defense against such oxidative damage is very limited at this stage of life [7].
Animal and clinical studies have placed evidence on occurrence of neurodegenerative disorders like autism and schizophrenia as an outcome of stress during prenatal period [8-10]. Therefore, recognition of effective treatment and management for prenatal stress induced oxidative damage is very crucial.
An antioxidant that is proved to be safe during pregnancy, and has the capacity to pass across the placental and blood-brain barriers, could be of value in alleviating the adverse consequences of prenatal stress in offspring. N-Acetylcysteine (NAC), a familiar antioxidant that follows all the above criteria, would possibly be able to cause protection to the offspring against prenatal stress effects.
This antioxidant is a glutathione precursor and a free radical scavenger. Recently, NAC has proved to provide protection to the fetus by attenuating LPS induced maternal oxidative stress [11]. This study was designed to investigate the effects of early as well as late gestational stress and N-Acetylcysteine (NAC) administration on maternal antioxidant system.
MATERIALS AND METHODS
Healthy, female and male Albino Wistar rats (3-4 months of age) weighing around 250 g, were obtained from institutional animal house for the study. Day light cycle, temperature and humidity control were maintained. Animals were housed in polypropylene cages provided with paddy husk, and were fed with standard food pellet and water. Animal procedures were permitted by Institutional Animal Ethics Committee. Animals were handled humanitarianly throughout the experimental procedures.
Mating of rats
Female rats were allowed to mate with fertile male rat (two female rats with one male rat) for four hours per day, after which, the female rats were subjected to confirmation of pregnancy. Presence of sperms in the vaginal smear was considered as positive for pregnancy, and these rats were separated and allotted for different groups (6 rats in each group) and designated as gestational day 0. Pregnant rats were independently housed in separate cages until delivery.
Animal groups
Group 1: (C) (Control) Pregnant rats administered with normal saline (10 ml/kg body weight) intraperitoneally during the entire course of pregnancy.
Group 2: (NAC) Pregnant rats administered with NAC alone (ip) during the entire course of pregnancy.
Group 3: (G1-10) pregnant rats subjected to restrain stress from day 1 to 10 of pregnancy.
Group 4: (G 11-DEL) Pregnant rats subjected to restrain stress from day 11 of pregnancy till delivery.
Group 5:(G1-10+NAC) Pregnant rats subjected to restrain stress from day 1 to 10 of pregnancy along with NAC treatment through the entire course of pregnancy.
Group 6: (G11-DEL+NAC) Pregnant rats subjected to restrain stress from day 11 of pregnancy till delivery along with NAC treatment through the entire course of pregnancy.
All pregnant rats delivered at around 21st -24th day of gestation.
Stressing procedure
Wire mesh restrainers were made use of for subjecting the pregnant dams to restrain stress procedure. This procedure was regularly performed for 45 min, three times in a day. The timing of stress exposure was randomly shifted within certain time periods so as to avoid familiarization of animals to the regular procedure. The restrainer was made of a wooden base, a stainless steel wire mesh hinged to the base and a pad padlock with clasp. Restrainers with two different dimensions were prepared, one for stressing rats during early pregnancy (11 cm (L) x 6 cm (B) x 6 cm (H)) and the other for stressing rats during late pregnancy (11 cm (L) x 8 cm (B) x 8 cm (H)). Immobilization in a restrainer is considered as one of the best known models of stress as it represents emotional as well as physical aspects of stress
Chemicals
All chemicals and reagents are HPLC or analytical grade (Sigma, St. Louis, Mo.). N-acetylcysteine is purchased from Lobo chemicals and procured locally from Sri Durga laboratories, Mangalore.
N-acetylcysteine treatment: The acute oral toxicity of N-acetyl cysteine is low e. g. LD 50> 10,000mg/kg body weight and all NAC-related effects observed were marginal. The optimum favorable results were obtained from a dose ranging from 0.6g/day in human clinical trial [12]. Applying this dose to the rat model and also from the number of previous studies in rats such as by Basyigit et al (2007) [13], 10 mg/kg body weight dose was selected for this study.
Antioxidant studies
For estimation of serum antioxidant estimation, blood samples of dams were collected from the orbital plexus venous by using capillary glass tubes, the same day of parturition. After allowing to clot for 1 minute, at 37ºC, the blood samples were centrifuged at 1500 xg for 10 min. The separated serum was utilized for antioxidant assay. Estimation of serum lipid peroxidation was performed by the method described by Okhawa et al (1979) [14], The activity of serum glutathione reductase (GR) was analyzed by the method of Mize and Langdon (1962)[15], reduced glutathione (GSH) was estimated by the method of Ellman et al. (1959)[16],activity of superoxide dismutase (SOD) activity was assessed by the method described by Marklund and Marklund (1974)[17], and total antioxidant capacity was assayed based on the technique of Koracevic et al. (2001)[18].
Data analysis
All results represent mean ± S. E. M. The data were analyzed using one way analysis of Variance (ANOVA) test followed by Bonferroni’s multiple comparison test
RESULTS
Maternal serum antioxidant levels
Lipid peroxidation (MDA)
A statistically significant (p<0.01) increase in serum lipid peroxidation (MDA level) was seen in group 4 dams (exposed to stress during late gestational period) when compared to control group. Level of MDA was significantly lesser (p<0.05) in group 5 rats (late gestational stress+NAC treatment) compared to group 4 rats.(fig. 1)
Glutathione Reductase (GSHRd)
Statistically significant fall (p<0.001) in glutathione Reductase activity was observed in late gestational stress group mother rats when compared to controls. Rats exposed to stress during late pregnancy along with NAC administration through pregnancy (group 5) showed significant (p<0.05) improvement in the GSHRd level when compared to group 4 rats. (fig. 2). There was no significant difference in any other group.
Reduced glutathione (GSH)
Asillustrated in fig. 3, group 4 animals showed a significant (p<0.05) fall in GSH level as compared to control group mothers. GSH level was improved (p<0.05) in group 5 rats. No significant difference was observed between any other groups.
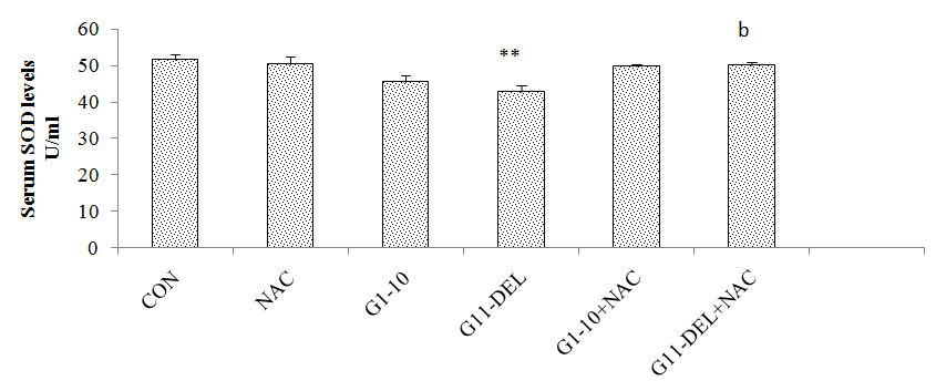
Superoxide dismutase (SOD)
Significant fall (p<0.01) in serum SOD level was seen in group 4 rats compared to control group. Group 5 rats showed (p<0.05) improvement in SOD activity as compared to group 4 rats (fig. 4).
Total antioxidant capacity (TAO)
Statistically significant fall (p<0.05) in TAO was observed in late gestational stress group when compared to controls. Rats exposed to stress during late pregnancy along with NAC administration through pregnancy (group 5) showed significant (p<0.05) improvement in the GSHRd level when compared to group 4 rats (fig. 5). There was no significant difference in any other group.

Fig. 1: Effect of early and late gestational stress and prenatal NAC treatment maternal serum MDA levels.
Data are expressed as mean±SEM. Animal groups: n=6.
CON Vs G11-DEL, **p<0.01, G11-DEL+NAC Vs G11-DEL, b p< 0.05

Fig. 2: Effect of early and late gestational stress and prenatal NAC treatment maternal serum glutathione Reductase activity. Data are expressed as mean±SEM. n=6. CON Vs G11
DEL, ***p<0.001, G11-DEL+NAC Vs G11-DEL, b p< 0.05

Fig. 3: Effect of early and late gestational stress and prenatal NAC treatment maternal serum reduced glutathione levels. Data are expressed as mean±SEM. n=6.
CON Vs G11-DEL, *p<0.05, G11-DEL+NAC Vs G11-DEL, b p< 0.05
Discussion
In this study, we aimed at investigating the association between restrain stress during pregnancy and maternal serum oxidative changes. We observed increased lipid peroxidation, along with fall in SOD, GSH, glutathione reductase activity as well as total antioxidant capacity in mothers exposed to late gestational stress. These changes are suggestive of excessive oxidative stress. Chronic stress on a daily basis may disrupt the balance between oxidant and antioxidant status leading to oxidative damage. Earlier studies have suggested an association of maternal oxidative stress during pregnancy with poor pregnancy outcome [19].

Fig. 4: Effect of early and late gestational stress and prenatal NAC treatment maternal serum SOD levels.
Data is expressed as mean±SEM. n=6.
CON Vs G11-DEL, **p<0.01,G11-DEL+NAC Vs G11-DEL, b p< 0.05
Fig. 5: Effect of early and late gestational stress and prenatal NAC treatment on maternal serum total antioxidant capacity. Data are expressed as mean±SEM. Animal groups: n=6.
CON Vs G11-DEL, *p<0.05,G11-DEL+NAC Vs G11-DEL, b p< 0.05
Large number of earlier studies have shown that oxidative stress is a central feature of repeated stress exposure, and this in turn may lead to various undesirable outcomes in the progeny. It is suggested from earlier reports on animal and clinical studies that chronic stress during pregnancy is not only associated with physical, behavioral and cognitive impairment in the offspring [20], but also may lead to development of various neurobiological changes [21]. The exact mechanism by which variation in the levels of maternal serum antioxidants leads to deleterious outcomes in the progeny is not known. Possibility of ROS or the antioxidants and antioxidant enzymes passing from maternal blood through the placental barrier to cause impact to fetal development needs to be examined. Our study indicates that oxidative stress is significantly more pronounced in mothers exposed to late gestational stress. The exact reason for this variation between early prenatal and late prenatal stress is not known. This difference may be due to recovery of early gestational stress group from oxidative stress as the estimation was done only after delivery. Nevertheless, in relation to this difference, it must be noted that the significant number of the earlier studies on gestational stress, have reported adverse consequences in offspring of mothers exposed to late but not to early gestational stress. Children exposed to prenatal anxiety during the late gestational period were more likely to undergo emotional alterations [22]. However, maternal oxidative stress during pregnancy certainly will have a negative effect on development of the offspring.
SOD an important antioxidant defense, catalyzes the dismutation of superoxide anions to hydrogen peroxide. When there is deficiency of SOD activity, superoxide anion reacts with nitric oxide to form peroxynitrite, a toxic oxidizing agent, which can initiate lipid peroxidation. These peroxy nitrites mediate nitration of tyrosine residues of SOD. NAC is thought to prevent this nitration mechanism thereby improving the SOD activity [23]. According to earlier reports, NAC increased SOD activity in blood cells of endo toxaemic rats [24]. It is also reported that maternal SOD can protect the placenta from oxidative stress [25]. Uninhibited peroxidation alters membrane permeability. Increase in production of ROS that can oxidize membrane lipids cause elevation in MDA level. Our study aimed at finding out whether NAC, Could attenuate the prenatal stress induced oxidative changes in maternal serum, thus causing protection to the offspring against the suspected negative effects. Clinical studies have revealed the efficacy of NAC supplementation along with antipsychotic drugs, as it raises blood GSH levels [26]. It has been demonstrated that NAC crosses the placental barrier [27]and also the blood– brain barrier [28]to enhance brain GSH levels in response to oxidative stress. We report here that prenatal administration of NAC,a drug that is safe during pregnancy, offered significant protection against oxidative damage, in mothers exposed to late gestational stress.
CONCLUSION
In summary, our results point out that oxidative stress is more apparent in mothers exposed to stress during later stages of pregnancy and also provide evidence that prenatal NAC treatment can alleviate this oxidative damage. NAC therefore can be considered as an effective treatment for prenatal stress induced oxidative damage.
CONFLICT OF INTERESTS
Declared None
REFERENCES