Department of Post-Graduate Studies and Research in Chemistry, Gulbarga University, Gulbarga-585106, Karnataka (INDIA).
Email: arsaundane@rediffmail.com
Received: 18 Jun 2014 Revised and Accepted: 15 Aug 2014
ABSTRACT
Objective: The present study aims at the synthesis and evaluation of antimicrobial and antioxidant activities of indole analogues incorporated with triazole and thiazolotriazole moieties.
Methods: The newly synthesized compounds were screened for their antimicrobial activity by cup-plate method. Antioxidant activity by three different methods viz.,1,1-diphenyl-2-picryl hydrazil (DPPH) radical scavenging activity (RSA), ferric ion (Fe3+) reducing power (FRAP) and ferrous (Fe2+) ion metal chelating activity were appraised by calorimetric method using UV-Visible spectrophotometer.
Results: The structures of all the newly synthesized compounds have been established on the basis of their IR, 1HNMR, [13]CNMR and mass spectral studies and elemental analysis. Compound 4a showed good radical scavenging activity (RSA), 4b showed good ferric ion (Fe3+) reducing antioxidant power (FRAP) and compounds 3c and 4a exhibited good ferrous ion metal chelating activity. Whereas compound 3b showed good antibacterial activity against P. aeruginosa, 4a against S. aureus and 4c against E. coli. While for the antifungal activity compound 3a was good against A. oryzae, 3c against A. nizer and 4a against A. flavus.
Conclusion: Antimicrobial and antioxidant activity results of the newly synthesized compounds indicate that some of the compounds showed better antimicrobial and antioxidant activities with reference to the standard drugs.
Keywords: Indole, Triazole-5-thiol, Thiazolotriazole, Antimicrobial, Antioxidant activities.
INTRODUCTION
The issue of combating against infectious diseases has shown up to be a major fact of confronting because of the increasing number of multi-drug resistant microbial pathogens. The remedial concern is an important part of hospitalized patients, immune suppressed patients, those undergoing anticancer therapy or organ transplants and the like. Regardless of a large number of antibiotics and chemotherapeutics available for medical use, the easily gained resistance to antibiotics has created a substantial need for more effective agents.
Conversely to have an overview of free radicals and the detrimental effects caused by the same, the emphasis on antioxidants becomes imperative. Antioxidants are substances that neutralize free radicals or their actions; on the contrary free radical refers to any chemical species capable of independent existence that contains unpaired electron. These are derived from oxygen (reactive oxygen species, ROS) and nitrogen (reactive nitrogen species, RNS) and are entwined in the etiology of a variety of diseases. They can adversely alter various biological molecules as a consequence of which they lose their function which in turn leads to diseased conditions. Here is where antioxidants emerge as defense system against the damage induced by free radicals acting at various levels. Antioxidant based drug formulations are used in the treatment of complex diseases like atherosclerosis, stroke, diabetes, Alzheimer’s disease, Parkinson’s disease, cancer, rheumatoid arthritis, neuro degeneration, etc.,[1]. It also plays a significant role as anti-inflammatory agent[2]. Evidently the implication of antioxidants on free radical scan impediment the damage caused by free radicals.
During the last two decades, triazoles, in particular, substituted 1,2,4-triazoles are among the foremost division of heterocycles that have received the most consideration. They serve as potent antimicrobial[3, 4], antioxidant[5], antituberculosis[6], analgesic and anti-inflammatory[7], anticancer[8] so on and so forth. Likewise, the thiazole system has been known for several decades and so far a variety of biological activities have been reported for its derivatives such as antimicrobial[9], antinflammatory[10], anticancer[11], antitumor[12], IMP dehydrogenase inhibitor[13], insecticidal[14], etc. The indole nucleus is an imperative element of many natural and synthetic molecules with significant biological activities. This moiety is very important for its medicinal and biological aspects, thus attracting a lot of scientific attention. It has been found to possess pharmacological and chemotherapeutic properties such as anticancer[15], antidiabetic[16], antinflammatory[17], antimalarial [18], antibacterial[19-21], antifungal[22], antiviral[23, 24]and so forth.
In view of the above mentioned findings and as a continuation of our effort to identify new compounds that may be value in designing new, potent, selective and less toxic bioactive molecules, we report here in the synthesis, antioxidant and antimicrobial evaluation of indole analogues incorporated with triazole and thiazole ring systems.
MATERIALS AND METHODS
All the reagents were obtained commercially. Melting points were determined by an open capillary method and are uncorrected. Purity of the compounds was checked by thin layer chromatography using silica gel-G coated aluminium plates (Merck). The IR spectra were recorded on Thermo Fischer (id S-5) FT-IR spectrometer. The 1HNMR were recorded on a Bruker NMR (500MHz) and the chemical shifts were expressed in ppm (δ scale)downfield from TMS. [13]CNMR (100 or 125 MHz, DMSO) spectra recorded on Bruker NMR. Mass spectral data were recorded by electron impact method on JEOL GCMATEII GC-MS mass spectrometer at 70ev.
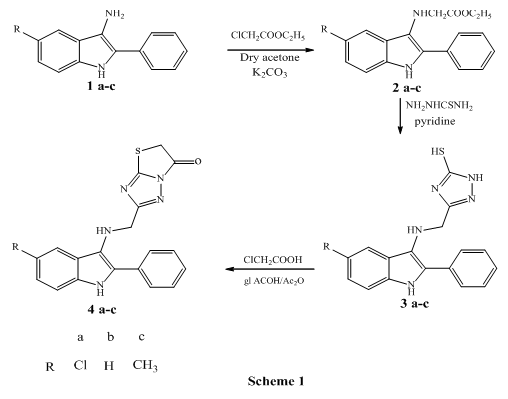
General procedure for the synthesis of ethyl-2-[(5-substituted-2-phenyl-1H-indol-3-yl)amino]acetates(2a-c) was prepared by following the literature method[25]
General procedure for the synthesis of 3-{[(5-substituted-2-phenyl-1H-indol-3-yl)amino]methyl}-1H-1,2,4-triazole-5-thiols (3a-c)
Ethyl-2-[(5-substituted-2-phenyl-1H-indol-3-yl)amino]acetates (2a-c) (0.001 mol) and thiosemicarbazide (0.001 mol) taken in pyridine was refluxed for 8 hr and then poured into ice cold water. The resultant solid was filtered, washed with water till free from pyridine, dried and recrystallized from benzene to yield (3a-c).
3-{[(5-Chloro-2-phenyl-1H-indol-3-yl)amino]methyl}-1H-1,2,4-triazole-5-thiol (3a)Purple crystals. Yield: 42.36 %, M. P.: 122-123 ºC. FTIR (thin film) cm-1:3405 (indole NH), 3418 (triazole NH),3105 (NH), 2848 (C-SH), 1604 (C꞊N), 738 (C-Cl).1HNMR(500MHz, DMSO-d6)δ:12.67 (s, 1H, indole NH), 11.76 (s, 1H, triazole NH), 10.29 (s, 1H, NH), 6.9-7.7 (m, 8H, Ar-H), 5.26 (s, 1H, SH), 4.10 (s, 2H, CH2).[13]CNMR (100MHz, DMSO)δ:168.10, 167.87, 134.41, 133.29, 132.96, 132.43, 131.84, 131.49, 130.95, 129.37, 128.82, 128.70, 126.75, 125.43, 55.91. EI-MS (70eV) m/z: 355.5 (M+), 357.5 (M++2). Anal. Calcd for C17H14N5SCl(355.5): C, 57.38; H, 3.93; N, 19.69. Found: C, 57.36; H, 3.94; N, 19.68.
3-{[(2-Phenyl-1H-indol-3-yl)amino]methyl}-1H-1,2,4-triazole-5-thiol (3b)Dark green powder. Yield: 42.36 %. M. P.: 180-182 ºC. FTIR (thin film) cm-1: 3398 (indole NH), 3400 (triazole NH), 3100 (NH), 2836 (C-SH), 1600 (C꞊N).1HNMR (500 MHz, DMSO-d6) δ: 12.48 (s, 1H, indoleNH), 11.68 (s, 1H, triazole NH), 10.18 (s, 1H, NH), 6.5-7.4 (m, 9H, Ar-H), 5.18 (s, 1H, SH), 4.05 (d, 2H, CH2).[13]CNMR (100 MHz, DMSO) δ: 167.20, 165.17, 133.54, 131.84, 131.45, 130.46, 129.65, 129.10, 128.94, 128.68, 127.18, 126.57, 125.46, 124.26, 54.69. EI-MS (70eV) m/z: 321 (M+). Anal. Calcd for C17H15N5S(321): C, 63.55; H, 4.67; N, 21.80. Found: C, 63.53; H, 4.68; N, 21.79.
3-[{(5-Methyl-2-phenyl-1H-indol-3-yl)amino}methyl]-1H-1,2,4-triazole-5-thiol (3c)Grey crystals. Yield: 39.82.36 % M. P.: 196-198 °C. FTIR (thin film) cm-1: 3380 (indole NH), 3392 (triazole NH), 3097 (NH), 2827 (C-SH), 1596 (C꞊N).1HNMR (500 MHz, DMSO-d6) δ: 12.36 (s, 1H, indole NH), 11.41 (s, 1H, triazole NH), 10.05 (s, 1H, NH), 6.4-7.3 (m, 8H, Ar-H), 5.02 (s, 1H, SH), 3.82 (d, 2H, CH2), 2.43 (s, 3H, CH3).[13]CNMR (100 MHz, DMSO) δ:166.46, 164.29, 132.98, 131.05, 130.73, 129.97, 129.68, 128.05, 127.94, 126.74, 126.52, 125.98, 123.70, 122.35,53.91, 15.64. EI-MS (70eV) m/z: 335 (M+). Anal. Calcd for C18H17N5S(335): C, 64.47; H, 5.07; N, 20.89. Found: C, 64.45; H, 5.06; N, 20.88.
General procedure for the synthesis of 2-{[(5-substituted-2-phenyl-1H-indol-3-yl)amino]methyl}thiazolo[3,2-b][1,2,4]triazol-6(5H)-ones(4a-c)
A mixture of 3-{(5-substituted-2-phenyl-1H-indol-3-ylamino)methyl}-1H-1,2,4-triazole-5-thiols(3a-c) (1.5 mmol) and monochloroacetic acid (1.5 mmol) was refluxed in a mixture of glacial acetic acid/acetic anhydride (3:1) containing anhydrous sodium acetate (1.5 mmol) for 3 hr. It was cooled and poured onto crushed ice. The solid obtained was filtered, washed with water, dried and recrystallized from ethanol to afford (4a-c).
2-{[(5-Chloro-2-phenyl-1H-indol-3-yl)amino]methyl}thiazolo[3,2-b][1,2,4]triazol-6(5H)-one (4a)Dark blue crystals. Yield: 32.65 %. M. P.: 288-290 ºC. FTIR (thin film) cm-1:3270 (indole NH), 3058 (NH), 1727 (C꞊O), 1660 (C꞊N), 788 (C-Cl).1HNMR (500 MHz, DMSO-d6) δ: 12.45 (s, 1H, indole NH), 10.25 (s, 1H, NH),7.2-7.9 (m, 8H, Ar-H), 4.60 (s, 1H, thiazole CH2),4.12 (s, 2H, CH2).[13]CNMR (125 MHz, DMSO) δ:172.80, 167.43, 165.28, 132.02, 129.53, 129.21, 129.11, 129.01, 128.28, 127.59, 127.24, 127.15, 126.59, 126.08, 124.89, 58.72, 33.48;EI-MS (70eV) m/z: 395.5 (M+), 397.5 (M++2). Anal. Calcd for C19H14N5OSCl(395.5): C, 57.64; H, 3.54; N, 17.69. Found: C, 57.65; H, 3.56; N, 17.71.
2-{[(2-Phenyl-1H-indol-3-yl)amino]methyl}thiazolo[3,2-b] [1,2,4]triazol-6(5H)-one (4b) Brown crystals. Yield: 30.12 %. M. P.: 210-214 ºC. FTIR (thin film) cm-1:3218 (indole NH), 3046 (NH), 1718 (C꞊O), 1651 (C꞊N).1HNMR (500 MHz, DMSO-d6) δ: 12.24 (s, 1H, indole NH), 10.16 (s, 1H, NH),7.0-7.8 (m, 9H, Ar-H), 4.51 (s, 1H, thiazole CH2),4.06 (s, 2H, CH2).[13]CNMR (125 MHz, DMSO) δ:171.64, 166.89, 164.65, 131.31, 128.25, 128.02, 127.18, 127.78, 126.24, 126.05, 125.58, 125.49, 125.26, 125.08, 124.97, 57.28, 32.71. EI-MS (70eV) m/z: 361 (M+). Anal. Calcd for C19H15N5OS(361): C, 63.15; H, 4.15; N, 19.39. Found: C, 63.14; H, 4.18; N, 19.38.
2-[{(5-Methyl-2-phenyl-1H-indol-3-yl)amino}methyl]thiazolo[3,2-b][1,2,4]triazol-6(5H)-one (4c) green crystals. Yield: 29.36 %. M. P.:254-256 ºC. FTIR (thin film) cm-1: 3205 (indole NH), 3033 (NH), 1706 (C꞊O), 1648 (C꞊N).1HNMR (500 MHz, DMSO-d6) δ:12.32 (s, 1H, indole NH), 10.05 (s, 1H, NH),6.9-7.7 (m, 8H, Ar-H), 4.48 (s, 1H, thiazole CH2),4.02 (s, 2H, CH2), 2.52 (s, 3H, CH3).[13]CNMR (125 MHz, DMSO) δ:170.86, 165.35, 165.29, 129.65, 127.17, 126.23, 126.58, 125.74, 125.89, 125.11, 124.56, 124.62, 124.24, 124.43, 123.82, 56.37, 31.69, 16.65. EI-MS (70eV) m/z: 375 (M+). Anal. Calcd for C20H17N5OS(375): C, 64.00; H, 4.53; N, 18.66. Found: C, 63.99; H, 4.55; N, 18.65.
Biology
Antimicrobial activity
The newly synthesized compounds were screened for their antimicrobial activity by Cup-plate method[26]. This method depends on the diffusion of the antibiotic from a cavity through the solidified agar layer in a petridish to an extent such that the growth of the added microorganism is prevented in a circular zone around the cavity containing a solution of the antibiotic. For antibacterial activity Staphylococcus aureus, Esherichia coli and Pseudomonas aeruginosa were used as pathogenic representatives wheras Aspergillus nizer, Aspergillus flavus and Aspergillus oryzae were used for antifungal activity. Streptomycin and Fluconazole were used as standards for antibacterial and antifungal activities respectively. Inhibition zones were measured in millimeters at the end of incubation period.
Antibacterial activity
The newly synthesized compounds were evaluated for antibacterial activity against Staphylococcus aureus, Esherichia coli and Pseudomonas aeruginosa.
For the antibacterial assay 15-20 mL of molten nutrient agar was poured into each of the sterile plates. With the help of sterile cork borer the cups were punched and scooped off the set agar. The agar plates so prepared are divided into different sites and each of the plates was inoculated with suspension of particular organism by spread plate technique. The cups of the inoculated plates were then filled with 0.1 mL of the test solution. The test solutions of the synthesized compounds and the standard drug (Streptomycin) were prepared in DMSO at 1000, 500, 250 and 125µg/mL. All the inoculated plates were incubated at 38ºC and results were evaluated after 24h. The data are represented in Table: 1.
Table 1: In vitro antibacterial activities of compounds 3 & 4
| Comp Code |
S. aureus (zone of inhibition in mm) |
E. coli (zone of inhibition in mm) |
P. aeruginosa (zone of inhibition in mm) |
|||||||||
| 1000 | 500 | 250 | 125 | 1000 | 500 | 250 | 125 | 1000 | 500 | 250 | 125 | |
| 3a | 11 | 10 | 09 | 09 | 10 | 08 | 08 | 07 | 12 | 11 | 09 | - |
| 3b | 12 | 10 | 08 | 09 | 13 | 10 | 07 | 08 | 13 | 11 | 10 | 12 |
| 3c | 11 | 13 | 09 | - | 09 | 10 | - | 07 | 12 | 10 | 08 | - |
| 4a | 12 | 10 | 13 | 12 | 09 | 12 | 09 | - | 09 | 11 | 10 | - |
| 4b | 08 | - | - | - | 07 | 09 | - | - | 12 | 12 | 09 | - |
| 4c | 07 | 08 | 07 | - | 10 | 11 | 11 | 12 | 09 | 12 | 10 | 09 |
| Streptomycin | 15 | 15 | 15 | 15 | 15 | 14 | 14 | 13 | 14 | 13 | 13 | 13 |
Antifungal activity
The newly synthesized compounds were evaluated for antibacterial activity against Aspergillus nizer, Aspergillus flavus and Aspergillus oryzae. For antifungal activity, about 15-20 mL of molten potato dextrose agar was poured into each of the sterile petridishes. With the help of the sterile cork borer the cups were punched and scooped off the set potato dextrose agar medium. The plates so prepared are divided into different sites and each of the plates was inoculated with suspension of particular organism by spread plate technique. The cups of the inoculated plates were then filled with 0.1 mL of the test solution. The test solutions of the synthesized compounds and the standard drug (Fluconazole) were prepared in DMSO at 1000, 500, 250 and 125µg/mL. Further the inoculated plates were incubated at 37°C for 72h and then the zone of inhibition was measured. The results are tabulated in Table: 2
Table 2: In vitro antifungal activities of compounds 3 & 4
| Comp Code |
A. nizer (zone of inhibition in mm) |
A. flavus (zone of inhibition in mm) |
A. oryzae (zone of inhibition in mm) |
|||||||||
| 1000 | 500 | 250 | 125 | 1000 | 500 | 250 | 125 | 1000 | 500 | 250 | 125 | |
| 3a | 07 | 09 | 08 | - | 12 | 10 | 09 | 09 | 13 | 12 | 12 | 10 |
| 3b | 09 | 08 | 08 | 07 | 08 | 09 | 07 | 05 | 06 | 07 | 07 | 05 |
| 3c | 12 | 11 | 11 | 10 | 11 | 11 | 10 | - | 10 | 10 | 11 | 09 |
| 4a | 11 | 10 | 10 | 09 | 13 | 12 | 10 | 10 | 10 | 11 | 12 | 11 |
| 4b | 10 | 11 | - | - | 12 | 09 | 07 | - | 10 | 10 | 11 | 09 |
| 4c | 08 | 06 | 07 | 06 | 10 | 09 | - | - | 08 | 08 | 07 | 06 |
| Fluconazole | 14 | 13 | 12 | 12 | 14 | 13 | 13 | 12 | 14 | 13 | 12 | 12 |
Antioxidant activity
The antioxidant activity of the synthesized compounds was determined by the following methods:
1, 1-diphenyl-2-picryl hydrazil (DPPH) radical scavenging activity (RSA)
The RSA of the synthesized compounds was carried out by Hatano’s method [27]. DPPH is a stable free radical that can accept hydrogen radical or an electron and gets converted to a stable diamagnetic molecule. In the course of determination of RSA, compounds of different concentrations (25, 50, 75 and 100µg/mL) were prepared in methanol; 1,2,3 and 4 mL of the above mentioned concentrations were taken respectively in different test tubes along with 1 mL DPPH to each test tube followed by the addition of methanol to adjust the volume to 5 mL. The test tubes were shaken vigorously after the addition and incubated in dark for 20 min at room temperature. A DPPH blank was prepared without the compound. Changes in the absorbance at 517 nm were measured using a UV-Visible spectrophotometer. Scavenging of DPPH free radicals was calculated from the following equation

Ferric ion (Fe3+) reducing antioxidant power (FRAP)
The reducing power of the synthesized compounds was determined according to the method of Oyaizu [28]. Different concentrations (25, 50, 75 and 100µg/mL) of the sample in DMSO were mixed with phosphate buffer (2.5 mL, 0.2M, pH=6) and potassium ferricyanide (2.5 mL, 1%). The mixture was incubated at 50ºC for 20 min after which 2.5 mL of trichloroacetic acid (10%) was added to the mixture which was then centrifuged for 10 min at 1000rpm. The upper layer solution (2.5 mL) was mixed with distilled water (2.5 mL) and ferric chloride (0.5 mL, 0.01%) and absorbance at 700 nm was measured in UV-Visible spectrophotometer.
Ferrous (Fe2+) ion metal chelating activity
The chelating activity of the ferrous ions (Fe2+) towards the test compounds and standards was determined by the Denis method [29]. In this method, the test samples of concentration 25, 50, 75 and 100µg/mL in ethanolic solution (0.4 mL) were added to a solution of ferrous chloride (0.05 mL, 2 mM). The reaction was initiated by the addition of ferrozine (0.02 mL, 5 mM) and the total volume was adjusted to 4 mL with ethanol. The mixture was shaken vigorously and kept at room temperature for 10 min and then the absorbance at 517 nm were measured using a UV-Visible spectrophotometer. The percentage of inhibition of the ferrozine complex formation was calculated using the following equation
![]()
RESULTS AND DISCUSSION
Chemistry
With the objective of developing effective new antimicrobial and antioxidant agents, a series of triazoles and thiazolotriazoles were synthesized. The synthetic methodology followed to obtain the target molecules is depicted in Scheme 1. In the initial step, ethyl-2-[(5-substituted-2-phenyl-1H-indol-3-yl)amino]acetate (2a-c) was prepared by following the literature method[25]. Compounds (2a-c) on reaction with thiosemicarbazide, at reflux temperature yielded the product 3-{[(5-substituted-2-phenyl-1H-indol-3-yl) amino]methyl}-1H-1,2,4-triazole-5-thiol (3a-c). Further compounds (3a-c) when subjected to cyclocondensation with monochloroacetic acid in a mixture of glacial acetic acid and acetic anhydride along with anhydrous sodium acetate afforded 2-{[(5-substituted-2-phenyl-1H-indol-3-yl)amino]methyl}thiazolo[3,2-b][1,2,4]triazol-6(5H)-one (4a-c). The synthesized compounds were characterized by IR, 1HNMR, [13]CNMR and mass spectral studies and elemental analysis.

Antimicrobial activity
The antibacterial data(TABLE: 01) revealed that all tested compounds have moderate to high antibacterial activity except compounds 3c and 4b which were either weakly active or inactive against the tested microorganisms. As compared to the standard drug Streptomycin compound 3b showed good antibacterial activity against P. aeruginosa, 4a against S. aureus and 4c against E. coli. The screening data (TABLE: 02) of antifungal activity showed moderate to good activity by all the compounds against the tested fungi except compound 3bwhich was weakly active and compound 4b which was inactive at lower concentrations. Compound 3b was good against A. oryzae, 3c against A. nizer and 4a against A. flavus.
Antioxidant activity
1, 1-diphenyl-2-picryl hydrazil (DPPH) radical scavenging activity (RSA)
DPPH, a stable free radical, has an odd electron and thus a strong absorption at 517 nm. When this electron becomes paired off, the absorption decreases stoichiometrically with respect to the number of electrons or hydrogen atoms taken up. Such a change in absorption by this reaction has been extensively adopted to test the capacity of several molecules to act as free radical scavengers. The scavenging effects of the synthesized compounds on the DPPH radical were evaluated. The results were compared with the standards 2-ter-butyl-4-methoxy phenol (butylated hydroxyl anisole, BHA), 2-(1, 1-dimetyl ethyl)-1, 4-benzenediol (2-ter butyl hydroquinone, TBHQ) and ascorbic acid (AA). The results suggested that the compound 4a was found to enhance the RSA (76.44%) at 25µg/mL, (76.73%) at 50µg/mL and (72.86%) at 75µg/mL. Compounds 3a and 4c exhibited moderate RSA while compounds 3b, 3c and 4b were found to augment RSA to lesser extent. The results are shown in Fig: 1 and 2.

Fig. 1: RSA of compound 3

Fig. 2: RSA of compound 4
Ferric ion (Fe3+) reducing antioxidant power (FRAP):
The reductive ability of the synthesized compounds was assessed by the extent of conversion of Fe3+/ferricyanide complex to the Fe2+/ferrous form, at different concentrations(25, 50, 75, 100µg/mL) and the results were compared with standards BHA, TBHQ and AA. Reductive ability results suggested that compounds 4b reduced metal ion complex to its lower oxidation state or took part in electron transfer reaction to a quite good extent while compound 3c to a moderate extent. Rest of the compounds showed comparatively lesser reducing ability. In other words these compounds showed the ability of electron donor to scavenge free radicals. The reducing ability of the synthesized compounds indicated that increase in the concentration of samples increases the reductive ability. Thus higher the absorbance of compounds, greater is the reducing power. The results are shown in Fig3 and 4.

Fig. 3: FRAP of compound 3

Fig. 4: FRAP of compound 4
Ferrous (Fe2+) ion metal chelating activity
Ferrous ion is the prooxidant among the various species of metal ion. Minimizing ferrous ions afford protection of reactive oxygen species and lipid production. The effective ferrous ion chelators protects by removing ferrous ion (Fe2+) that may otherwise participate in the generation of hydroxyl radical. The chelating effect of ferrous ion with test compounds was determined and results were compared with the standards BHA,TBHQ and AA. Ferrozine can quantitatively form complex with ferrous ion in this method. In the presence of chelating agents the complex formation is disrupted resulting in a decrease in red color of the complex. Measurement of color reduction therefore allows estimating the metal chelating activity of the coexisting chelators. Lower absorption indicates higher metal chelating activity. In this assay, synthesized compounds interfere with the formation of ferrous and ferrozine complex. These results suggested that the compounds exhibiting promising metal chelating activity were 3c (77.86% at 100µg/mL) and 4a (77.86 and 79.03% at 100µg/mL and at 75µg/mL respectively). Of the remaining, some compounds were moderately active and some were less active. The results are shown in Fig5 and 6.

Fig. 5: Metal chelating activity of compound 3

Fig. 6: Metal chelating activity of compound 4
CONCLUSION
ACKNOWLEDGEMENT
The authors are thankful to the Chairman, Department of Chemistry, Gulbarga University, Gulbarga for providing laboratory facilities; to the Chairman, Department of Microbiology, Gulbarga University, Gulbarga for providing facilities to carry out antimicrobial activity and to the Chairman, Department of Material Science, Gulbarga University, Gulbarga for providing IR spectra. Also thankful to the Director, CIL, Panjab University, Chandigarh and to the Director, Indian Institute Of Technology, Madras, Chennai for providing spectral data.
REFERENCES