
1Magister Program of Herbal Medicine, Faculty of Pharmacy, Universitas Indonesia, Depok, West Java, 16424 Indonesia, 2Laboratory of Pharmaceutical Technology, Faculty of Pharmacy, Universitas Indonesia, Depok, West Java, 16424 Indonesia, 3Department of Pharmacy, Faculty of Medicine, Universitas Indonesia, Salemba, Jakarta, Indonesia
Email: mahdi.jufri@farmasi.ui.ac.id
Received: 30 Jan 2020, Revised and Accepted: 12 Mar 2020
ABSTRACT
Objective: The objectives of this study were to quantify γ-oryzanol in an ethanolic extract of Oryza sativa L. Indica (black rice) bran and to evaluate its activity as a tyrosinase inhibitor.
Methods: Black rice bran was extracted via maceration in 96% ethanol, and the γ-oryzanol concentration in the extract was measured through high-performance liquid chromatography. The applicability of the extract as a skin lightening agent was determined by evaluating its tyrosinase inhibition activity.
Results: The dry rice bran contained 118.572 mg/g of γ-oryzanol, and the extract inhibited tyrosinase activity at an IC50 of 74.8%.
Conclusion: The black rice bran extract was sufficiently potent for use in skin lightening formulations.
Keywords: Black rice bran, Gamma oryzanol, Tyrosinase inhibitor, Lightening agent
© 2020 The Authors. Published by Innovare Academic Sciences Pvt Ltd. This is an open access article under the CC BY license (http://creativecommons.org/licenses/by/4.0/)
DOI: http://dx.doi.org/10.22159/ijpps.2020v12i5.37197. Journal homepage: https://innovareacademics.in/journals/index.php/ijpps
Fair skin is desired by most women who live in tropical countries with high levels of ultraviolet (UV) exposure. This has lead to an annually increasing demand for cosmetic products containing skin lightening agents. According to the Zion Market Research Report (2018) [1], the global market for skin lightening products was valued at 4.075 million US dollars (USD) in 2017; it is expected to increase to 8.895 million USD by 2024.
UV exposure can trigger the formation of radical oxygen species, which cause lipid peroxidation that initiates melanogenesis, the process of melanin formation in the skin [2]. Melanogenesis is complex, gradual [3], and involves the biosynthesis of tyrosinase [4]. Tyrosinase inhibition is one of the most common mechanisms used to achieve skin lightening [5].
The use of hydroquinone as a skin lightening agent has been restricted because it has been reported to cause side effects such as skin irritation, contact dermatitis, and exogenous ochronosis in individuals with colored skin [6]. Therefore, skin lightening agents derived from natural ingredients are preferred alternatives. In Indonesia, Glycyrrhiza glabra, Pachyrhizus erosus, and Curcuma xanthorrhiza are used empirically.[7] However, rice bran, a byproduct of the rice milling process, also has potential value as a skin lightening agent. Moreover, rice bran which formulated in cosmetic products are found to be stable, free from heavy metals, and microbial contamination [8]. Miyazawa et al. reported that 0.4-mg/ml black rice bran extract inhibited tyrosinase activity by as much as 80.5% [9].
Rice bran contains fat, protein [10], fiber, and minerals [11]. Additionally, it contains several bioactive compounds such as vitamin E (tocopherol and tocotrienol), gamma (γ) oryzanol [12], and anthocyanins, which are commonly found in pigmented rice bran [11]. γ oryzanol restricts melanogenesis by inhibiting the activity of the tyrosinase enzyme. In vitro, of 3-and 30-μM γ-oryzanol doses, reduced melanin levels in B16 melanocytes by 13% and 28%, respectively [4]. γ-oryzanol is a chemical compound that mainly comprises complex ester trans-ferulate (trans-hydroxy cinnamic acid) with phytosterols (sterols and alcohol triterpene), including cycloartenol, β-sitosterol, 24-methylene cycloartenol ferulate, and predominant campesterol [13, 14].

Fig. 1: The chemical structure of γ-oryzanol [13]
The concentration of γ-oryzanol in black rice bran ranges from 3.95 to 7.72 mg per gram of dry matter; this is higher than those in red and white rice bran, which are 3.59–3.69 and 1.55–3.13 mg per gram of dry matter, respectively [15]. Mingyai et al. [16] reported a γ-oryzanol concentration of 281.95 mg/g in Hom-nin black rice bran oil.
In this study, we determined the γ-oryzanol concentration using black rice bran (Oryza sativa L. Indica) ethanol extract. Ethanolic black rice bran extract showed the highest phenolic content, flavonoid content, and carotenoid content [17]. Ethanolic extracts of natural ingredients are approved for cosmetic use by The National Agency of Drug and Food Control of the Republic of Indonesia [18]. γ-oryzanol was isolated and quantified using high-performance liquid chromatography (HPLC), and its IC50 was determined to evaluate its applicability as a skin lightening agent.
Black rice bran was obtained from Ciletuh Geopark in Sukabumi, West Java. Standard γ-oryzanol was purchased from Sigma-Aldrich (St. Louis, MO, USA). HPLC-grade methanol, acetonitrile, and isopropanol were obtained from Merck (Darmstadt, Germany). Kojic acid, mushroom tyrosinase EC 1.14.18.1, and L-tyrosine were obtained from Sigma-Aldrich.
The black rice bran was extracted via maceration for three days using 96% ethanol in a 1:4 (w/v) ratio. After extraction, the mixture was evaporated in a water bath at 80 °C for 24 h to obtain a slimy mixture. The extract was tested for water residue by a distillation method.
γ-oryzanol was isolated and quantified using high-performance liquid chromatography (HPLC), The standard and extract, each of 20 µl, were injected into the HPLC system (Shimadzu Corp., Kyoto, Japan) equipped with an Inertsil ODS-3 column (5 µm, 250 mm × 4.6 mm) obtained from GL Sciences (CA, USA). A 50: 40: 10 mixture of methanol: acetonitrile: isopropanol was used as the mobile phase under isocratic conditions. The UV detector wavelength was set to 327 nm, and the flow rate was set to 1 ml/min. Each sample was injected in triplicate [19].
The γ-oryzanol standard calibration curve is shown in fig. 2. HPLC chromatograms for the 30-ppm γ-oryzanol standard and 600-ppm ethanolic rice bran extract are shown in fig. 3. The extract contained four of the main components of γ-oryzanol identified by Lerma–García et al. [20]. The 24-methylene cycloartenol ferulate (2) peak had the largest area compared with the other peaks; Its antioxidant activity has been reported to be higher than those of cycloartenol ferulate (1), campesteryl ferulate (3), and sitosterol ferulate (4) [21].

Fig. 2: γ Oryzanol standard calibration curve

Fig. 3: HPLC chromatograms for (a) the 30-ppm γ-oryzanol standard and (b) 600-ppm black rice bran extract. The 24-methylene cycloartenol ferulate (2) peak had the largest area compared with the other peaks and it was considered to be the highestThis compound has been reported to have higher antioxidant activity than (1) cycloartenol ferulate, (3) campesteryl ferulate, and (4) sitosterol ferulate [20]
The HPLC chromatogram of the γ-oryzanol standard showed four major constituents (fig. 3a): cycloartenol ferulate (28.27%), 24-methylene cycloartenol ferulate (38.10%), campesteryl ferulate (23.46%), and sitosterol ferulate (10.15%).
The four γ-oryzanol components identified in the ethanolic black rice bran extract (fig. 3b) were cycloartenyl ferulate (26.78%), 24-methylene cycloartenyl ferulate (37.78%), campesterol ferulate (22.24%), and sitosteryl ferulate (13.18%). The results obtained in this study were consistent with those obtained by Goufo et al. (2014) [22]. The contributions of these components to the total γ-oryzanol content in that study were 19%−26% (cycloartenol ferulate), 34%−44% (24-methylene cycloartenyl ferulate), 15%−23% (campesteryl ferulate), and 7%−17% (sitosteryl ferulate).
γ-oryzanol in the ethanolic black rice bran extract was quantified using the standard calibration curve (fig. 2). The regression equation was y= ax+b. (y). After the concentration of γ-oryzanol (x) in the extract was determined, the γ-oryzanol content in the dry sample was measured using the formula mentioned below.
Content (mg/g) = [x(mg/ml) x sample volume (ml)] / sample weight (g)
Based on the aforementioned equations, the γ-oryzanol content in the dry black rice bran was found to be 118.572 mg/g. This was higher than the γ-oryzanol content found in a previous study by Huang and Lai [15], who reported γ-oryzanol concentrations in black rice bran range from 3.95 to 7.72 mg/g dry matter. However, our result was lower than that reported by Mingyai, Kettawan, Srikaeo, and Singanusong [16]. They reported a γ-oryzanol concentration of 281.95 mg/g in Hom-nin black rice bran oil via solvent extraction 12 h using hexane in a 1:3 (w/v) ratio. This concentration is higher than that reported by Huang and Lai [15] might have been because of the extraction method. They performed extraction and fractionation gradually using 80% ethanol and 95% ethanol solutions to obtain a dry powder. However, Mingyai, Kettawan, Srikaeo, and Singanusong [16] performed a conventional extraction and reported a higher γ-oryzanol concentration. Imsanguan et al. [23] reported that ethanol was a better solvent for γ-oryzanol extraction than hexane owing to the relatively high polarity of the γ-oryzanol molecules; in such cases, the polarity of the solvent may significantly affect the extractability of the γ-oryzanol. Furthermore, rice varieties differ depending on the growing location, altitude, cultivar, and farming technique; these differences cannot be ignored during the production of high-quality natural products.
The tyrosinase inhibition activity of the rice bran ethanol extract was determined using a microplate reader. Approximately 40 μL of the enzyme (31 units/ml) and 40 μL of the extract were added to a 96-well microplate containing 40 μL of 10-µM L-tyrosine and 80 μL of a 0.1-M buffer solution (pH 6.8) [24]. γ-oryzanol standards were prepared at concentrations of 20–130. The mixtures were shaken for 60 s and incubated for 30 min at 37 °C. Then, absorbance was measured at 490 nm using a microplate reader. The result was compared with kojic acid. Tyrosinase inhibition activity by the rice bran ethanol extract was calculated using the equation mentioned below and reported as percent inhibition.
% Inhibition = [(A − B) − (C − D)]/(A − B) × 100.
Where A is the absorbance of the enzyme without sample, B is the absorbance without enzyme and sample, C is the absorbance of enzyme and sample, and D is the absorbance of a sample without enzyme. The result was reported in terms of IC50, which was the concentration of the inhibitor required to restrict the activity of the enzyme to half under the test conditions.
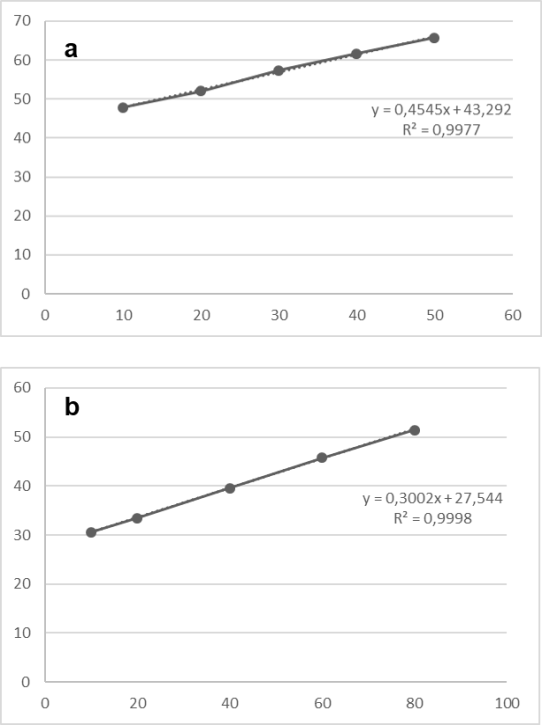
The inhibitory activities of the black rice bran extract and using kojic acid as a positive control against tyrosinase are shown in fig. 4.

Fig. 4: Tyrosinase inhibition by kojic acid (a) and black rice bran ethanol extract (b)
Inhibitor strength is usually expressed in terms of the IC50 value, which is the concentration of an inhibitor needed to restrict enzymatic activity to half under the test conditions [26]. IC50 of the rice bran ethanol extract was 74.8%, which was higher than that of kojic acid (14.7%). γ-oryzanol in the black rice bran extract contains ferulic acid, which is a phenolic acid antioxidant [19]. Other phenolic compounds in black rice bran that act as antioxidants include flavonoids and anthocyanins [22]. These phenolics have high affinities for the enzyme and prevent dopachrome formation. However, they are weaker inhibitors than kojic acid, which chelates copper at the active site of the enzyme [25]. However, we could conclude that black rice bran ethanol extract has potential as a tyrosinase inhibitor [26].
Current study shows that the ethanolic extract of black rice bran (Oryza sativa L. Indica) contains rich γ-oryzanol via HPLC chromatogram analysis and has inhibitory activities against tyrosinase. Further, black rice bran ethanolic extract is the potential to be formulated in skin lightening cosmetic products.
This research was supported by Directorate of Research and Community Engagements, Integrated Laboratory and Research Center, Universitas Indonesia
Directorate of Research and Community Engagements, Integrated Laboratory and Research Center, Universitas Indonesia.
All the authors have contributed equally.
The authors declare no conflict of interest.
Zion Market Research. Global skin lightening products market is expected to reach Around USD 8,895 million by 2024. Available from: https://www.zionmarketresearch.com/news/skin-lightening-products-market. [Last accessed 10 Apr 2019]
Bernatoniene J. Topical application of Calendula officinalis (L.): formulation and evaluation of hydrophilic cream with antioxidant activity. J Med Plants Res 2011;5:868-77.
Videira IFS, Moura DFL, Magina S. Mechanisms regulating melanogenesis. Dermatology 2013;88:76-83.
Jun H, Lee JH, Cho B, Seo W, Kang H, Kim D, et al. Dual inhibition of γ-oryzanol on cellular melanogenesis: inhibition of tyrosinase activity and reduction of melanogenic gene expression by a protein kinase a-dependent mechanism. J Nat Prod 2012;75:1706–11.
Tilaar A, Ranti A, Munim A. The efficacy study of snake fruit (Salacca edulis Reinw Var. Bongkok) extract as a skin lightening agent. Pharmacogn J 2017;9:235-8.
Oresajo C, Yatskayer M. Comparative evaluation for the efficacy and tolerance of two skin products containing either hydroquinone or emblica extract with kojic acid in female subjects with facial dyschromia. J Am Acad Dermatol 2009;60:AB24.
Wathoni N, Haerani A, Yuniarsih N, Haryanti R. A review on herbal cosmetics in Indonesia. Int J Appl Pharm 2018;10:13-6.
Chaiyasut C, Kesika P, Sakdakampanat P, Peerajan S, Sivamaruthi BS. Formulation and evaluation of the stability of thai purple rice bran-based cosmetic products. Asian J Pharm Clin Res 2018;11:99-104.
Miyazawa M, Oshima T, Koshio K, Itsuzaki Y, Anzai J. Tyrosinase inhibitor from black rice bran. J Agric Food Chem 2003;51:6953–6.
Parrado J, Miramontes E, Jover M, Gutierrez JF, Collantes de Teran LC, Bautista J. Preparation of a rice bran enzymatic extract with potential use as a functional food. Food Chem 2006;98:742–8.
Nam SH, Choi SP, Kang MY, Koh HJ, Kozukue N, Friedman M. Antioxidative activities of bran extract from twenty-one pigmented rice cultivars. Food Chem 2006;94:613–20.
Chen MH, Bergman CJ. A rapid procedure for analyzing rice bran tocopherol, tocotrienol, and c-oryzanol contents. J Food Compos Anal 2005;18:319–31.
Xu Z, Godber JS. Comparison of supercritical fluid and solvent extraction methods in extracting gamma-oryzanol from rice bran. J Am Oil Chem Soc 2001;77:1127–31-0087-4.
Lloyd BJ, Siebenmorgen TJ, Beers KW. Effects of commercial processing antioxidants in rice bran. Cereal Chem 2000;77:551–5.
Huang YP, Lai HM. Bioactive compounds and antioxidative activity of colored rice bran. J Food Drug Anal 2016;24:564-74.
Mingyai S, Kettawan A, Srikaeo K, Singanusong R. Physicochemical and antioxidant properties of rice bran oils produced from colored rice using different extraction methods. J Oleo Sci 2017;66:565-72.
Sukrasno S Tuty, I Fidrianny. Antioxidant evaluation and phytochemical content of various rice bran extracts of three varieties rice from semarang-central java, Indonesia. Asian J Pharm Clin Res 2017;10:377-82.
The National Agency of Drug and Food Control of Republic of Indonesia, (BPOM Indonesia); 1936.
Trinovita E, Saputri FC, Munim A. Potential gastroprotective activity of rice bran (Oryza sativa L.) extracted by ionic liquid-microwave-assisted extraction against ethanol-induced acute gastric ulcers in rat model Sci. Pharmacy 2018;86:35.
Lerma Garcia MJ, Herrero Martinez JM, Simo Alfonso EF, Mendonça CRB, Ramis-Ramos G. Composition, industrial processing, and applications of rice bran c-oryzanol. Food Chem 2009;115:389–404.
Sakunpak A, Suksaeree J, Pathompak P, Sermkaew N. Antioxidant individual g-oryzanol screening in cold-pressed rice bran oil of different Thai rice varieties by HPLC-DPPH Method. Int J Pharm Sci 2014;6:2–7.
Goufo P, Trindade H. Rice antioxidants: phenolic acids, flavonoids, anthocyanins, proanthocyanidins, tocopherols, tocotrienols, y-oryzanol, and phytic acid. Food Sci Nutr 2014;2:75–104.
Imsanguan P, Roaysubtawee A, Borirak R, Pongamphai S, Douglas S, Douglas PL. Extraction of a-tocopherol and g-oryzanol from rice bran. Food Sci Technol 2008;41:1417–24.
Alam N, Yoon KN, Cha YJ, Kim JH, Lee KR, Lee TS. Appraisal of the antioxidant, phenolic compound concentration, xanthine oxidase and tyrosinase inhibitory activities of Pleurotus salmoneostramineus. Afr J Agric Res 2001;6:1555-63.
Chang TS. An updated review of tyrosinase inhibitors. Int J Mol Sci 2009;10:2440-75.
Batubara I, Darusman LK, Mitsunaga T, Rahminiwati M, Djauhari E. Potency of Indonesian medicinal plants as tyrosinase inhibitor and antioxidant agent. J Biol Sci 2010;10:138–44.