1Department of Chemistry, Faculty of Science, University of Sarajevo, Bosnia and Herzegovina, 2Department of Biotechnology, University of Rijeka, Croatia.
Email: emira_kahrovic@yahoo.com
Received: 23 Oct 2014 Revised and Accepted: 20 Nov 2014
ABSTRACT
Ruthenium complexes attracted special attention in recent decades due to their anticancer properties. Since a number of Ru(III) complexes with Schiff bases showed moderate activity to bind DNA, antiproliferative effect of a chloro-ruthenium(III) complex which contains two O,N-bidentate Schiff bases derived from 5-chloro-salicylaldehyde was tested against cervical carcinoma, pancreatic carcinoma, hepatocellular carcinoma, metastatic lesions of colorectal adenocarcinoma and nontumoral cells WI38. The complex showed moderate antiproliferative properties in vitro and significant selectivity to SW620 metastatic lesions of colon cancer. Based on the positive research on ruthenium-based anticancer drugs and their generally moderate cytotoxicity in vitro (IC50) compared to platinum drugs which are in use, the titled compound might be a candidate for investigation in vivo, particularly to SW620.
Keywords: Antiproliferative effect, Anticancer drugs, Ruthenium, Schiff bases, Selectivity, SW620.
INTRODUCTION
Due to the progressive expansion of various types of cancer and different infectious diseases around the world, hundreds of new compounds are contineously synthesized and tested for their biological properies. The special place belongs to the complex compounds of ruthenium which showed promising properties in respect to some metal complexes used in chemotherapy, such as cisplatin. The advantage of ruthenium complexes is primarely based on higher selectivity and lower systemic toxicity compared to chemotherapeutic agents in use.
Although such compounds are the subject of multidisciplinary research, they are primary the inspiration for inorganic chemists and medical inorganic chemistry whose development actually began with the systematic study of cisplatin in chemotherapy in the sixties of the last century. From chemical point of view, potential anticancer compounds have to meet a number of requirements-stability, inertness which means the kinetic resistance to hydrolysis in the biological matrix prior to meeting target molecules, and suitable structural and electronic properties that might be essential for anticancer activity.
Designing of new compounds with potential anticancer properties must consider the possibility of transport and possible mechanisms of activation. Ruthenium complexes are readily transported with plasma proteins, albumin and transferrin. The most recent studies generally have focused on research of drug transport with nanoparticles, e. g. functionalized nanotubes [1]. It is believed that metal - based anticancer agents can be activated by hydrolysis, e. g. cisplatin, and by reduction "in situ" like ruthenium amine complexes [2], while the interaction with DNA, as a key target, can be covalently and non-covalently binding. Ru(III) is low-spin d5 ion with affinity for N- and O-ligands, resulting in octahedral complex species.
Stabilization of Ru(III) toward hydrolysis can be achieved by chelating, including Schiff base as chelating ligands with high stereochemical flexibility and the ability of systematic structure variations. Since a number of Ru(III) complexes with Schiff bases derived from salicylaldehydes and various amines, synthesized for the first time in our laboratory, demonstrate moderate activity to bind DNA [3] and significant antimicrobial properties against gram-positive bacteria, especially different strains of Staphylococcus aureus [4], we started evaluation of antiproliferative properties of a selected complex. Here is a report on the evaluation of antiproliferative effects in vitro of Sodium dichloro-bis[N-phenyl-5-chloro-salicylideneiminato-N,O]ruthenate(III), hereinafter referred Na[RuCl2(N-Ph-5-Cl-salim)2], on human tumor cell lines, as well as on normal (diploid) human fibroblasts (control cell line).
MATERIALS AND METHODS
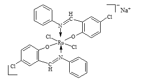
Na[RuCl2(N-Ph-5-Cl-salim)2] (Fig.1) was prepared according to previously reported procedure [5], and its purity was checked by CHN analysis and IR spectroscopy. To test the antiproliferative properties, 0.1M solution of the complex in dimethylsulfoxide (DMSO) was prepared. The measurements were performed in Laboratory for systems biomedicine and genomics at University of Rijeka, Croatia.
Fig. 1: The structure of Na [RuCl2(N-Ph-5-Cl-salim)2]
Cell culturing
The cell lines HeLa (cervical carcinoma), SW620 (colorectal adenocarcinoma, metastatic), CFPAC-1 (pancreatic carcinoma), HEp-G2 (hepatocellular carcinoma) and WI38 (normal diploid human lung fibroblast-like cells), were cultured as monolayers and maintained in Dulbecco's modified Eagle medium (DMEM) supplemented with 10% fetal bovine serum (FBS), 2 mM L-glutamine, 100 U/mL penicillin and 100 μg/mL streptomycin in a humidified atmosphere with 5% CO2 at 37°C.
Proliferation assays
The panel cell lines were inoculated onto a series of standard 96-well microtiter plates on day 0, at 3000 cells to 5000 cells per well according to the doubling times of specific cell line. Test agents were then added in five, 10-fold dilutions (0,01 to 100 µM) and incubated for further 72 hours. Working dilutions were freshly prepared on the day of testing in the growth medium. The solvent (DMSO) was also tested for eventual inhibitory activity by adjusting its concentration to be the same as in the working concentrations (DMSO concentration never exceeded 0,1%). After 72 hours of incubation, the cell growth rate was evaluated by performing the MTT assay: experimentally determined absorbance values were transformed into a cell percentage growth (PG) using the formulas proposed by NIH (National Institutes of Health) and described previously [6]. This method directly relies on control cells at the day of assay because it compares the growth of treated cells with the growth of untreated cells in control wells on the same plate − the results are therefore a percentile difference from the calculated expected value.
The IC50 and LC50 values for each compound were calculated from dose-response curves using linear regression analysis by fitting the mean test concentrations that give PG values above and below the reference value. If, however, all of the tested concentrations produce PGs exceeding the respective reference level of effect (e. g. PG value of 50) for a given cell line, the highest tested concentration is assigned as the default value (in the screening data report that default value is preceded by a ">" sign). Each test point was performed in quadruplicate in three individual experiments. The results were statistically analyzed (ANOVA, Tukey post-hoc test at p < 0.05). Finally, the effects of the tested substances were evaluated by plotting the mean percentage growth for each cell type in comparison to control on dose response graphs.
RESULTS
IC50 and LD50 values of Na[RuCl2(N-Ph-5-Cl-salim)2] for selected cells, cervical carcinoma, colorectal adenocarcinoma metastatic, pancreatic carcinoma, hepatocellular carcinoma and normal diploid human lung fibroblast-like cells are shown in Tables 1-2.
Table 1: Cytotoxicity of Na[RuCl2(N-Ph-5-Cl-salim)2] based on 50% inhibitory concentrations (IC50) in human cancer and non-tumor cell lines after incubation for 72 h
Na[RuCl2(N-Ph-5-Cl-salim)2] IC50 (μM) Cell lines |
||||
CFPAC-1 |
HEp-G2 |
SW620 |
HeLa |
WI38 |
54,7 |
97,6 |
75,1 |
55,5 |
>100 |
Table 2: Cytotoxicity of Na[RuCl2(N-Ph-5-Cl-salim)2] based on 50% lethal concentrations (LC50) in human cancer and non-tumor cell lines after incubation for 72 h
Na[RuCl2(N-Ph-5-Cl-salim)2] LC50 (μM) Cell lines |
||||
CFPAC-1 |
HEp-G2 |
SW620 |
HeLa |
WI38 |
>100 |
>100 |
>100 |
>100 |
>100 |
Fig. 2-3. show the percentages of growth SW620 cell lines and nontumoral control Wi38 versus concentration of Ru complex.

Fig. 2: The growth of SW620 tumor cells vs concentration of Na[RuCl2(N-Ph-5-Cl-salim)2]

Fig. 3: The growth of Wi38 cells vs concentration of Na[RuCl2(N-Ph-5-Cl-salim)2]
DISCUSSION
Ruthenium compounds attract attention of scientists during recent decades, due to their biological activities, especially anticancer properties. In fact the role of metal ions in biologically active compounds is not entirely clear and never scientifically proved. It is believed that in organometallic compounds, with direct metal-carbon bond, the fundamental role of metal ions is spatial arrangement and orientation of ligands that is important in drug activity. In the complex compounds, such as NAMI-A [ImidazoleH] trans-[RuCl4(dmso-S)(imidazole)], with easily leaving ligands that could be responsible for the activation by hydrolysis, the metal ion has a substantial impact on the overall activity of the compound, the rate of ligands substitution and the general stability of the compound in the solution. In such cases, the replacement of a metal with the other, in the same environment of ligands, can cause significant changes in biological activity. Ruthenium complexes with Schiff bases are described as compounds with significant biological activity, acting as anticancer, antiviral and antimicrobial agents. Na[RuCl2(N-Ph-5-Cl-salim)2] demonstrated the activity to bind DNA which is considered one of the key targets in the antitumor activity of drugs.
The binding constant to CT DNA indicated the moderate binding ability, either by intercalation or by external binding in the major groove of DNA [5]. From the series of Ru(III) compounds with Schiff bases derived from salicylaldehyde, synthesized in our laboratory for the first time [3], the titled complex is the first compound whose antiproliferative properties were tested in vitro. Antiproliferative screening of Na[RuCl2(N-Ph-5-Cl-salim)2] on selected tumor lines showed effect on the growth of tested tumor cells. Cytotoxicity was estimated on the basis of cell growth inhibition IC50, and lethal concentration LC50 in treated cultures versus untreated controls. Cytotoxicity of this complex is moderate with IC50 values in the range 55,5 μM for HeLa to 97,6 μM for Hep-G2.
The most important, Na[RuCl2(N-Ph-5-Cl-salim)2] demonstrated selectivity towards SW620 cells, colorectal adenocarcinoma metastatic cells, with significant cytotoxicity (Fig. 2). Under the same condition, Na[RuCl2(N-Ph-5-Cl-salim)2] was significantly less cytotoxic to nontumoral cells (immortalized fibroblasts WI38 lung) with IC50 value above 100 μM. Generally, platinum- and ruthenium-based anticancer agents differ in cytotoxicity, selectivity and harmfulness of side effects. Platinum anticancer agents which are in clinical use have high cytotoxicity (low IC50 values), but significant side effects. In contrast, ruthenium complexes in the clinical trials, such as NAMI-A or RAPTA (organometallic ruthenium(II) arene complexes), have lower cytotoxicity in vitro compared to platinum drugs, at the same time showing improved activity in vivo [7-8]. RAPTA complexes indeed exhibit negligible direct cellular cytotoxicity in vitro [9]. Basically, ruthenium - based anticancer compound exhibit greater selectivity compared to platinum drugs. In that light, the perspective of Na[RuCl2(N-Ph-5-Cl-salim)2]could be further considered, especially its selectivity towards SW620. For colorectal adenocarcinoma metastatic cells, the metal-based drug of choice in use is oxaliplatin with IC50 about 2,8 μM, while cisplatin showed less citotoxicity with IC50 around 13 μM [10]. Among the ruthenium compounds, Keppler's ICR (bis-imidazol tetrachloro ruthenate) showed activity for autochthonous colorectal cancers but with no antimetastatic activity [11].
The major problem in the fight against cancer are metastases, therefore the significance of drugs that have the ability to reduce or kill metastatic lesions is essential. For now, only NAMI-A has sufficient selectivity and high efficiency against metastases (in the case of lung) in vivo not correlating with direct tumor cell cytotoxicity in vitro [12]. Although the cytotoxicity of Na[RuCl2(N-Ph-5-Cl-salim)2] is weak – moderate, the selectivity towards metastatic cells SW620, and substantially less cytotoxicity toward nontumoral cells at the same time, may be promising for further research of Schiff base-based ruthenium complexes. According to the unique strategy, advanced anticancer drug needs to meet great selectivity and cytotoxicity against cancer cells, at the same time the lowest cytotoxicity to nontumoral cells and negligible side effect. In this light, the difference in activity against the tested cancer cells, particularly SW620 and control cells suggests further examination of this class of compounds, especially in the light of structure – cytotoxic activity relationships.
CONCLUSION
The titled anionic complex species, dichloro-bis[N-phenyl-5-chloro-salicylideneiminato-N,O]ruthenate(III), although with weak - moderate antiproliferative effect in vitro, and substantially inhibition cell growth only for the highest tested concentration (100 µM) for several tumor cell lines, showed selectivity to the metastatic lesion of the primary colon tumor (SW620 cells). Under the same conditions, the compound has low citotoxicity to nontumoral control cell line which recommend this compound, and other structurally similar Ru(III) complexes with Schiff bases, for further research.
ACKNOWLEDGEMENTS
This work was supported by Federal Ministry of Education and Science, Bosnia and Herzegovina, Project No.05-39-4390-1/13, through author from Faculty of Science at University of Sarajevo.
CONFLICT OF INTERESTS
The authors confirm this paper content has no conflict of interest.
REFERENCES