1Faculty of Pharmacy, Hellwan Universty, 2Faculty of Pharmacy, October 6 University.
Email: tareksaadmakram@yahoo.com
Received: 24 Oct 2014 Revised and Accepted: 25 Nov 2014
ABSTRACT
Objective: Medroxy progesterone acetate (MPA) is structurally related to progesterone it is given by mouth or by intramuscular (IM) as a contraceptive in an aqueous suspension injection. It was reported that the MPA suspension was chemically and physically unstable due to a reaction between the different excipients. Evaluate the effect of different antioxidants as L-cysteine, ascorbic acid, sodium metabisulfate and D-L methionine (DLM) on the stability of MPA in suspension formula, as well as comparative studies was conducted to evaluate the most promising formula with the marketed product. On the other hand, the thermal and photo-stability study for the selected formula was done to determine the conditions of storage on the product formula.
Methods: Four preparations were prepared by adding either DLM (0.15 gm %), ascorbic acid (0.03 gm %), sodium metabisulfate (SMBS) (0.25 gm) or combination of SMBS with ascorbic acid as an antioxidant, all ingredients we mixed together using (Heidolph) homogenize
Results: Indicate that, the formula contains 0.3 gm of polysorbate 80, PVP, paraben ester and 0.13 gm % phosphate buffer with DLM or ascorbic acid as an antioxidant revealed acceptable pH stability which was studied by FT-IR, X-ray diffraction and particle size analysis.
Conclusion: Formula with DLM (F-DLM) showed good rheological behavior. Thermal degradation of the suspension formula with ascorbic acid (F-ascorbic acid) or DLM revealed acceptable shelf life for more than 4 years for F-DLM and about 2 years for the F-ascorbic acid while the two formulae exhibited dramatic photo degradation under UV lamp of the 3 month study
Keywords: Medroxy progesterone acetate (MPA), L-cysteine, Sodium metabisulfate.
INTRODUCTION
Medroxy progesterone (MP) is structurally related to progesterone it is given as the contraceptive by mouth [1] or for prolonged action, by Intra muscular (IM) injection in an aqueous suspension [2]. It is given at a dose of 150mg every 12 weeks [3, 4] it is considered a suitable contraceptive in women with the condition in whom combined oral contraceptive should be avoided [5, 6].
Some references are cited for the use of (MPA) in advanced breast cancer [7-12].
A pharmaceutical suspension is a coarse dispersion containing finely divided, unstable material suspended in a liquid medium. Suspension is often used to deliver a poorly water soluble drug that cannot be formulated as a solution. The suspended drug must undergo a dissolution step prior to cross biological membranes, there for suspension offers a way to provide sustained release of drugs by parenteral, topical and oral routes of administration.[13]
Injectable suspensions resemble common fracture of suspensions; they differ on that they should be sterile, pyrogens free, stable, representable, syringeable, injectable, isotonic and non-irritating. Because of those requirements injectable suspensions are one of the most difficult dosage forms to develop in terms of their stability, manufacture and use.
They are usually administered by either subcutaneous (SC) or intramuscular (IM) route. It contains between 0.5-5% solids and should have particle size less than 5 µm [14]. The flocculating / suspending agent as typically used in injectable suspension are lecithin, polysorbate 20, 40, 80, pluronic F-68 and Sorbitan trioleate as surfactants, while recently Myristylgamma picolinum chloride as cationic surfactant has the advantages of the multiple function agent as wetting and flocculating agent, antimicrobial agent beside its affinity to form a stable formula [15]. The hydrophilic colloids commonly used as viscosity inducers as sodium carboxy methyl cellulose, acacia gelatin, methyl cellulose and polyvinylpyrrolidone (PVP).
The electrolytes serving as flocculating agents in parental as potassium / sodium chloride, potassium / sodium citrate and potassium / sodium acetate [16]. Hydrophilic colloids (generally negatively charged) didn't only affect the repulsive force, but also provide a mechanical barrier to the particles. For example, a 25% PVP solution is used in combination with 2% polysorbate 80 as stabilizers to provide a stable injectable [16].
There are three types of stability for suspension system: chemical, physical and microbial. Chemical stability occurred because suspension tends to the ultimate loss of stability and occurred in different ways like through the hydrolysis, oxidation or microbial degradation. The soluble part of drug decomposes following first order kinetics, such decomposition can be reduced by modifying factors affecting the reaction like decreasing the temperature and modifying the pH to the pH of maximum stability, addition of antioxidants, replacement of water by other solvent and protection against light [17].
The acquired opportunity for manipulation is still quite limited by the real boundaries of additives intended for parenteral use. The aim of this work was to formulate MPA in parenteral suspension and illustrate the effect of antioxidants on the physicochemical stability of the drug formula.
MATERIALS AND METHODS
Formulation study
The composition of (MPA) suspension formula without antioxidant was shown in Table (1).
Four preparations were prepared by adding either DLM (0.15 gm %), ascorbic acid (0.03 gm %), sodium metabisulfate (SMBS) (0.25 gm) or combination of SMBS with ascorbic acid as an antioxidant, all ingredients we mixed together using (Heidolph) homogenize.
The samples were stored at difficult thermal condition at 60°C for 30 days, 40°C for 120 days and ambient temp for 120 days.
Table 1: The composition of Medroxyprogesterone acetate suspension formula
| Medroxyprogesterone acetate | 15 % |
| Methyl Paraben | 0.18 % |
| Propyl Paraben | 0.02 % |
| Tween 80 | 0.30 % |
| PEG 3350 | 2.88 % |
| Sodium Chloride | 0.88 % |
| PVP K-17 | 0.25 % |
| Buffer system | 0.13 % |
| Antioxidant | Qty required |
| Na OH or HCl for pH to | 0.60 - 0.70 |
| Distilled Water to | 100 ml solution |
The pH change was recorded through the experimental period. All the following parameters were determined through the experimental period for:
Crystalinity of the MPA after formulation
The fresh, pure powder was prepared and packed in container to subject to X-ray diffractometer as a control for standard two selected formulae were prepared by drying the suspension in 40ºC, the thermally dried suspension was poured in a watch glass and handled 12 h` or more till complete drying then subjected to X-ray diffractometer
IR study
The selected formula was subjected to IR spectra at zero time and after 90 days storage at 60ºC and compare with the 2 years age marketed product (Depo-Provera).
Particle size analysis of selected formula and market formula (Depo-Provera)
Three vials of each of the selected formula (F- ascorbic acid), (F- DLM) and marketed pooled were product together to exclude bias. From each 1 ml was taken and diluted to 5 ml solutions. The diluted suspension, then was included to the Master Sizer (laser diffraction).
Rheograms of selected formula and marketed product
The viscosity and flow properties of the selected properties were studied by Brookfield Viscometer, 10 ml of forming the suspension was subjected to different shear rates. The different shear stresses corresponding to shear rates were recorded and represented using computer software.
Accelerated stability studies
Photo degradation
The product was kept under a UV lamp and studied for medroxy progesterone breakdown through three months. Samples were evaluated at 0, 45 and 90 days where they diluted to 300µg/ml of methanol. The drug remained was calculated by the HPLC validated method. Sample prepared by dissolving one vial of 150 mg labeled MPA in methanol solvent, mix for 15 minutes in an ultrasonic sonicator, replicate for 3 vials and pooled together. Take 25 ml of the pooled solution and complete to 50 ml to achieve the cone. 3000µg/ ml, finally add 9 ml solvent to 1 ml of the solution prepared
RESULTS AND DISCUSSION
Table (2) showed the change in pH for the formulae with different antioxidant, the formula containing sodium metabisufite (SMBS) as antioxidant alone and with combination with ascorbic acid was exhibiting drop in pH. This may be due to the acidic product resulted for antioxidant beside the already acidic product resulted in the excipients reaction, at which the ascorbic acid alone, have a buffering capacity [18, 19].
Table 2: Changes in pH for different formulae with different antioxidant
| Temperature | 60 C | 40 C | Ambient | |
| Time | Zero | 30 days | 4 mon | 4 mon |
| Formula contents | pH | |||
| F- with ASC. Acid | 6.4 | 6.06 | 5.6 | 5.68 |
| F- with DLM | 6.62 | 6.06 | 6.3 | 6.45 |
| F- with ASC. Acid + SMBS | 5.84 | 1.82 | 2.15 | 2 |
| F- with SMBS | 5.73 | 1.88 | 1.9 | 2.1 |
Table (3) was representing the change of pH value in 3 thermal conditions as at temp. 40, 50, 60°C for two formulas comprised of the F with either ascorbic acid or DLM as attentive antioxidants. The pH change in the formula (F) with ascorbic acid exhibited pH drop from 5.8 to 4.69 and 4.63 at 40°c for 120 days (4 months).
These pH changes were within acceptable range of pH required for parenteral injection, also the pH shift which was occurring at 60°c for 90 days was markedly different when compared with the other condition (from 5.8 to 3.46).
On the other hand, the changes that occurred in formula containing DLM was substantially stable were compared with that reported for formula contains ascorbic acid.
Table 3: Change in pH, for F containing either Ascorbic Acid, or DLM as an antioxidants
| Temperature | 60 C | 40 C | Ambient | |
| Time | Zero | 90 days | 120 days | 120 days |
| Formula contents | pH | |||
| F with ASC. Acid | 5.8 | 3.43 | 4.63 | 4.69 |
| F with DLM | 6.4 | 5.84 | 6.24 | 6.25 |
Fig. (1) showed the x- ray diffraction pathos for the MPA powder and MPA-ascorbic acid formula and MPA-DLM formula and marketed product (Depo-Provera). The distinctive peaks indicate high crystalinity in both formulas. The marketed product also showed high crystalline state indicating the intrinsic resistance of the drug against solvation and amorphous formulation. The effect of solid dispersion, which sometimes leads to decrease in intensity and brooder peaks indicating formation of amorphous form was not reported [20].
F- with DLM exhibited more crystalinity when compassed with other formula and authentic pattern. This may attributed to increase in polysabate efficiency in the dispersed formula and thus by decreasing polysabate oxidation and minimize its affinity to interact with other constituents like PEG-3350 and parben esters.
Fig. 1: X-ray diffraction patterns of (1) MPA, (2) F with ascorbic acid, (3) F with DLM and (4) Depo-Pravera (Market formula





Fig. 2: Infra red chromatogram for Medroxyprogesterone Acetate as (A) micronized powder, (B) with Ascorbic acid physical dispersion, (C) with D-L Methionine physical dispersion, (D) after more than 2 years marketing and (E) after 3 months at 60°C thermal condition
The micronized powder of MPA showed peaks at 2947.2 cm-1, 2908.65 cm-1, 2870 cm-1 and 2843.07 cm-1 for CH aliphatic and peaks at 1732.08 cm-1 and 1674.21 for carbonyl group C=0. Numerous peaks between 1250 and 500 cm-1 representing the finger print of the compound.
The two formulas of MPA with either ascorbic acid or DLM showed some peaks of micronized powder of MPA indicating stability and compatibility of MPA with the other excipients added to formula after 90 days at 60°C. The suspension formula with ascorbic acid showed no change in the characteristic peaks compared with micronized MPA and formula at zero time indicating stability of the drug under accelerated conditions. Also the marketed product showed typical and identical peaks when compared to other spectroscopy confirming the proper stability of the drug with other additives on suspension product.
The particle size analysis of MPA formula and marketed product (Depo-Provera) by master seizer were represented in fig. (3) the two formula showed identical results and the curves of distribution were both bimodal as 5.76 µm3 and 5.74 µm3 as the largest modes and 0.34 µm3 and 0.32 µm3 as smallest modes for both formula, the presence of symmetry in the two curves of distribution confirms the invariable continuous medium, some ages of the suspension at the same conditions of the storage (three month at ambient temp.) And the same mixing condition (2000 RPM for 15 min by Stuart mixer).



Fig. 3: Particle size distribution curve for formula F- with (A) ascorbic acid stored for 90 days at ambient temperature, (B) F with D-L methionine stored for 90 days at ambient temperature and (C) marketed product (Depo-Provera)
Also, both selected formula and Depo-Provera showed platy courtesies as volume moment distribution and leptokurtic size distribution for the other moment leptokurtic.
The span in both formulas were 7.8 and 8.85 (with Ascorbic acid and DLM respectively) indicating wide dispersion of particles, whereas, the marketed product showed a less degree of particle dispersion and they may be due to the PVP action as a viscosity inducer (1.658).


Fig. 4: Rheogram of (A) formula F with DLM suspension, (B) marketed Depo-Provera
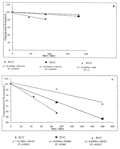
Fig. 5: Stability of MPA formula with (A) ascorbic acid after storage at 40°C, 50°C, and 60°C (B) D-L Metionine after storage at 40°C, 50°C, and 60°C
Rheogram of F- containing DLM and Depo-Provera was shown in fig. (4). The rheograms exhibited a typical plastic flow with Bingham body's appearance (184). The data obtained by plotting three ascending points were: (DLM slop = 6.88 and yield value = 14.4) whereas (Depo-Provera slop = 23.68 and yield value = 8.37) the data indicating low viscosity of (F) in spite of PVP comprised and high viscosity of the marketed product which is calculated from the reciprocal of slopes multiplied to a constant value related to the Viscometer. These may be attributed to the particle growth through the long time of storage, handling, which might cause friction of the particles. The linearity of the curves which calculated as (r2) showed good fluidity for F-DLM against market formula which may be due to the particles growth and deformity of the particle shape. High yield value exhibited by F-DLM indicates ability to flocculation compare Depo-Provera, the fact, that confirmed by the sedimentation value of F- DLM against market product.
The two formulae be subjected to accelerated thermal stability study under different thermal condition as 40, 50, 60°C. The remained concentration % percent versus time graph is represented in fig. (5) Showed zero kinetic relationship due to the suspension nature and the constant value available for degradation as a saturated intrinsic stability in the aqueous media [21, 22]
Fig. 6: Arrhenius plot of F with (A) Ascorbic acid (B) DLM
The slopes obtained represent the rate constant for the degradation for each of the labeled temperature. (Arrhenius plot of log) (Fig. 6)

Fig. 7: t90 vs. Reciprocal of the absolute temperature (1/T) multiplied by 1000
Table 4: Comparison between MPA suspension containing (a) D-L Methionine (b) ascorbic acid and (c) the marketed product (Depo-Provera)
| Process condition | Control | F- with DLM | F- with As. Acid | Depo-Provera |
| Span | 2.795 | 8.853 | 7.868 | 1.658 |
| Mean volume | 2.9 µm3 | 1.85 µm3 | 1.98 µm3 | 4.66 µm3 |
| Volume SD | 2.394 | 2.06 | 2.119 | 3.234 |
| Skewness | 5233 | 0.9714 | 0.8697 | -0.0451 |
| Kurtosis | -1.12 | -0.68 | -0.8944 | -1.5238 |
| 10%DP | 0.33 µm3 | 0.2 µm3 | 0.21 µm3 | 0.41 µm3 |
| 20%DP | 0.54 µm3 | 0.27 µm3 | 0.28 µm3 | 0.77 µm3 |
| 50%DP | 2.25 µm3 | 0.6 µm3 | 0.69 µm3 | 5.04 µm3 |
| 80%DP | 5.49 µm3 | 4.31 µm3 | 4.62 µm3 | 8.11 µm3 |
| 90%DP | 6.63 µm3 | 5.49 µm3 | 5.62 µm3 | 8.78 µm3 |
| Mode 1 | 6.83 µm3 | 5.74 µm3 | 5.76 µm3 | 8.51 µm3 |
| Mode 2 | 0.63 µm3 | 0.32 µm3 | 0.34 µm3 | 0.61 µm3 |
| Spec. S. A | 6.63 µm3 | 12.6 µm3 | 11.74 µm3 | 4.8 µm3 |
Table (4) showed the different rates of degradation calculated for F- ascorbic acid and F- DLM, Arrhenius plot of log K versus the reciprocal of T (1/T) according to Arrhenius' equation Log=log (A) – Ea / 2.303KT
Where K is the rate constant obtained when the absolute temp was T, A is the frequency factor, Ea is the activation energy and K is the ideal gas constant (Table 4).
Fig. (6) represent thermal degradation occurred for F-ascorbic or F-DLM, the plot showed a linear relation of an equation (Log K + 2) = -2.35 (1/T X 103) + 8.1233, slop value (-2.35) is represented (Ea/2.303K) where Ea is the activation energies per calories required for MPA to start breakdown process. The t90 could be calculated from the data in fig. (7). The approximated shelf life of F- DLM for the data was 4.2 years, indicating acceptable stability, whereas, the calculated t90 for F- ascorbic acid was less than 2.15 years. The MPA powder is reported officially as a photosensitive material [23, 24] table (5) and fig (7) clarify this fact quantitatively and qualitatively. The photo-degradation was obeying a typical zero order. After three months under a UV lamp of 350 volts, the product suspension of MPA exhibited dramatic degradation from 98.5% content to 60% of the 150mg MPA suspension as formulation with either ascorbic acid or DLM as antioxidants.
Table 5: The AUP for MPA two formulae under UV lamp 350 volt
| Formula | F- with Ascorbic Acid | F- with DLM |
| AUP after | ||
| 0.00 time | 1.1 | 1.09 |
| 45 days | 0.9 | 0.95 |
| 90 days | 0.66 | 0.67 |
CONCLUSION
Modroxy progesterone acetate was formulated in suspension formula contain tween 80 as a wetting agent showed a good performance in suspension from the PVP included in the formula resist both crystal aggregation and friction leading to excellent rheological feature. The formula with different antioxidants showed a drop in pH of SMBS alone, and SMBS with ascorbic acid, while being stable with DLM or ascorbic acid. The shelf life (t90) was exceeding 4 years for suspension product of MPA containing DLM and less than 2 years for formulas containing ascorbic acid. On the other hand the suspension formulae of MPA containing DLM or ascorbic acid showed photo-degradation obeyed a typical zero-order kinetics.
CONFLICT OF INTERESTS
Declared None
REFERENCES