School of Chemical and Biotechnology. SASTRA University, Thanjavur, Tamil Nadu, India.
Email: ginokurian@hotmail.com
Received: 30 Oct 2014 Revised and Accepted: 20 Nov 2014
ABSTRACT
Objectives: Hydrogen sulphide (H2S) has a protective effect against renal ischemia reperfusion injury (I/R), but it is toxic and have the limitation for its controlled in-vivo release to the system. However, its metabolite thiosulfate can release low amounts of H2S, is non toxic and clinically approved drug for end renal failure, cyanide toxicity and calcific nephrolithiasis, and may possess anti-ischemic reperfusion effect. The objective of this study was to determine the anti ischemia reperfusion (I/R) effect of sodium thiosulfate (STS).
Methods: I/R was induced in LLC PK1 renal tubular epithelial cells by reversibly treatment of cells with glucose oxidase (3 mM/s) and catalase (998/s) in a glucose deprived media. STS was administered to the cells as pre-treated, preconditioned or post conditioned drug.
Results: Pre-treatment of LLC PK1 cells with STS protects the cells from I/R injury but not, when the cells were preconditioned or post conditioned with STS, examined through cell viability tests like sulforhodamine B, crystal violet and LDH activity. Propargylglycine the endogenous H2S biosynthetic inhibitor treatment to the cells did not negate the renal protection mediated by STS pre-treatment indicate the possible release of H2S.
Conclusion: This study indicates that STS plays a protective role in I/R induced renal injury when they were administered as pre-treated drug by modulating H2S metabolism.
Keywords: Renal ischemia reperfusion injury, Sodium thiosulfate, Hydrogen sulfide, DL-Propargyl glycine, Cell viability tests.
INTRODUCTION
Ischemia-reperfusion injury is a complex phenomenon often encountered in surgical procedures in different organs like heart [1, 2], kidney, brain, liver, lungs etc. Kidney transplantation or surgery predisposes ischemia reperfusion (I/R) injury, one of the major causes of acute renal failure [3], associated with high mortality rates of about 50% in the intensive care unit [4]. It is resulted from a generalized or localized impairment of oxygen and nutrient delivery to the cells of the kidney, manifested by decreased glomerular filtration rate and high renal vascular resistance with endothelial activation and dysfunction [5].
Therapeutic approaches like pre/post conditioning have been showing promise in preclinical experimental I/R models [6] but have not reduced the mortality seen in bed studies associated with ARF [7]. Several interesting and promising novel agents and research specifications are emerging from the study of I/R injury in other organs and tissues. One of the most promising molecules is hydrogen sulfide (H2S), known as third gaseotransmitter with multiple physiological and pathophysiological actions [8, 9]. Recently, it had been shown that H2S can reduce IR injury and proved to be cardio-protective against I/R [10-12]. Evidences from the previous reports suggest that H2S is protective against renal I/R injury when administered as exogenous or endogenous agent [13].
However, the progress in this field of research is hampered by the unknown exact H2S concentrations in various samples due to the lack of suitable, accurate method for gathering such information. Another important aspect is the absence of specific inhibitors of H2S synthetic pathways and stable H2S donors [14]. This paved the way to search for an alternative that has a similar biological efficiency as H2S.
Sodium thiosulfate, the immediate metabolite of H2S, used as a therapeutic agent in different clinical situations. Thiosulfate is reported to be a potent free radical scavenger and can chelate calcium ions [15]. For cyanide toxicity treatment [16], and in cisplatin based cancer therapies, thiosulfate is used as a drug [15]. Thiosulfate has multiple application such as preservative, food supplement and even as a drug with antifungal medications. Recently Sen and his co-workers showed that sodium thiosulfate can modulate H2S production endogenous and thereby render cardio-protective in chronic heart failure [17]. However, its role in preventing/ameliorating renal ischemia reperfusion is not being determined. It is well known that patho-physiological ischemia environment in heart and kidney are different, thus the therapeutic molecule that works better with one type organ may/not efficient in another organ system. The present study focused to evaluate the efficacy of sodium thiosulfate as a renal anti ischemic reperfusion agent.
MATERIALS AND METHODS
Cell culture
LLC-PK1, derived from the renal epithelial cells of Hampshire pigs PK1 (NCCS, Pune, India) was grown in Dulbecco’s modified Eagle’s medium (DMEM, Invitrogen, USA) supplemented with 10% fetal calf serum, 50µg/ml streptomycin, and 50 U/ml penicillin at 37°C in a CO2 incubator (95% air, 5% CO2), and then, 0.5% (w/v) trypsin was used to detach the cells from the flasks. The cells were subsequently centrifuged, re-suspended in DMEM, and sub-cultured in 75 cm2 culture flasks or 96-well
Induction of ischemia reperfusion (I/R) in LLC-PK1
I/R was induced in vitro according to the well-studied and extensively characterized model [18]. When the cells cultured in 96-well plates became 80% confluent, ischemia was created by changing the culture medium to DMEM without glucose and serum and the cells were exposed to the ischemic condition using enzymatic GOX/CAT system consisting of glucose oxidase (GOX) and catalase (CAT) and 2-deoxyglucose (a non-metabolizable isomer of L-glucose). GOX/CAT system was prepared by diluting glucose oxidase and catalase at a constant 10:1 ratio in cell culture medium. Enzyme activities of stock solutions were 3 mM/s for GOX and 998 s-1for CAT. To obtain a defined, stable oxygen concentration of 2% on the cell surface, stock solutions were diluted by 1:10, 000 for GOX and 1:1, 000 for CAT. The in-vitro reperfusion was achieved by incubating cells in glucose-replete complete growth medium.
Experimental protocol
The entire experiments comprises of following groups namely: control, ischemic control, reperfusion control, sodium thiosulfate (STS) treated, NaSH (positive control) and NaCl (negative control) treated: In general, 80% confluent LLC PK1 cells were selected for the study. DMEM media were replaced by fresh media in the control group alone where as in other groups ischemic media comprises of DMEM without glucose + 2-deoxyglucose + GOX/CAT was added and incubated for 60 minutes at 37ºC for the induction of ischemia. At the end of this stage fresh DMEM was used to replace ischemic medium for re-perfusion effect for 3 hrs. STS (1 mM, 10 mM and 20 mM), NaSH (1µM) and NaCl (10 mM) respectively were added to the cells one hour prior to the induction of ischemia, considered as pre-treated groups; just before the induction of ischemia, named as preconditioned groups and prior to reperfusion termed as post condition.
To evaluate the influence of endogenous hydrogen sulfide in STS mediated effect and to verify the release of H2S from STS, cells were pre-incubated with DL propargylglycine (200µM), inhibitor of cystathione gamma lyase) for 1hr before the addition of STS and followed by ischemia and reperfusion.
Crystal violet assay
Crystal Violet assay described by Ishiyama was used to determine the cell viability [19] . Cells (grown on 96 well plates with 80% confluence) were washed and stained with 0.5% crystal violet in methanol for 8–10 min at 22°C, then washed three times with 1X phosphate-buffered saline solution. The absorption measured at 550 nm was used as an index for cell viability.
Sulforhodamine assay
The cytotoxicity of the samples was established using the sulforhodamine B (SRB) colorimetric assay [20]. Cells (grown on 96 well plate with 80% confluence) were washed and fixed with by means of protein precipitation with 50% trichloroacetic acid at 4ºC (final concentration 10%) for 1hr. After five washing with tap water, cells were stained for at least 15 minutes with 0.4% SRB dissolved in 1% acetic acid and subsequently washed four times with 1% acetic acid to remove unbound stain. The protein-bound dye is dissolved in 10 mM Tris base solution for optical density determination at an excitation wavelength of 488 and emission wavelength of 585.
Assay of lactate dehydrogenase leakage
The activity of cytoplasmic lactate dehydrogenase (LDH) leakage into culture media was determined as described previously [21]. After the experimental protocol, 100 μl of media were collected, and the LDH activity was assayed in 2.4 ml of phosphate buffer (0.1 mol/l, pH 7.4) with 100 μl of NADH (2.5 mg/ml phosphate buffer). The rate of NADH oxidation was determined by following the decrease in absorbance at 340 nm at 25°C with the use of a spectrophotometer.
Statistical analysis
Data are reported as means ± SD. The experimental and control groups were compared by one-way analysis of variance (ANOVA) with the level of significance set at 5% (P < 0.05).
RESULTS
Sodium thiosulfate Toxicity study
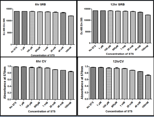
Different concentrations of STS (1 µM, 100 µM, 500µM, 1 mM, 20 mM, 40 mM, and 100 mM) were added to LLC PK1 cells cultured in 48 well plate and the results are shown in fig. 1. STS did not show any toxicity to LLC PK1 cell except for the higher concentration at 40 mM and 100 mM, where both concentrations showed a decrease of 10% and 30% viable cells respectively as compared to control with 24hr incubation time. On the other hand, at a low incubation time (6 hrs and 12 hrs) of cells treated with STS did not show any toxicity (fig. 1).
Induction and standardization of ischemic model
Absence of an established cell culture model for renal ischemia has delayed the mechanistic investigations on ischemic injury. We used in-vitro model of hypoxia with modifications to establish ischemia mimetic. Fig. 2 shows the standardization of ischemic model by an enzymatic method. We identified the extend of ischemic injury in LLC PK1 cell lines with GOX/CAT system at different time interval of 15, 30, 60, 120, 180 minutes respectively and the results are shown in fig. 2. The maximum cell injury was observed in cells incubated at 120 and 180 minutes with GOX/CAT. For the further analysis, we used 120 minutes ischemia.



Fig. 1: Sodium thiosulfate (STS) toxicity study. Different concentration of STS was incubated with LLC PK1 cells for different time interval. Different assays like sulforhodamine B (SRB), crystal violet (CV) and lactate dehydrogenase were used to assess cytotoxicity. Results are expressed as mean ± SD of n= 4-6 independent assays (*) P<0.05, statistically different from the control group

Fig. 2: Standardization of ischemic control by different time interval. Ischemic time duration for whole experiment was fixed based on the results of cell viability assays like sulforhodamine B (SRB) and crystal violet (CV), after incubating LLC PK1 cells with ischemia inducing system namely GOX/CAT (glucose oxidase and catalase 10:1) for different time intervals. Results are expressed as mean±SD of n= 4-6 independent assays (*) P<0.05, statistically different from the control group
LLC PK1 cells were pre-treated and preconditioned with different concentration of STS (500µM, 1 mM &10 mM) and the results were shown in fig. 3. Cell viability tests like SRB, crystal violet and LDH were used to assess the effect of STS as anti ischemic agent. Pre-treating the cells with 1 mM STS preserve the cells (92% cells are viable as compared to 62% in ischemia) from the ischemic injury However, preconditioning the cell did not show any significant protection from ischemic injury. Furthermore, the results were confirmed by sodium chloride, the negative control and sodium hydrosulfide (H2S donor). As expected, NaSH showed protection against ischemia when it was administered either as a pre treated or precondition agent (fig. 3).
Ischemia reperfusion injury in LLC PK1 cells was created by replacing the DMEM media containing GOX/CAT system and 2 deoxyglucose with normal DMEM medium (Lee and Emala, 2002). Reperfusion time was fixed based on the preliminary study data at different time interval namely 60, 120, 180 minutes.
![]() |
![]() |
![]() |
![]() |
![]() |
![]() |
![]() |
![]() |
![]() |
Fig. 3: Anti ischemia reperfusion injury effect of sodium thiosulfate in LLC PK1 cells,
After inducing ischemia for 60 minutes with GOX/Cat system, reperfusion was achieved by incubating cells in glucose replete complete growth medium. LLC PK1 cells were incubated with STS in three different conditions namely pretreated (one hour prior to ischemia), precondition (just before ischemia) and post treated (just before reperfusion). NaCl and NaSH were used as negative and positive controls respectively. Results are expressed as mean ± SD of n= 4-6 independent assays (*) P< 0.05, statistically different from the control group
Post conditioning, one of the therapeutic modality for I/R was performed in LLC PK1 cells with STS, NaCl and NaSH after 60 minutes of ischemia followed by 3 hrs of reperfusion. Contrary to our expectation, pre treating the LLC PK1 cells with 1 mM STS only showed significant protection to the cell to withstand I/R injury as compared to normal (fig. 3), while pre and post conditioning failed to impart any protection. Compared to NaCl, pre treated STS showed 92% viable cells, while NaSH showed 93% viable cells. In fact, NaSH, H2S donor preserved 90 and 91% cells from I/R injured when they were pre and post conditioned (fig. 3).
Effect of STS as I/R agent in the absence of endogenous H2S production
In order to negate the effect of endogenous H2S mediated I/R protection, we use PAG (irreversible inhibitor of the H2S synthesizing enzyme cystathionine-γ-lyase). The PAG control group showed the significant decline in the cell survival upon I/R induction as indicated in fig. 4. However, when LLC PK1 cells were pre- treated with STS before the insult of I/R, the cell survival rate was improved, suggested the possible release of hydrogen sulfide from thiosulfate as reported by other investigators. However, pre or post conditioning the cells with NaSH impart protection to cells during I/R even in the presence of PAG.



Fig. 4: Anti ischemia reperfusion effect of sodium thiosulfate in presence of propargyl glycine (PAG).
In order to study the role of hydrogen sulphide released by sodium thiosulftae, endogenous sulphide generating enzymes were inhibited by PAG and induce ischemia reperfusion, treated with STS (pre treated, precondition and post condition). Results are expressed as mean ± SD of n= 4-6 independent assays (*) P< 0.05, statistically different from the control group
DISCUSSION
The present study has demonstrated the protective role of Na2S2O3 on renal injury induced by I/R in LLC PK1 cells. H2S, the positive control and one of the metabolite of STS also showed improved cell survival to I/R, was previously reported to have renal protection irrespective of its endogenous or exogenous nature, by stimulating KATP channel [22]. However, toxicant nature of H2S and limitation of stable H2S donor (NaHS/ Na2S) as it’s released rate varied, hamper the progress of H2S as therapeutic drugs. In fact, STS was reported to release H2S in slow rate [9] and is a clinically proven drug that excreted through the kidney and reported to be non toxic even at higher concentrations up to 20 mM range (fig. 1).
The pathology associated with ischemia and ischemia reperfusion believes to be initiated in mitochondria, characterised to have reduced ATP synthesis and enhanced ATP hydrolysis associated with deranged ionic homeostasis and increased influx of reactive oxygen species and pro-apoptotic protein [23]. In general, thiosulfate is metabolized in mitochondria, where elementary sulphur is released from the oxidation of sulfide in H2S and further reduction, results in the formation of persulfide with the help of sulfide: quinone oxidoreductase (SQR). One of the persulfide will get oxidized by sulfur dioxygenase and the other will transfer from the SQR to sulfite by sulfur transferase producing thiosulfate (H2S2O3) [24]. Evidences from previous study indicate that H2S mediate protection against ischemic neuronal death [25], cardiac ischemia reperfusion related abnormalities [10], renal ischemia reperfusion injury [26], hepatic ischemia reperfusion injury [27] by improving the mitochondrial physiological functions.
Indeed, studies in the yeast, E. coli and other microorganism showed that hydrogen sulfide can be synthesized from thiosulfate. Moreover, it had been shown in mammals that hydrogen sulfide can be synthesised from thiosulfate through thiosulfate sulfurtransferase [28, 29]. Hence, STS mediated renal protection may be due to the release of hydrogen sulfide that may be in low concentration as this reaction is slow. Further extensive study is needed to confirm the stoichiometry and mechanism of release of H2S from thiosulfate in kidney cells.
Interestingly, only pre-treatment for cells with STS mediated renal protection to I/R injury and it may be attributed to the self-protective response of the cell mediated by STS [24] similar to that of H2S [30]. Hence, we assumed that, the H2S release from thiosulfate is slow and perhaps STS need more time to release H2S in sufficient concentration to enable renal protection.
In kidney cells, H2S is being synthesized through two enzymes namely, cystathione β synthase and cystathione γ lyase [24]. According to Sen [17], synthesis of endogenous H2S is essential for renal function and integrity following ischemia reperfusion injury [17]. In support to the early findings, our results showed that H2S donor NaSH reduces the renal injury either in the presence or absence of PAG, the inhibition of endogenous H2S synthesis. However, the renal protections showed by STS pre-treatment were negated in the presence of PAG, indicating the need of endogenous H2S in renal protection. In fact, our results suggest that STS (1 mM) may not be sufficient to impart renal protection in the absence of endogenous H2S.
Based on the above observations, we conclude that STS can be a novel therapeutic drug against renal ischemia reperfusion injury. Further studies in animal models are required to confirm these findings before translated into a clinical scenario as STS is an clinically approved drug for other disorders.
Funding
This study was supported by grants from Prof. T. R. Rajagopalan Research Fund, SASTRA University, India
CONFLICT OF INTERESTS
Declared None
REFERENCES