1Department of Post Graduate Studies and Research in Chemistry, School of Chemical Sciences, Kuvempu University, Shankaraghatta, Karnataka 577451, India, 2Department of Chemistry, Yuvaraja’s college, University of Mysore, Mysore 570005, Karnataka, India.
Email: mahadevan.kmm@gmail.com
Received: 03 Aug 2014 Revised and Accepted: 05 Sep 2014
ABSTRACT
Objective: Synthesis of novel γ-carboline precursor 4 by using mild, inexpensive and eco friendly T3P as catalyst and synthesis of γ-carbolinesulfonamides, amides and tertiary amines 5a-l from compound 4 as a key intermediate. In silico docking studies against 5HT1, H1 and CCR2 antagonist receptors of all 5a-l compounds.
Methods: The reaction was carried out by taking mixture of 1 equiv. of phenyl hydrazine hydrochloride, 1 equiv. of N-Boc piperidone and 0.25 equiv. of T3P(50% in EtOAc) in toulene at 90 °C. After 6hr the product γ-carboline 4 was obtained by water workup followed boc deprotection by HCl in dioxane treatment. Further, the sulfonation, amidation and reductive amination were carried out to γ-carboline 4 to get derivatives of γ-carboline 5a-l. The synthesized compounds were docked against 5HT1, H1 and CCR2 antagonist receptors using AutoDock v 4.2.
Results: An excellent yield of γ-carboline precursor 4 was obtained by using mild, inexpensive and eco friendly T3P catalyst. Among the synthesized compounds, the 5b and 5c were shown three hydrogen bonding interaction having-10.1082 and-13.9105 kcal/mol of interaction energy with H1 protein at the active site amino acids ARG175, TYR185 and SER128 respectively. The inhibitory constants were found to be 88.7015 and 56.2123 µM respectively.
Conclusion: An eco friendly procedure to prepare γ-carboline 4 using mild and inexpensive T3P catalyst through Fischer indole synthesis was developed. The advantage of this method was easy isolation and high yield. In silico docking study reveals that the γ-carboline containing sulphanamides and amides groups exhibits more affinity towards 5HT and H1 protein receptors than on CCR2. Hence the further study in this direction might lead to identify novel compounds to inhibit 5HT1, H1 antagonist receptors.
Keywords: Fisher indole synthesis, γ-carboline, T3P, In silico docking study.
INTRODUCTION
The synthesis of γ-carboline and its derivatives are always a delight for the medicinal chemist due to their indispensible biological importance for example; both the β-carboline and γ-carboline were found in many medicinally active ingredients. For instance, the tetrahydro-β-carboline was found to be inhibitors of CDK4 over CDK2 [1], γ‒carboline was tested successfully for the antipsychotic activity [2]. Further it was reported that the γ‒carboline has been tested for their activity against COX1, COX2 plus, 5-LOX and proliferation of malignant prostate cancer [3]. Moreover, the γ‒carboline derivatives were found to be potent and selective cysLT1 antagonists [4]. Besides, γ‒carboline were also found in potential c-met inhibitors [5]. More importantly they are the antagonist of 5-HT6 and H1 receptors as well.
It was estimated that about 90% of actual patent applications citing CNS diseases claim serotonergic agents [6]. At least 14 distinct serotonin (5-HT) receptor subclasses are expressed in the mammalian CNS [7]. H1 antagonists are used for the treatment of allergic rhinitis [8]. First-generation H1 antagonists are effective but they cause sedation and dry mouth due to blood–brain barrier and lack of specificity [9], respectively. The second-generation H1 antagonists have low sedative potential although most of them present cardiotoxic side effects. On the other hand C-C chemokine receptor type 2 is a protein which encodes the Monocyte chemoattractant protein-1 which involved in monocyte infiltration in inflammatory diseases such as rheumatoid arthritis as well as in the inflammatory response against tumors [10]. Therefore finding novel antagonist inhibitor is of significant importance.
Many methods have been developed for the synthesis of carboline [2,11a]. In particular the γ-carbolines has been prepared by oldest and most widely used Fischer indole synthesis [11b]. However, the γ‒carboline itself was first prepared by Robinson and Thornley [11c] by a three-step synthesis using 4-chloropyridine and o-phenylenediamine, but this method can be readily extended only to the symmetrical o-diamines. Later N. P. Buu-HOI et al., [12]used a convenient methods by using 1-Benzyl-4-piperidone my means of Fisher indole synthesis the same methods have been used by many chemist [13]. Though this method looks simple, it involves hazardous condition like palladium debenzylation method. Hence the Fisher indole synthesis using ketones and arylhydrazines has become the most widely used method [14,15], in which hydrazone formation takes place followed by rearrangement to give indoles. Since in our laboratory we have been succeeded in finding new catalyst for the synthesis of indole[16-20], quinoline [21], and their biological studies[22,23], in this report we have targeted on the expedite and convenient methodology for synthesis of the γ‒carboline and its derivatives. Further these newly synthesized analogs were subjected to in silico binding with 5HT1, H1 and CCR2 antagonist receptors.
MATERIALS AND METHODS
Chemistry
The 1H NMR and [13]C NMR spectra were recorded on a 400 MHz and 100 MHz Bruker Spectrometer using CDCl3 or DMSO-d6 solvents and TMS as internal standard. Mass spectra were recorded on Agilent 1200 series single quadrapole mass analyzer. Melting points were recorded (uncorrected) in Buchi Melting Point B-545 instrument. The purity of the compounds was checked by TLC and was further purified by column chromatography (Pet ether/ethyl acetate; 1:1, v/v).
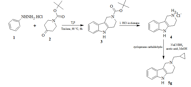
Step 1:Synthesis of tert-butyl 3,4-dihydro-1H-pyrido[4,3-b]indole-2(5H)-carboxylate 3:
To the solution of Phenyl hydrazine hydrochloride (2.0 g, 0.0138 mol) and 4-boc piperidone (3.0 g, 0.0152 mol) in toluene (20 ml) was added catalytic amount of T3P(2.2 mL, 0.00345 mol, 50% solution in EtoAc). The resulting solution was heated to 90 oC. After 6hr. TLC shows absence of phenyl hydrazine. Reaction mass was then brought to ambient temperature and quenched with water (10 mL). The organic layer was separated, washed with brine, dried over anhydrous Na2SO4 and concentrated to residue. The residue was dissolved and crystallized using diethyl ether to get orange solid 3 (3.55 g, yield 95%).
Step 2: Synthesis 2,3,4,5-tetrahydro-1H-pyrido[4,3-b]indole hydrochloride 4:
To the solution of tert-butyl 3,4-dihydro-1H-pyrido[4,3-b]indole-2(5H)-carboxylate (3.0 g, 0.0109 mol) in dioxane (2 mL)was treated with HCl in dioxane (3M,10 mL). the mixture was stirred for 30 min. The solvents were removed under reduced pressure. The residue was washed with hexane and dried to get the HCl salt of carboline 4 (2.1 g, yield 92 %)
1H NMR (400 MHz, DMSO-d6): δ 2.97 (t, J = 7.6 Hz, 2H), 3.37 (t, J = 8 Hz, 2H), 4.20 (s, 2H), 6.95-7.07 (m, 2H), 7.32 (d, J = 10.4 Hz, 1H), 7.42 (d, J = 10 Hz, 1H), 8.35 (s, 1H), 11.13 (s, 1H) ppm. [13]C NMR (300 MHz, DMSO-d6): δ 165.1, 135.7, 131.0, 125.0, 121.0, 118.7, 117.3, 111.0, 102.7, 20.7;LCMS: m/z=173.2 (M+1)
Step 3: Synthesis of 2-(phenylsulfonyl)-2,3,4,5-tetrahydro-1H-pyrido[4,3-b]indole 5a:
To the solution of 2,3,4,5-tetrahydro-1H-pyrido[4,3-b] indole hydrochloride 4 (0.2 g, 0.949 mmol) in dichloromethane (2 mL) was added triethyl amine (0.2 mL, 1.423 mmol). After cooling the resultant mixture to 0oC, the benzene sulphonyl chloride (0.18 g, 1.04 mmol) was added slowly. The reaction mass was then allowed to warm to ambient temperature and stirred. After 2h reaction mass was quenched with water, the organic layer was separated washed with brine solution, dried over anhydrous Na2SO4 and concentrated to the residue. The obtained residue was purified by column chromatography to afford the title compound 5a. (0.28 g, yield 95%)
1H NMR (400 MHz, DMSO-d6): δ 2.83 (t, J = 7.6 Hz, 2H), 3.44 (t, J = 7.6 Hz, 2H), 4.27 (s, 2H), 6.92-7.05 (m, 2H), 7.26 (d, J = 10.4 Hz, 1H), 7.40 (d, J = 10.4 Hz, 1H), 7.59-7.72 (m, 3H), 7.84-7.87 (m, 2H), 10.89(s, 1H) ppm. C[13] NMR (300 MHz, DMSO-d6): δ 136.6, 135.7, 133.0, 131.6, 129.3, 127.1, 124.8, 120.7, 118.5, 117.1, 110.8, 104.0;LCMS: m/z=313.09 (M+1)
Step 3: Synthesis of 1-(3,4-dihydro-1H-pyrido[4,3-b]indol-2(5H)-yl)-2-methylpropan-1-one 5e:
To solution of 2,3,4,5-tetrahydro-1H-pyrido[4,3-b]indole hydrochloride 4 (0.2 g, 0.949 mmol) in dichloromethane (2 mL) was added triethyl amine (0.2 mL, 1.423 mmol). After cooling the resultant mixture to 0oC, the cyclopropane carbonyl chloride (0.16 g, 1.04 mmol) was added slowly. The reaction mass was then allowed to warm to ambient temperature and stirred. After 2h reaction mass was quenched with water, the organic layer was separated washed with brine solution and concentrated to residue. The obtained residue was purified by column chromatography to afford the title compound 5e. (0.24g, 86%)
1H NMR (400 MHz, DMSO-d6): δ 10.75(s, 1H), 7.31(d, J = 7.64 Hz, 1H), 7.24(d, J = 7.96 Hz, 1H), 7.00-6.96(m, 2H), 6.92-6.89(m, 2H), 3.59(m, 2H), 2.78(m, 2H), 2.59-2.55(m, 2H), 1.66-1.59(m, 1H), 0.95(d, J = 3.4 Hz, 6H) ppm; LCMS: m/z=243.2 (M+1)
Step 3: Synthesis of 2-(cyclopropylmethyl)-2,3,4,5-tetrahydro-1H-pyrido[4,3-b]indole 5g:
To a solution of 2,3,4,5-tetrahydro-1H-pyrido[4,3-b]indole hydrochloride 4 (0.2 g, 0.949 mmol) in methanol(3 mL) the PH to 6-7 was adjusted by using triethyl amine. The solvent and the excess base were removed under vacuum. The residue was again dissolved in methanol (2 mL) added cyclopropane carbaldehyde (0.073 g, 1.043 mmol) followed by acetic acid (3 drops) and stirred at room temparature. After 30 min, the sodium cyano borohydride (0.11 g, 1.848 mmol) was added. The resulting mixture was further stirred at room temperature. After 6hr (completion of reaction as monitored by TLC) the solvents were removed under reduced pressure and the residue obtained was diluted with water (5 ml). The contents were extracted with ethyl acetate (10x 3 mL). The combined organic layer was washed with brine, dried over anhydrous Na2SO4 and concentrated to residue. Thus obtained residue was purified by column chromatography to get title compound 5g (0.2 g, yield 70%).
1H NMR (400 MHz, CDCl3): δ 8.18(s, 1H), 7.41(d, J = 7.48 Hz, 1H), 7.31-7.15(m, 1H), 7.13-7.06(m, 2H), 3.96(s, 2H), 3.11-3.08(m, 2H), 3.00-2.93(m, 2H), 2.68-2.66(m, 2H), 1.12-1.09(m, 1H), 0.67-0.62(m, 2H), 0.28-0.25(m, 2H) ppm, LCMS: m/z=227.2 (M+1).
In silico molecular docking studies
Selection of target protein
H1 antihistamines, CCR2 antagonists and 5HT-antagonists protein structures were retrieved from the PDB database. Serotonin 5HT receptors are complex with cytochrome-b with 3D structure (PDBID: 4IAR) shows antipsychotics propertiy. Histamine H(1) receptor antagonists protein (PDB ID: 3RZE) structure is effective on allergic reactions, Chemokine receptor type 2 (CCR2) proteins play an important role in inflammatory reactions and cognitive function in immune system (PDB ID: 1KAD) and these proteins were potentially targeted for binding with γ-carboline 5a-l
Active site prediction
Identifying the position of active site and ligand binding sites were predicted using Q-Site Finder. The structural analysis of ligand coordinates should be separated from Ligand Seek and remaining HETATM was converted into ATOM. Q-Site Finder succeeds in this case because it uses the probe energy as ranking schema rather than the size of the pocket.
The docking study was performed using Auto Dock Tools (ADT) v 1.5.4 and Auto Dock v 4.2 program to create grid maps of different grid points for covering ligand binding pockets such as active site amino acids. Using molecular modeling and simulation algorithms such as Lamarckian genetic algorithm helps for molecular simulation and docking. Different molecular simulation parameters were used in grid point such as 80 x 80 x 80 and docking. The parameters such as population size of 150, the mutation rate of 0.02 and crossover rate of 0.8 were fixed accordingly. Secondly, the Simulations were performed up to 2.5 million energy and the evaluations were maximum at 27000 generations. Each simulation was carried about 10 times which ultimately yielded 10 docked conformations. From this, the lowest energy conformations were regarded as the best binding conformations. In the end, the reverse validation processes ensured the identified hits that fitted with generated pharmacophore models and active sites of both targets. Since all the parameters were required for molecular docking and pharmacophore mapping, they were consequently fixed and used in regular process.
RESULT AND DISCUSSION
The novel γ‒carboline derivatives were synthesized by taking T3P as catalyst by Fisher indole synthesis. However, there are no reports for the synthesis of γ‒carboline using T3P catalyst neither conventional nor the microwave method. Hence as a preliminary study we carried out the reaction by taking 1 equiv. of phenyl hydrazine hydrochloride with 1 equiv. of N-Boc piperidone and 1 equiv. of T3P (50% in EtoAc) in toulene solvent. To our delight after 6hr of heating at 90o C, the reaction was complete with little polar impurities. Encouraged by the result we quickly carried out trial reactions to optimize the reaction condition. Accordingly, we found raising the temperature results in cleavage of Boc group which intern results in loss of yield. However lowering the reaction temperature prolonged the reaction time. Besides we found increase in catalyst concentration from 0.25 equiv. to 0.5 equiv or 1 equiv. did not alter the reaction rate markedly. However, substantial increase in catalyst (T3P) concentration leads to deprotection of Boc group. Further to check the effect of solvent and catalyst concentration on the reaction. We tried several experiments. The details are given in the table 1. As the data in the table suggest the best result was obtained when we use 0.25 equiv. of T3P in toluene as solvent at 90 °C.
Table 1: Effect of solvent and T3P concentration on the reaction
| Solvent | Temperature in °C | Quantity of T3P in Equiv. | Percentage conversion |
| MeOH | 65 | 0.5 | 70 |
| EtOH | 80 | 0.5 | 80 |
| EtoAc | 75 | 1.0 | 80 |
| THF | 66 | 0.5 | 75 |
| Toulene | 90 | 0.5 | >95 |
| MDC | 40 | 0.5 | <50 |
| Toulene | 90 | 0.25 | >95 |
With this optimized reaction condition we performed the reaction by taking 0.25 equiv. of T3P at 90° C in toluene solvent media to afford the step-1 product 3. After the reaction completion, we removed the residual T3P catalyst and other impurities by simple hydrolysis followed by solvent extraction to get pure product 3. Thus obtained product 3 was subjected to Boc deprotection using HCl in dioxane to afford HCl salt 4 which was taken up for further derivitization. The derivitization was achieved by sulphonation, amidation and reductive amidation of 4 (Scheme 2). Model reactions for reductive amination was carried out by taking HCl salt 4 with cyclopropanadehyde in the sodium cyanoborohydride reagent in MeOH solvent to get final 5g as described in scheme 1. Similar method was followed to synthesize the remaining γ‒carbolines derivative 5f-l. Alternately HCl salt 4 was subjected to N-sulphonation, N-aceylation using sulphonyl chlorides, acid chlorides in the presence of triethyl amine base to get sulphanamides 5a-b amides 5c-e respectively.
Scheme 1: Synthesis of 2-(cyclopropylmethyl)-2,3,4,5-tetrahydro-1H-pyrido[4,3-b]indole 5g
The structure of the compound 5a was confirmed by NMR spectra. 1H NMR spectrum of 5a has two triple at δ= 2.83 and δ=3.44 ppm corresponds to C-1(2H) and C-2(2H) protons with coupling constant 7.6 Hz. The singlet at δ= 4.27 corresponds to C-4(2H) peak, the peak at δ=10.89 is for indole NH proton. The nine aromatic proton appeared as expected in the region δ= 6.92-7.87(9H). In [13]C NMR spectrum the peak at δ= 23, 42 and 43 is for C-1, C-2 and C-3 carbons respectively. Peaks at δ=105-135 were aromatic carbons. This compound was further confirmed by LC/MS spectrum which gives a peak at 313.2 corresponds to molecular ion peak+1.
2-(phenylsulfonyl)-2,3,4,5-tetrahydro-1H-pyrido[4,3-b]indole
Similarly all the other derivatives were isolated by column chromatography and the structures were determined (Table 2).
Table 2: Synthesis of γ‒carboline derivatives 5a-l by sulphonation, amidation and reductive amination

| Entry | R group | Final compounds | M. P oC | Yield (%) |
| 5a | ![]() |
![]() |
185[17] | 95 |
| 5b | ![]() |
![]() |
166-170 | 95 |
| 5c | ![]() |
![]() |
174-178 | 91 |
| 5d | ![]() |
![]() |
156-158 | 92 |
| 5e | ![]() |
![]() |
175-177 | 90 |
| 5f | ![]() |
![]() |
108-110 | 90 |
| 5g | ![]() |
![]() |
170-172 | 85 |
| 5h | ![]() |
![]() |
151-153 | 86 |
| 5i | ![]() |
![]() |
gummy | 84 |
| 5j | ![]() |
![]() |
gummy | 85 |
| 5k | ![]() |
![]() |
164-166 | 84 |
| 5l | ![]() |
![]() |
112-114 | 88 |
Molecular docking studies
Accordingly, the γ-Carboline derivatives 5a-l were subjected to in silico docking studies with the H1, CCR2 and 5HT receptor proteins. Among the synthesized compounds 5b and 5c shows good interaction energy with H1 protein at the active site amino acids ARG175, TYR185 and SER128 with 3 hydrogen bonds which has-10.1082 and-13.9105 kcal/mol energy and the inhibitory constant of 88.7015 and 56.2123 µM. (See Figure 1) Though compounds 5f-5i has good binding energy interaction but they lack the enough number of hydrogen bonding to cause more affinity.
In the case of functional protein 5HT, we found 2 hydrogen bonding interaction for the compounds 5b and 5c which are having-13.6778 and-11.8076kcal/mol of energy and the inhibitory constant of 86.6819 and 46.7376 µM respectively with active site amino acids ALA93, TYR390, THR188 and CYS187 has higher interaction energy. However, the ligands 5h and 5l have no hydrogen bond interaction. Nevertheless, they show some binding energy which may be attributed to van der Waals energy between the molecules. The details of binding interactions are given in the table 3 and 4. Interestingly the ligands 5a-l forms less hydrogen bond interaction with the CCR2 receptors. However, the ligand 5b have shown maximum of 2 hydrogen bonding interactions (Table 6).
When we compare overall binding interaction with the receptors, the ligands 5b and 5c have good interaction with H1, 5HT and CCR2 when compare to the remaining ligands. This may be due to presence of amide and sulphanamide functionality in 5b and 5c respectively. Here oxygen atom has hydrogen bond acceptor nature thus forms more hydrogen bond which in turn increases the binding affinity of the ligands. Thus, tertiary amines 5f-l has less interaction than amides and sulphanamides.
Table 3: Docking studies for 5HT protein receptor
| Ligand | No. of
H-bonds |
Binding
Energy |
Inhibitory_
Const. |
Electrostatic
Energy |
Amino acids |
| 5a | 2 | -12.5290 | -90.3486 | -2.1834 | THR188,TYR390 |
| 5b | 2 | -13.6778 | -86.6819 | -2.09941 | ALA93, TYR390 |
| 5c | 2 | -11.8076 | -46.7376 | -2.4569 | THR188, CYS187 |
| 5d | 2 | -12.8302 | 60.9734 | -0.5287 | LYS1104 |
| 5e | 2 | 10.3294 | 59.3267 | -.0.9254 | TYR228 |
| 5f | 1 | -16.4574 | 63.7553 | -0.2164 | TYR215, |
| 5g | 1 | -15.2398 | 55.9345 | -0.2985 | LYS1104 |
| 5h | 0 | -6.375 | 62.3926 | -0.3659 | GLU309 |
| 5i | 1 | -16.7459 | 56.0839 | -0.2185 | TYR390 |
| 5j | 1 | -17.0492 | 58.2345 | -.0.303 | GLU309, |
| 5k | 1 | -14.2932 | 58.0034 | -0.3960 | TYR228 |
| 5l | 0 | -6.397 | 64.9805 | -0.4528 | TYR390 |
Table 4: Docking studies for H1 protein receptor
| Ligand | No. of
H-bonds |
Binding
Energy |
Inhibitory_
Const. |
Electrostatic
Energy |
Amino acids |
| 5a | 3 | -11.143 | 85.4376 | -2.5 | ARG175,TYR185 |
| 5b | 3 | -10.1082 | 88.7015 | -2.5 | ARG175, TYR185 |
| 5c | 3 | -13.9105 | 56.2123 | -2.5 | SER128 |
| 5d | 3 | -12.7834 | 72.6035 | -2.494 | LYS179 |
| 5e | 3 | -13.901 | 70.174 | -2.367 | TYR431,ARG175 |
| 5f | 1 | -19.921 | 79.8101 | -2.5 | TRP93 |
| 5g | 1 | -18.321 | 55.8234 | -2.34 | ASN198 |
| 5h | 1 | -17.4816 | 60.9379 | -2.5 | ASN198 |
| 5i | 2 | -20.0925 | 62.3908 | -2.482 | TRP93,ARG176 |
| 5j | 0 | -9.6925 | 70.0739 | -2.5 | ASN472 |
| 5k | 2 | -19.7347 | 66.9870 | -2.365 | TRP93, ARG176 |
| 5l | 0 | -9.756 | 68.2184 | -2.5 | TRP93 |
Table 5: Docking studies for CCR2 protein receptor
| Ligand | No. of
H-bonds |
Binding
Energy |
Inhibitory
_Const. |
Electrostatic
_Energy |
Amino acids |
| 5b | 2 | -11.0185 | -33.0533 | -0.833704 | GLU355 |
| 5c | 1 | -9.43413 | -63.4871 | -1.24215 | THR267 |
| 5f | 1 | -10.5746 | -81.7335 | -0.67892 | ASN301 |

Fig. 1: Docking images and interaction of 5b and 5c with H1 protein shows 3 hydrogen bonds with ARG175, TYR185 and SER128
CONCLUSION
In conclusion we have developed ecofriendly; procedure to prepare γ-carboline using T3P catalyst. Here the pure γ-carboline 4 was obtained without an expensive purification technique but only by simple hydrolysis of the residual T3P followed by deprotection. Furthermore, in silico docking study reveals that the γ-carboline derivatives containing amide and sulphanamide functionality have more affinity towards 5HT and H1 protein receptors and all 5a-l compounds exhibit less binding interaction with CCR2 receptors. Because of the selectivity of the ligands between the receptors, these can be further modified to improve the affinity and interaction for 5HT and H1 protein receptor in the future study.
ACKNOWLEDGEMENT
We are thankful to the Department of Postgraduate Studies and Research in Chemistry, Kuvempu University, Shankaraghatta, for providing laboratory facilities and also grateful to the Indian Institute of Science, Bangalore, for providing spectral data.
REFERENCES