1,2Department of Pharmaceutical Microbiology and Biotechnology, Faculty of Pharmacy, Niger Delta University, Wilberforce Island, Bayelsa State, Nigeria, 3Department of Medical Laboratory Sciences, University of Calabar, Calabar, Cross Rivers State. Nigeria.
Email: yemisiadenijiolorode@gmail.com
Received: 03 Nov 2014 Revised and Accepted: 25 Dec 2014
ABSTACT
Objective: Present work comprehensively evaluate the bactericidal and fungicidal activities of Chlorhexidine gluconate and Cetrimide on five study slaughter houses (workers’ aprons) microbial isolates in Niger Delta region of Nigeria. Will Chlorhexidine gluconate and Cetrimide have the potency to eradicate the selected pathogenic microorganisms associated with contaminated slaughterhouse aprons. This study was carried out between the month of January 2008 and June 2009.
Methods: Pathogenic microorganisms Vibrio sp.; Salmonella sp.; Campylobacter sp. and Candida albicans were isolated from butcher’s apron strings using selective media. The activities of mixed culture of Vibrio species, Salmonella species, Campylobacter species and Candida albicans isolated from aprons after slaughter the cows were tested on antiseptics at different concentrations (in triplicates) (10%, 20%, 40% and 70%) and time using agar diffusion and traditional microbial count methods for the calculated mean values. The microbial suspension was standardized using 0.5 Mc Farland turbidity method of standardization. Statistical analysis of the data showed no significant difference in the effectiveness of these antiseptics at (p>0.05).
Results: Chlorhexidine gluconate + Cetrimide had 100% potency on both Vibrio sp. and Salmonella sp. after the exposure time of 10 minutes at 10% concentration, but at higher concentrations the potency reduced. Cetrimide alone demonstrated 100% potency on Vibrio sp., and Campylobacter sp., 97% potency on Salmonella and Candida albicans. Vibrio sp., Salmonella sp., Campylobacter sp., and Candida albicans showed resistance to Chlorhexidine gluconate alone at all test concentrations except Vibrio sp. that was susceptible at 70% concentration.
Conclusion: These findings showed that Cetrimide alone at 10% concentration (10 minutes of exposure) had the highest potency followed by Chlorhexidine gluconate + Cetrimide and the least was Chlorhexidine gluconate alone on these isolated pathogens at the same exposure time.
Keywords: Chlorhexidine gluconate, Cetrimide, Biocide tolerance, Microorganisms, Public health, Apron String.
INTRODUCTION
Abattoirs in Nigeria are located in the market, a dirty, busy place, where the environment is stinkly polluted and heavily charged with both pathogenic and spoilage microorganisms [1, 2]. This present study was carried out in 2009 but it is still significant in 2014 and onward because the mode of operation in abattoirs in developing countries especially in Nigeria has not changed so as this study is applicable in 2009 so it is applicable in the present situation especially in Nigeria. Microbial infections are an important cause of morbidity and mortality all over the world. It has been shown that appropriate environmental hygienic and disinfection practices can be very helpful among the people working in slaughter houses especially the butchers. There has been an interest in improving the sterilization and disinfection procedures to reduce the infection risk for slaughter house workers, dwellers, butchers and sellers. Antiseptics – resistant microbial strains have arisen as a result of the lack in standardization of some factors, such as criteria for use of chemicals agents, specifications in the labels of available products and scarcity of well trained personnel. Microbial resistant to some antiseptics have increased significantly in the world, including United State of America and has become a serious public health problem. The widespread use of antiseptic and disinfectant products has prompted some speculation on the development of microbial resistance. The selection, use and control of the effectiveness of the antiseptics have been emphasized, since environmental surfaces and contaminated clothes can serve as vehicles to infectious agents in susceptible hosts associated with the slaughter houses setting [3, 4]. Studies by a number of investigators on Chlorhexidine gluconate and Cetrimide including [5-8] but none of them worked with Chlorhexidine gluconate and Cetrimide in Slaughter house. No work has been done on Chlorhexidine gluconate and Cetrimide on butcher’s apron or overall in slaughter houses. This study area is of paramount importance to us in order to ensure cleanliness of slaughter house workers apron; this is not only to protect workers against contamination but also to protect the meat and food against pathogenic microbial contaminants. Chlorhexidine gluconate was first synthesized in England by ICI pharmaceuticals in the 1950s [9]. It was reported by [10] to have a high antimicrobial activity, an affinity to skin and mucous membranes, and relatively low toxicity to human cells. Thus it soon became popular as a topical antimicrobial agent [10-12]. Centrimide is a synthetic detergent and antiseptic which is a quaternary ammonium compound derived from cetane [13]. Conducted a multicenter, cluster – randomized, non blinded crossover trial to evaluate the effect of daily bathing with Chlorhexidine – impregnated wash cloths on the acquisition of MDROS and the incidence of hospital- acquired bloodstream infections were compared between the two periods by means of Poisson regression analysis. Observational findings suggested that daily bathing with Chlorhexidine impregnated wash cloths significantly reduced the risks of acquisition of Multi Drugs Resistance of Staphylococcus and development of hospital – acquired bloodstream infections.
MATERIALS AND METHODS
Media, test materials and reagents
Selective media Salmonella Shigella agar, Butzler’s Medium, Thiocholate Citrate Bile Salt Sucrose agar (TCBSA) and Sabouroud Dextrose Agar (SDA) were used for the cultivation of Salmonella species, Campylobacter species, Vibrio species and Candida albicans respectively. The following equipment were used – Microscope, Microscopy slides, cover slips, cotton wool, sterile swab sticks, Reagents used include physiological saline, gram stains – Safranin, Lugols iodine, differential alcohol and crystal violet, oxidase reagents, catalase – hydrogen peroxide, dextrose, sucrose, mannitol, plasticine, peptone water and kovacs reagent (Iso amyl alcohol, P- dimethyl amino benzaldehyde and concentrated Hydrochloric acid), Methyl red and Potassium hydroxide, Urea agar slant, Simmon Citrate broth, 1N Hydrochloric acid and 0.2% solution of sulphanilamide, 0.1% N- naphthyl ethylene diamine hydrochloride.
Source of sample
Five (5) different slaughter houses were used for this research. Apron strings from fifty (50) butchers were sampled (ten (10) from each abattoir) using wet sterile swab sticks in Port Harcourt metropolis, Rivers State, Nigeria. The abattoirs include Agip, Woji, Trans Amadi, Rumuokoro and Rumuodara. Samples were collected with sterile cotton swabs moistened with 1 ml of 0.1% NaCl peptone solution which was used to swab the aprons from the body of the butchers immediately after slaughtering the animals. The sample surfaces were swabbed 10 times from top to bottom [14].
Preparation of culture media
Growth media used for the isolation and characterization of bacteria and yeast were selective according to the cultural requirements of bacteria and fungi (yeast). Thiocholate Citrate Bile Salt Sucrose Agar TCBSA for Vibrio species, Salmonella Shigella Agar medium for Salmonella, SR85 Butzler medium selective for Campylobacter species was composed, its compositions include Sodium pyruvate (0.125g), Sodium metabisulphite (0.125g) and Ferrous sulphate (hydrated salt) (0.125g) all in 500 ml Nutrient agar. Sarbouroud Dextrose Agar was used to cultivate Candida albicans. All media were steam sterilized at 1210C for 15 minutes except Salmonella Shigella medium that was boiled on fire for few minutes before dispensing into sterile petri plates.
Isolation of the bacteria and Yeast
A direct inoculation of the swab sample collected was made onto sterile petri plates containing the selective media mentioned above using streak plate method to achieve discrete colonies. The plating was done in triplicates. The sets of plates were then incubated at 37oC for Vibrio and Salmonella for 24 hrs, 42oC for Campylobacter on Butzler’s medium for 24 hrs, 37oC for Candida albicans on SDA for 24 hrs. Resulting pure cultures were transferred onto nutrient agar and SDA slants for bacteria and fungi respectively for subsequent characterization and identification.
Characterization and Identification
Pure culture of bacteria isolated were characterized and identified on the basis of their cultural, morphological and biochemical properties and by reference to Bergey’s Manual of Determinative Bacteriology, [16] and Cowan and Steel’s Manual for the Identification of Medical bacteria [17]. The fungi (yeast) Candida albicans were characterized based on their macroscopic appearance on culture medium, microscopical morphology and type of asexual spores produced and germ tube test, also identified by reference to illustrated General of Imperfect Fungi [18] and fungi in Agricultural soil [19]. The test bacteria used are Campylobacter species, Salmonella species, Vibrio species and the yeast Candida albicans.
Preparation of bacteria and yeast suspension
Organisms used in this experiment were Campylobacter sp., Salmonella sp., Vibrio sp. and Candida albicans. Bacteria were grown in Nutrient Agar Broth oxoid and yeast was grown in SD broth for 24 hrs at 37oC, Nutrient broth at 42oC for Campylobacter species. Cultures were centrifuged at 512g (sigma model 3k- 1) for 10 minutes and resulting cell pellets re -suspended in 0.1% peptone.
Preparation of test antiseptics
Antiseptics Chlorhexidine gluconate + Cetrimide, Cetrimide alone and Chlorhexidine gluconate alone were diluted in sterile distilled water prior to use to 10%, 20%, 40% and 70% concentrations. These products were obtained from Reckit Benckiser Nigeria Limited Lagos, Nigeria. The pH of the mixtures was controlled by the addition of HCL or NaOH as appropriate.
Composition of test antiseptics
The test antiseptics main compositions are Chlorhexidine gluconate and Cetrimide. Cetrimide (element & Compounds) a mixture of different quaternary ammonium salts including Cetrimonium bromide (CTAB). It was first discovered and developed by ICI and introduces under brand name CETAVLON. Chlorhexidine gluconate has been given the IUPAC name N,N,-hexane- 1, 6- diylbis {N-(4-Chlorophenyl)(imidodicarbonimidic diamide) with a molecular formular of C22H30CL2N10 and a molecular weight of 505.4g/mol. Both antiseptics (Chlorhexidine gluconate and Cetrimide) are active ingredient of most of the pharmaceutical products such as drugs such as Aceptic HC, Sarot, Golon Nestolen, detergents for sterilizing surgical instruments, cleaning wounds and creams such as Nappy Rash cream, Antiseptics Wound Washer, Antiseptic First Aid cream, Dermidex Dermatological cream, Drapolene cream, Lypsyl Cold Sore Gel, Savlon Antiseptic cream and Liquid, Savlon Bites & Stings Pain Relief Gel, Savlon First Aid Wash 0.5% w//v Cutaneous Spray.
Suspension test (Traditional plate count method)
Approximately 0.1 ml of a bacterial suspension (approximately 1x109) bacteria (ml) was added to the test antiseptic (10 ml), mixed thoroughly and left at room temperature for a specified contact time starting from 0 min, 10 min, 20 min, 30 min, 40 min, 50 min, and 60 min. This experiment occupied 21 test tubes, for the experiment was carried out in triplicate. Following contact an aliquot (1 ml) was transferred to universal quenching agent, UQA (9 ml of a solution containing 1g peptone, 5g Tween- 80, 1g sodium thiosulphate and 0.7g Lectithin deionised water at pH 7) for up to 60 minutes to inactivate the disinfectants. The quenched solution were serially diluted in sterile distilled water and survivors enumerated on Nutrient Agar (Oxoid) using 0.1 ml spread plates. The colonies on the plates were counted after incubation at 37oC for 48 hrs. Positive and negative control were also prepared and incubated. Positive control did not contain the antiseptics only and the serially diluted suspension was plated and counted while the negative control contained only the test antiseptics at 0.1 ml spread plated.
Phenol co-efficient test
R ideal – Walker phenol co-efficient experimental method for the evaluation of test antiseptics as jointly reported by S. R ideal and J. T. A. Walker in 1903 [20] was first real attempted to evaluate the effectiveness of disinfectants on a qualitative basis. The standard procedure for this test was published by the British Standard Institution.
The microbial culture for Phenol co-efficient test
The test organism was Salmonella typhi NCTC 786 obtainable from the National Collection of typed cultures in London. It was supplied in the freeze- dried form and reactivated by weekly sub- culture on a R ideal – Walker agar slope, incubated at 37oC for 24 hrs and then stored at room temperature until the time for another sub –culture. Only cultures that were 22 to 26 hours old and only those from the 3rd to the 14th subculture were used for the test.
Antiseptics dilutions
The standard phenol solution contains 1g of phenol in 95, 100, 105, 110 and 115 ml of solutions made with sterile distilled water. For the test antiseptics, Chlorhexidine gluconate, Cetrimide; Chlorhexidine gluconate + Cetrimide, four dilutions were made, varied in arithmetic series, changing by the unit of 50, these are 1:200, 1:250, 1:300, 1:350.
Procedure
A volume of 5 ml of each of the dilutions of test antiseptics and standard phenol was placed in separate sterile test tubes. A 24hour broth culture of the test organism was also prepared. The dilutions and the culture were placed in a water bath maintained at 17- 18oC. When the contents of the tubes and the culture had attained the operational temperature, 0.2 ml of the culture was transferred to each of the dilution and shook gently to begin the action of the germicide on the cells. At 21/2 minutes interval following the incubation of the tubes, a standard loop full of the reaction mixture was transferred to 5 ml of sterile nutrient broth (the recovery medium) in a tube. In this way, each reaction mixture was subculture into four separate test tubes of the recovery medium at intervals of 2.5, 5, 7.5, and 10 minutes respectively. The tubes of recovery medium were incubated at 37oC for 48 hours after which the presence or absence of growth in each tube was recorded.
Statistical analysis
Analysis of variance (ANOVA) was calculated on the effectiveness of the two antiseptics used on the four microbial isolates from apron strings and the result was indicated in table 1 below
RESULTS AND DISCUSSION
Analysis of Variance (ANOVA) showed no significance difference at P > 0.05 in the effectiveness of the study antiseptics on the four microbial isolates from apron strings.
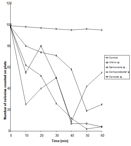
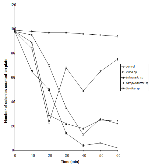
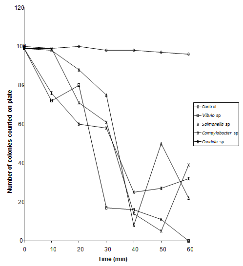
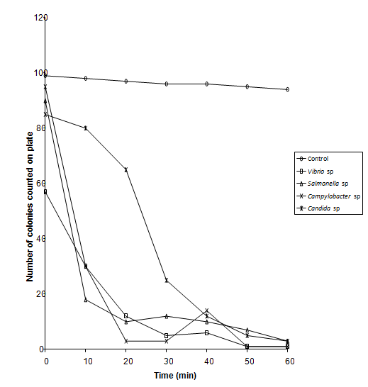
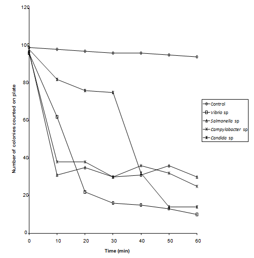
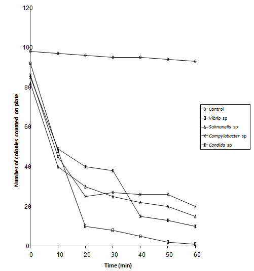
Fig. 1a shows the graphical representation of microbial suspension killing rate curve of Chlorhexidine gluconate + Cetrimide at 10% concentration, in this curve Vibrio sp. and Salmonella sp. were reduced to 0 colony from 10 minutes till 50 minutes but at 60 minutes four (4) colonies were counted for these same organisms while Campylobacter sp. and Candida sp. were resistant. Fig. 1b depicted the graphical representation of microbial suspension killing rate curve for Chlorohexidine gluconate + Cetrimide 20% concentrations. Observation shows that only Vibrio sp. was reduced to 2 colonies, others such as Salmonella sp. Campylobacter sp. and Candida sp. were reduced to 24, 22, and 75 colonies respectively, after 60 minutes of exposure. Fig. 1c shows the graph of microbial suspension killing rate curve for Chlorohexidine gluconate+ Cetrimide at 40% concentration. Vibrio sp. were reduced to 0 colony after 60 minutes of exposure to Chlorohexidine gluconate + Cetrimide at 40% concentration, other microbial isolates Salmonella, Campylobacter and Candida isolates were resistant.
Table 1: 0 ANOVA result of the antiseptics of killing rate curve on apron strings microbial isolates
| Microbial Isolates | Antiseptics | %conc | Number of variables | F - ratio | F - critical | Decision |
| Salmonella sp | Chlorhexidine gluconate n Cetrimide | ,, | 50 | 2.9 | 2.69 | Significant |
| Vibrio sp | ,, | ,, | 50 | 2.9 | 2.69 | Significant |
| Campylobacter sp | ,, | ,, | 50 | 2.9 | 2.69 | Significant |
| Candida sp. | ,, | 10% | 50 | 2.9 | 2.69 | Significant |
| Salmonella sp | Cetrimide only | 10% | 50 | 3.18 | 2.69 | Significant |
| Vibrio sp | ,, | ,, | 50 | 3.18 | 2.69 | Significant |
| Campylobacter sp. | ,, | ,, | 50 | 3.18 | 2.69 | Significant |
| Candida sp | Cetrimide only | ,, | 50 | 3.18 | 2.69 | Significant |
| Salmonella sp | Chlorhexidine gluconate alone | 10% | 50 | 3.54 | 2.69 | Significant |
| Vibrio sp | ,, | 50 | 3.54 | 2.69 | Significant | |
| Campylobacter sp. | 10% | 50 | 3.54 | 2.69 | Significant | |
| Candida sp | Clorhex. Gluconate alone | 10% | 50 | 3.54 | 2.69 | Significant |
| Four microbial isolates | Chlorhex gluconate n Cetrimide | 20% | 50 | 2.9 | 2.69 | Significant |
| Four microbial isolates | Cetrimide only | 20% | 50 | 6.72 | 2.69 | Significant |
| Four microbial isolates | Chlorhex. Gluconate alone | 20% | 50 | 3.99 | 2.69 | Significant |
| Four microbial isolates | Chlorhexidine gluconate n Cetrimide | 40% | 50 | 1.72 | 2.69 | Not Significant |
| Four microbial isolates | Cetrimide only | 40% | 50 | 6.94 | 2.69 | Significant |
| Four microbial isolates | Chlorhexidine gluconate alone | 40% | 50 | 3.89 | 2.69 | Significant |
| Four microbial isolates | Chlorhexidine gluconate n Cetrimide | 70% | 50 | 3.63 | 2.69 | Significant |
| Four microbial isolates | Cetrimide | 70% | 50 | 8.21 | 2.69 | Significant |
| Four microbial isolates | Chlorhexidine gluconate alone | 70 | 50 | 6.09 | 2.69 | Significant |

Fig. 1a: Microbial suspension killing rate curves for Chlorohexidine gluconate+centrimide at 10% concentration

Fig. 1b: Microbial suspension killing rate curves for Chlorohexidine gluconate+centrimide at 20% concentration

Fig. 1c: Microbial suspension killing rate curves for Chlorohexidine gluconate + cetrimide at 40% concentration
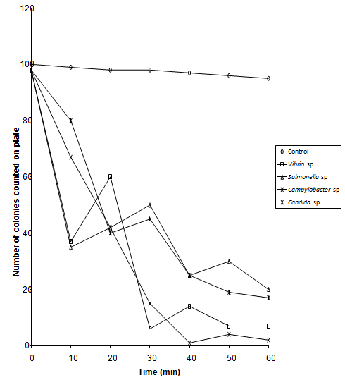
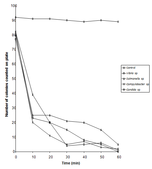
Fig. 1d shows the graphical representation of microbial suspension killing rate curve for Chlorohexidine gluconate+ Cetrimide at 70% concentration. Observation shows that Campylobacter sp. were sensitive to these active ingredients especially at 40 minutes of exposure because 1 number of colony was counted on the Petri plates, at 60 minutes 2 colonies were counted. Vibrio isolates were 7 colonies against 0 and 2 colonies counted at 40% and 20% concentration respectively. Fig. 2a shows the graphical representation of microbial suspension killing rate curve for Cetrimide alone at 10% concentration. Both Vibrio sp. and Campylobacter sp. were highly sensitive to Cetrimide compared to Cetrimide with Chlorohexidine gluconate. Salmonella sp. and Candida sp. were reduced to 3 and 3 colonies respectively after 60 minutes.

Fig. 1d: Microbial suspension killing rate curves for Chlorohexidine gluconate + cetrimide at 70% concentration
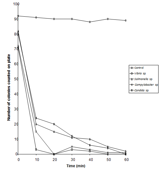
Fig. 2b shows the graph of microbial suspension killing rate curve for Cetrimide alone at 20% concentration. The potency of Cetrimide alone on Vibrio sp, Salmonella sp, Campylobacter sp. and Candida sp. was high at this concentration 20% because only 1, 0, 2, 2 colonies were found after 60 minutes of exposure respectively. Salmonella sp. was more sensitive at 20% concentration than at 10% concentration of Cetrimide, while Vibrio sp. maintained 1 number of colonies. Observation shows that 10% of Cetrimide alone can be used for a better result on Vibrio sp. and Campylobacter sp., while 20% concentration of Cetrimide was potent on Salmonella sp. Fig. 2c shows the graphical representation of microbial suspension killing rate curve for Cetrimide alone at 40% concentration. Candida isolates were reduced to zero, Vibrio sp. still remained its 1 colony while Salmonella sp. and Campylobacter sp. were reduced to 5 and 2 colonies respectively Campylobacter sp. here still remained its previous 2 colonies concentration on the Petri plate. Fig. 2d shows the graphical representation of microbial suspension killing rate curve for Cetrimide alone at 70% concentration. Vibrio isolates were reduced to zero at 50 minutes and 60 minutes of exposure, Candida sp. remained zero colony at 60 minutes, while Campylobacter isolates remained 1 number of colony and Salmonella isolates were 2 colonies. Meanwhile, Vibrio sp. and Campylobacter sp. were reduced to zero colonies at the initial period of 20 minutes of exposure before the repaired injured colonies grew back at 30 minutes till 50 minutes and then finally were reduced to zero at 60 minutes after the exposure to Cetrimide alone.

Fig. 2a: Microbial suspension killing rate curve for Cetrimide alone at 10% concentration

Fig. 2b: Microbial suspension killing rate curves for Cetrimide alone at 20% concentration

Fig. 2c: Microbial suspension killing rate curves for Cetrimide alone at 40% concentration

Fig. 2d: Microbial suspension killing rate curves for Cetrimide alone at 70% concentration
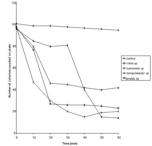
Fig. 3a shows the graph of microbial suspension killing rate curve for Chlorohexidine gluconate alone at 10% concentration. It can be deduced that Vibrio sp. Salmonella sp. Campylobacter sp. and Candida sp. were resistant to Chlorohexidine gluconate alone at 10% concentration. Fig. 3b shows the graphical representation of microbial suspension killing rate curve for Chlorohexidine gluconate alone at 20% concentration. Vibrio sp. were reduced to 10 colonies after 60 minutes of exposure, however, other microbial isolates such as Salmonella sp. Campylobacter sp. were resistant while Candida isolates were reduced to 14 colonies after 60 minutes. Fig. 3c shows the graph of microbial suspension killing rate curve for Chlorohexidine gluconate alone at 40% concentration. Vibrio sp. was reduced to 9 colonies and Candida sp. to 12 colonies. Moreover, Salmonella sp. and Campylobacter sp. were resistant after 60 minutes of exposure. Fig. 3d shows the graphical representation of microbial suspension killing rate curve for Chlorohexidine gluconate alone at 70% concentration. Vibrio sp. was reduced to 1 number of colonies after 60 minutes of exposure, while Candida sp. was reduced to 10 colonies.

Fig. 3a: Microbial suspension killing rate curves for Chlorohexidine gluconate alone at 10% concentration

Fig. 3b: Microbial suspension killing rate curves for Chlorohexidine gluconate alone at 20% concentration

Fig. 3c: Microbial suspension killing rate curves for Chlorohexidine gluconate at 40% concentration

Fig. 3d: Microbial suspension killing rate curves for Chlorohexidine gluconate at 70% concentration
DISCUSSION
The evaluation testing of antiseptics was carried out in the laboratory to assess the susceptibility of Candida albicans, Campylobacter sp., Salmonella sp. and Vibrio sp. isolated from five slaughter houses in Rivers State to biocidal agent using microbial suspension test. Samples were collected from fifty (50) butchers’ aprons (10 from each slaughter house). Similar observations have been made on clinical bacteria such as Staphylococcus aureus [13], Streptococcus agalactiae [21]. The test antiseptics (Chlorhexidine gluconate} has an affinity to skin and mucous membranes and relatively low toxicity to human cells then Cetrimide, an antiseptic which is mixture of different quaternary ammonium salts including Cetrimonium bromide (CTAB). It is the best antiseptic for cleaning road side accident wounds according to the work of [22]. Both antiseptics tested in this research are active ingredients of many pharmaceutical products such as tooth paste, creams, cold sore gel, savlon bites and stings pain relief gel, baby nappy rash creams, detergents and lots more [23]; [24]. From the result of this investigation it was discovered that the effectiveness of Chlorhexidine gluconate in combination with cetrimide was truncated in the presence of these four microbial isolates, but Cetrimide alone was highly potent on the isolates especially on Vibrio and Salmonella within 40 to 60 minutes of exposure at 10% concentration. Observations showed that the effectiveness of both antiseptics (Chlorhexidine gluconate + Cetrimide) is best achieved at 10% concentration on Vibrio sp. and Salmonella sp. though Campylobacter sp. was sensitive to it at 40% of exposure, Candida albicans showed resistance. Cetrimide was highly potency at 10% concentration on all the four isolates with insignificant colonies of 3, 3 counted against Salmonella sp. and Candida sp. after 60 minutes of exposure respectively. Studies by a number of investigators including [25]; 21], identified that exposure to low doses of Chlorhexidine may render microorganisms less virulent. According to the investigation of [11]. [10]; [27] and [28] which stated that Chlorhexidine gluconate has a broad antimicrobial activity against bacteria, fungi, and enveloped viruses and protozoa. The authors stated further that bacteria growth is inhibited at concentrations between 0.5 and 10mg/l and bactericidal activity is found at concentrations over 5mg/l depending on species and strains. [10] [26] reported that there are more bacteria resistant to Chlorhexidine, this is in correlation with the findings in this study: Candida albicans demonstrated resistance. From the overall report of this study, Cetrimide alone was most potent on the test microbial isolates, this was followed by the combination of Cetrimide + Chlorhexidine gluconate and the least potent was Chlorhexidine alone. The phenol co- efficient of Cetrimide alone using Staphylococcus, Salmonella and Pseudomonas were 1, 1.5 and 1.8 respectively while that of Chlorhexidine gluconate alone using the same organisms were 0.018, 0.09, 0.09. Chlorhexidine gluconate + Cetrimide had phenol co – efficient of 0.09, 0.14, and 0.09.
CONCLUSION
Chlorhexidine gluconate and Cetrimide are active antiseptics whose its bactericidal effects should not be underestimated in the cleansing of butchers’ apron strings after slaughter the cows in slaughter houses, this is to reduce or totally eradicate any form of infection these subjects could spread among themselves while on duty. [10] stated in his investigation that Chlorhexidine gluconate+ Cetrimide has a broad antimicrobial activity against bacteria, fungi and enveloped viruses and protozoa, constant usage of these antiseptics for cleansing the butchers aprons can also be extended to washing of hands, this will go a long way to reduce the spread of pathogenic microorganisms among the slaughter house workers, meat and food, even curb Ebola virus, the present world outbreak infection, among the subjects. The result also indicated that Cetrimide alone, then the combination of Chlorhexidine gluconate + Cetrimide demonstrated effectiveness at 10% concentration to the test microbial isolates (Salmonella, Campylobacter, Candida and Vibrio species), therefore they are recommended at this concentration to be used for cleansing butchers apron strings after work, this is to protect both the workers and the meat against microbial contamination that could result to deadly infections. Good health is important for workers in the meat industry. It is then recommended that the clothing of slaughter workers must be clean. Working apron should be comfortable and easy to wash; their design should encourage good hygiene habits. Arrangement for storage of aprons should be available outside toilets and rest room. Based on these findings the slaughterhouse workers are advised to wash their aprons in 10% concentration of cetrimide with clean and portable water; this will pose bacteristatic and bactericidal effects on pathogenic microorganisms and discourage contaminants in our meat products as well as reducing the spread of diseases among the workers.
ACKNOWLEDGEMENT
Our appreciation goes to the staff of Johnson & Johnson Company, Lagos and the directors of slaughter houses examined, for their friendly cooperation in getting the necessary materials for this research.
CONFLICT OF INTERESTS
There is no conflict of interest concerning this article
REFERENCES