1Department of Biochemistry, V. S. Lakshmi Women’s Degree & P. G. College, Kakinada, 2Department of Organic Chemistry, V. S. Lakshmi Women’s Degree & P. G. College, Kakinada, 3Department of Botany and Microbiology, Acharya Nagarjuna University, Guntur.
Email: nshariefmd@gmail.com
Received: 27 Oct 2014 Revised and Accepted: 25 Nov 2014
ABSTRACT
Objective: The antibacterial principle of Avicennia marina L stem extract was determined by agar well diffusion method followed by GC-MS,1H NMR and 13C NMR.
Methods: Methanol was used as the solvent for the isolation of bioactive principle from the stem of Avicennia marina L. Agar well diffusion method was used to screen the antibacterial activity and FRAP method was employed to determine the antioxidant activity for raw and crude extract as well as the purified compound. GC-MS followed by 1H NMR and 13C NMR were used to elucidate the compound responsible for the antibacterial and antioxidant activity.
Results: The degree of antioxidant and antibacterial activity differs between raw extract, crude extract and the pure compound. The antioxidant activity is more crude extract (p<0.05) and the antibacterial activity is more of pure compound (p<0.05) than the standard antibiotic gentamicin. GC-MS followed by 1H NMR and 13C NMR revealed that the compound is 2-propenoicacid, 3-(4-hydroxy-3-methoxyphenyl)- also called ferulic acid.
Conclusion: The stem extract in methanol shows potential antibacterial and antioxidant activity. It is due to presence of ferulic acid in methanol extract in 14th fraction.
Keywords: Avicennia marina Stem, Methanol, 2-propenoicacid, 3-(4-hydroxy-3-methoxyphenyl)- Antibacterial activity.
INTRODUCTION
The use of plant and plant products for therapeutic use is known since time immemorial. Plants produce diverse secondary metabolites under different stressed conditions, with a prominent function in protection against microbial attack.[1] High concentration of secondary metabolites might result in more resistant plant and these secondary metabolites are acting either as phytoanticipins or phytoalexins [2]. Mangroves are perennial plants that grow in coastal regions of tropical regions. Mangrove plant products have been used for centuries in natural remedies in the treatment of several health disorders. Antibacterial activity of Avicennia marina has earlier been reported in various solvents but characterization of the compound is untouched. The present study was under-taken with an aim of characterization of the bioactive entity responsible for antibacterial and antioxidant activity in stem extract of Avicennia marina in methanol. The methanolic extract is further purified by column chromatography. The bioactive principle responsible for the antibacterial and antioxidant activity is identified with the aid of GC-MS analysis 1H NMR and 13C NMR.
MATERIALS AND METHODS
Collection of plant samples
The stem of Avicennia marina was collected from Corangi Reserve Forest, Kakinada, East Godavari, Andhra Pradesh, India. Geographic location - between 16o 39’ N longitude - 17o N longitude and 82o 14’ E latitude - 82o23’E latitude. The plant part was transported to the laboratory in sterile polythene bags. The entire stem part was surface sterilized with 1% mercuric chloride solution and thoroughly washed with filtered sterilized distill water.
A) Raw extract
Raw extract of the stem was prepared with mixer grinder. Approximately 50 grams of the plant material was Mashed in a grinder for about 10 minutes with 10 ml of sterile water [3]. The stem homogenate was filtered through cheese cloth. The filtrate was screened for antibacterial and antioxidant activity.
B) Crude extract
Thoroughly washed stem parts were then chopped into small pieces and shade dried until they were suitable for extraction in the selected solvent. Plant extract in methanol is prepared according to the standard protocol [4]. The extract was further concentrated by solvent evaporation using thin film method.
Dried stem extract of 100mg was dissolved in 10 ml of 1:10 diluted DMSO in sterile distilled water so as to obtain the final concentration of 10mg/ml [5]. All the extracts thus prepared were stored in a refrigerator at 4oC for further use.
Determination of antibacterial activity
Antibacterial activity of Avicennia marina stem (raw extract and crude extraction in methanol) was determined using standard agar well diffusion method [6]. The bacterial strains used in our study were Enterobacter cloacae MTCC 7408, Proteus vulgaris MTCC 426, Bacillus cereus MTCC 430 and Enterococcus faecalis MTCC 9845. The diameters of the inhibition zones were measured and their means were calculated. DMSO in water was taken as control. The zones were compared with that standard antibiotic Gentamicin (0.1mg/100 µl).
Determination of antioxidant activity by FRAP method
The FRAP assay was carried out by Benzie and Strain method with some modifications [7]. The FRAP method (Ferric Reducing Antioxidant Power) is based on the reduction of complexes of 2,4,6-tripyridyl-s-triazine (TPTZ) with ferric chloride,
Reagent preparation
FRAP reagent was prepared freshly by mixing 25 ml of acetate buffer (pH 3.6) with 2.5 ml of 10 mM 2,4,6 tripyridyl triazine (TPTZ) and 2.5 ml of 20 mM Ferric chloride solution. The reagent was stored at 37 oC before use.
Procedure
Exactly 300 μL of the stem extract(100mg/1000 μL) was dispensed into 2700 μL of the freshly prepared FRAP reagent and incubated at 37 oC for 30 minutes. The absorbance was recorded at 593 nm against a reagent blank. Standard curve was prepared with 100 μM FeSo4 solution. All determinations were done in triplicates and expressed as μM Fe2+equivalents per 100 gram of the sample.
Fractionation
The stem extract in methanol was separated by column chromatography with silica gel (100-200 mesh) and eluted with acetone and methanol (9:1 to 1:9) followed by ethanol and methanol (9:1 to 1:9). Altogether 20 fractions were collected and every fraction was screened for the antibacterial activity and antioxidant activity. The 14th fraction was subjected to further studies.
1H-NMR, 13C-NMR: The 1H-NMR, 13C-NMR technique was carried at Laila impex R & D centre, Vijayawada, Andhra Pradesh. This technique was used to identify the bioactive principle present in the extract responsible for the antibacterial and antioxidant activity. Spectra were run on Bruker spectrometers operating at 400MHz For 1xtractthe reference it should be like 13CH NMR and 100 MHz for 13C NMR The chemical shifts were given in ppm (δ) and coupling constant were expressed in Hertz.
GC-MS analysis
The GC-MS technique was carried at Lucid Laboratory, Hyderabad, Andhra Pradesh. GC-MS analysis of the samples was carried out using Shimadzu make QP-2010 with non polar 60 M RTX 5MS column. Helium was used as carrier gas. Exactly 2μL of the sample was injected with split less mode.
Mass spectra was recorded over 35-650 amu range with electron impact ionization energy 70eV. The chemical components from the methanolic extracts of the plant were identified by comparing the retention times of chromatographic peaks using Quadra pole detector with NIST Library.
Statistics
Results were expressed as mean ± SD and the data were analyzed using one-way analysis of variance (ANOVA) to discover the significant difference at the 5% (P<0.05)level.
RESULTS
Antioxidant activity
Free radicals are known to play a definite role in a wide variety of pathological symptoms. Antioxidants fight against free radicals and protect us from various diseases. Several techniques have been used to determine the antioxidant activity. In our study, the antioxidant activity of the fractions was estimated spectrophotmetrically by FRAP method and the data is given in fig-1. The outcome of antioxidant activity by FRAP method is high for raw extract followed by crude and pure extracts. These results correlate with the amount of secondary metabolites present in the raw, crude and pure compound of the Avicennia marina stem.

Fig. 1: Antioxidant activity of Avicennia marina by FRAP method
Antibacterial activity: Mangrove and mangrove associates are rich in secondary metabolites such as alkaloids, flavonoids, glycosides, terpenoids, saponins and steroids. They possess diverse medicinal values [8]. They are also generously gifted with polyphenolic compounds that help to find the oxidative stress by acting as potent antioxidants [9]. In the present study we have evaluated the antibacterial activity of Avicennia marina stem by raw extract, crude extract and the purified pure compounds.
The results are displayed in fig-2. Proteus vulgaris is resistant to all (raw extract, crude extract and pure compound). The inhibitory effect of raw extract is high on gram negative culture than gram positive culture. Where as the efficacy of crude extract and pure compound is more on gram positive test cultures than on gram negative test culture.
The efficacy of the pure compound is higher than gentamicin on all the test cultures used. Where as the raw extract exhibited higher zone of inhibition (17.33 mm) with Enterobacter cloacae than gentamicin (15.66 mm)

Fig. 2: Antibacterial activity of Avicennia marina extracts in comparison with gentamicin
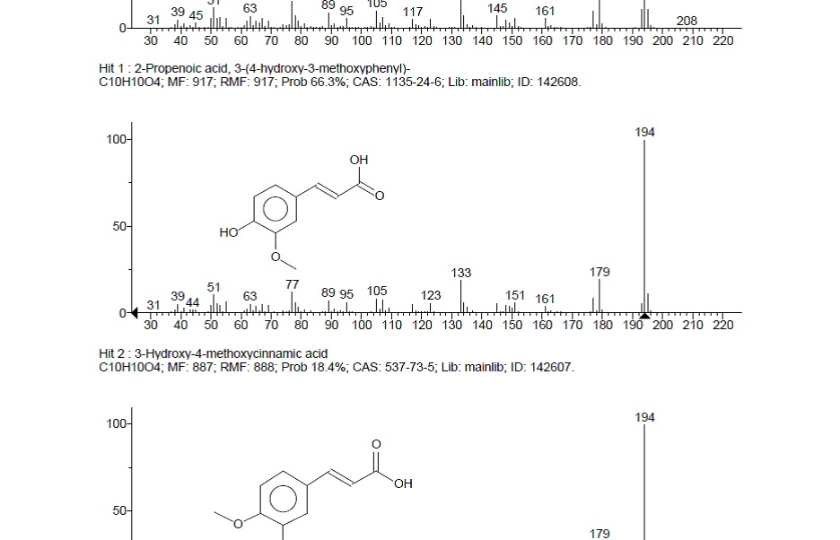
Avicennia marina stem extract in methanol was purified on column chromatography with acetone-methanol and ethanol-methanol as developing solvent system. By the GC-MS the bioactive compounds were identified. The compound was recognized based on the mass spectrum, peak areas, molecular weight and molecular formula of the GC-MS using the database of the National Institute Standard and Technology (NIST). The compound was identified as 2-propenoicacid, 3-(4-hydroxy-3-methoxyphenyl)- also called ferulic acid. Displayed in fig-3

Fig. 3: GC-MS Chromatogram of purified fraction of Avicennia marina extract in methanol
The compound was obtained in the form of white crystals. Its molecular formula was determined to be C10 H10 O4 and molecular weight 194. The C NMR spectrum led to the confirmation that this compound has 10 carbon atoms with the following chemical shifts.
C1 (δ 131 s), C2 (δ 114 d), C3 (δ 145 s), C4(δ 138 s) C5 (δ 116 d), C6 (δ 121 d), C7(δ 132 d), C8(δ 127 d) C9 (δ 166-181 s), C10 (δ 56 q) and H-NMR proton a (δ 12.5s), proton b (δ 6.45 d), proton c (δ 7. 8 d), proton d (δ 3.7 s), proton e (δ 5.5 s), proton f (δ 6.87s), proton g (δ 6.87 d) and proton h (δ 6.87 d) This compound 4-hydroxy-3-methoxy-cinnamic acid also be called as ferulic acid which is seen in many plants and holds antioxidant and antibacterial activity represented in fig. 4

Fig. 4: Structure of ferulic acid
DISCUSSION
Plants serve as a reservoir of effective chemotheraputants and provide valuable sources of natural products in control of metabolic disorders and microbial diseases.
The screening of plant extracts and plant products for antimicrobial activity has shown that higher plants represent a potential source of novel antibiotic prototypes such as alkaloids, flavonoids, glycosides, terpenoids, tannins, polyphenols and saponins[10] Several screening studies have been carried out in different parts of the world that include the phytochemical studies of different plant parts for the existence of secondary metabolites and screening for the antioxidant and antibacterial activity. The antibacterial activity of the leaves of Avicennia marina extracts could be due to presence of alkaloids, flavonoids, phenolics, saponins and tannins [11].
Sharief et. al [12] reported that the stem extracts in acetone, ethyl acetate, methanol and ethanol are having bioactive principle responsible for antioxidant and antibacterial activity against gram positive and gram negative test cultures. Among all the solvents methanol exhibited the higher degree of inhibitory action.
In the present study, we have established the antibacterial activity of the stem extracts in methanol with Enterobacter cloacae, Proteus vulgaris, Bacillus cereus and Enterococcus faecalis, by an agar well diffusion method. Initially we screened the antibacterial activity for the raw extract of Avicennia marina stem followed by the stem infusions in methanol. Later we separated the methanol infusion and got 20 fractions. The 14th fraction showed the higher degree of inhibitory action against the test cultures.
Hence, we concentrated our study on the 14th fraction to know the key bioactive principles responsible for the antibacterial activity. From the 1H and 13C NMR, as well as the GC-MS analysis it is concluded that the active principles in the extracts is 4-hydroxy-3-methoxy-cinnamicacid i. e., ferulic acid.
Ferulic acid (4-hydroxy-3-methoxycinnamic acid) is pervasive in the plant world synthesized from phenyl alanine amino acid metabolism. It is a potent antioxidant known to provide photoprotection to the skin when it is incorporated into cosmetic lotions, sunscreens, and other skin care products [13]. Roman et. al [14] studied the antimicrobial and antioxidant activities of phenolic acids alkyl esters and reported that ferulic acid and its derivatives were having antimicrobial activity. Our results are in agreement with their work. Xylella fastidiosa a gram negative phytopathogen is effectively inhibited by the phenolic acid and its derivatives [15]. The out come of our work is following the same trend reported earlier. Alves et. al [16] studied the structure-activity relationship (SAR) and molecular docking on the phenolic compounds isolated from mushrooms. The take over point from their work is that cinnamic acid derivatives revealed higher antibacterial activity against gram positive test organisms than gram negative. Ferulic acid is also called 4-hydroxy-3-methoxy-cinnamic acid.
Vinod Prabhu and C. Guruvayoorappan [17] studied the methanolic extract of Avicennia marina whole plant and confirmed the presence of erythro-guaiacylglycerol-β-ferulic acid ether. Sun Yu et. al[18] also reported the erythro-guaiacylglycerol-β-ferulic acid ether from the mangrove plant Avicennia marina based on 1H and [13]C NMR data, Our results are in coincidence with their work. For the first time ferulic acid is reported in Avicennia marina stem extract in methanol. The inhibitory effect of raw extract differs from that of the crude and pure compound. The raw extracts have higher zone of inhibition for gram negative bacteria than gram positive bacteria. This could be due to variation in the cell wall composition of Gram negative and Gram positive bacteria. The inhibitory effect of the pure compound is higher than gentamicin on all the test cultures used. Among them the zone size of 19.33 mm is shown towards the Bacillus cereus and Enterococcus faecalis and the zone size for Enterobacter cloacae is 16.33 mm. Proteus vulgaris is resistant to raw and crude extract as well pure compound. This may due to the fact that Gram negative bacteria restrict the influx of many antibiotics [19]. Multidrug efflux pumps at the transmembrane are also responsible for a higher intrinsic resistance in Gram negative bacteria [20].
The purified compound does not have inhibitory effect on Proteus vulgaris. Where as, the zone of inhibition exhibited on the other test cultures are higher than the crude extract and gentamicin. So, we robustly recommend the Avicennia marina stem for consideration as a valuable source for the isolation and identification of bioactive principle with different solvents and also screen for action against other pathogenic microorganisms. Finally there is a need to explore mangrove plants towards the development of novel medicines in order to combat the diseases caused by the microorganisms.
ACKNOWLEDGEMENT
The first author Mr. N. Sharief Mohammad, would like to express heart full thanks to the Bethapudi Prasad babu for his financial assistance and all the support staff of V. S. Lakshmi Women’s P. G. College, Kakinada. Thanks are also due to the Director, P. G. Courses Dr. A. Srinivasulu of V. S. Lakshmi Women’s P. G. College, Kakinada.
CONFLICT OF INTERESTS
Declared None
REFERENCES