1Department of Pharmacy, Andalas University, Kampus Limau Manis Padang, Indonesia, 2Faculty of Medicine, Andalas University, Kampus Limau Manis Padang, Indonesia.
Email: erizal@ffarmasi.unand.ac.id
Received: 06 Nov 2014 Revised and Accepted: 28 Nov 2014
ABSTRACT
Objective: The aim of the current study was to prepare an amorphous solid dispersion of ketoprofen in polymer PVP K-30 by solvent co-evaporation technique and to characterize the physicochemical properties.
Methods: An amorphous solid dispersion of ketoprofen, a water insoluble non-steroidal anti- inflammatory drug with polyvinyl pyrrolidone K-30, were prepared by solvent co-evaporation method at drug to polymer ratios 1:1, 1:3, 1:5 and 1:9 (w/w). Physicochemical properties of the solid drug were evaluated by X-ray powder diffractometry (XRPD), differential thermal analysis (DTA) and scanning electron microscopy (SEM). Dissolution studies were conducted according to the USP paddle method.
Results: The X-ray powder diffraction and differential thermal analysis showed that ketoprofen was transformed from a crystalline phase to an amorphous state, as showed by disappearance of its characteristic of diffraction peaks and an endothermic peak. SEM Microphoto of amorphous solid dispersion showed homogeneous size and morphology. In addition, ketoprofen in amorphous solid dispersion showed better dissolution rate compared to crystalline drugs. The dissolution efficiency (DE) of ketoprofen from its amorphous solid dispersion increased with an increasing ratio of polymer.
Conclusion: The study has shown that dispersions of ketoprofen into water-soluble polymer PVP K-30 formed an amorphous ketoprofen in solid dispersion system. All amorphous solid dispersion of ketoprofen in PVP K-30 prepared by solvent co-evaporation demonstrated a significant improvement in dissolution rate of ketoprofen compared to pure ketoprofen.
Keywords: Solvent co-evaporation, Amorphous solid dispersion, Ketoprofen, Polyvinyl pyrrolidone K-30.
INTRODUCTION
Solubility is one of important physicochemical properties to predicting absorption of drug compound in the gastrointestinal tract. For poorly-water-soluble drugs, the dissolution process is a rate-determining step in their gastrointestinal absorption. Ketoprofen((R,S)-2-(3-benzoylphenyl) propionic acid) is a nonsteroidalanti-inflammatory drug (NSAID) that relieves the pain, fever and inflammation in the body. It is a solid crystalline that is practically insoluble in water (0.13 mg mL-1 at 25 °C) and easily absorbed in the gastrointestinal tract. Ketoprofenbelongs to class II drugs ofBiopharmaceutical Classification System (BCS) namely drug compounds with high membrane permeability and low solubility; thus it is important to enhance the dissolution rate of ketoprofen [1].
Many methods have been employed to enhance the dissolution rate of poorly-soluble drugs, such as co-grinding with hydrophilic polymer, co-crystal formation, inclusion complexes and salt formation [2-5]. Previous studies have been reported to enhance the dissolution rate of ketoprofen by several techniques, such as, salt formation, inclusion complexes with β- cyclodextrin, and co-grinding with various polymers [6-8]. One of the most interesting approaches to improve the dissolution rate is preparation of amorphous solid dispersion system using water-soluble polymer. This system consists of a polymer as a carrier and the solid drug can be dispersed homogeneously as an amorphous state [9].
Some dosage forms on the current market use amorphous dispersion technology system. For example, itraconazole (marketed under the brand name Sporanox®capsule), is an anti-fungal drug which is a triazole derivative and is poorly-soluble in water; it uses HPMC polymer matrix to form an amorphous solid dispersion system. Another example, vemurafenib is an active pharmaceutical ingredient(Zelboraf® trademark, tablet dosage form) which contains a dispersion of amorphous vemurafenib in HPMCAS-LF produced through solvent / antisolvent precipitation methods [10].
An amorphous solid drug is in a higher thermodynamic energy state compared to its crystalline state. Due to higher molecular mobility within the system, amorphous solid has a greater solubility and dissolution rate. However, the use of amorphous state gives rise to physical and chemical reactivity problems, which can tend to transform to the thermodynamic stable crystalline form and degrade faster than the stable form during the manufacturing process and storage conditions [11]. Some water soluble polymers such as PVP K-30, HPMC, and PEG 6000 can inhibit the phase transformation through intermolecular interaction. Consequently, molecular mobility is lowered, so that the solid remains in its amorphous state.
The objective of the current study was to prepare the amorphous solid dispersion of ketoprofen in polymer PVP K-30 by solvent co-evaporation technique. The physicochemical properties of the samples were evaluated by powder X-ray diffractometry, differential thermal analysis, scanning electron microscope, and in vitro dissolution rate study.
MATERIALS AND METHODS
Materials
Ketoprofen was kindly supplied by Dexamedica, PVP K-30 by Delta Chemical. The chemicals used were isopropyl alcohol (Merck), KH2PO4(Bratachem), NaOH (Bratachem), methanol (Bratachem), and distilled water.
Preparation of amorphous solid dispersions ketoprofen–PVP K-30
The amorphous solid dispersions of ketoprofen-PVP K-30 was prepared by solvent co-evaporation method at drug to polymer ratios of 1:1, 1:3, 1:5 and 1:9 (w/w). Isopropyl alcohol was used as the solvent and evaporated in a vacuum oven at40 - 50 °C. The samples were dried over silica gel in a desiccator at room temperature. The dried powder was pulverized in mortar with pestle and passed through 250 µm screen and stored in a desiccator.
X-Ray powder diffractometry (XRD)
X-ray diffraction analysis of the powder samples was done at room temperature using a type PAN Analythical Diffractometer (The Netherlands). The measurement condition is described as follow: Cu metal target, Kα filter, voltage 40 kV, 40 mA current, the analysis performed on the 2 theta range 5-35°. The sample was placed on the sample holder and leveled to prevent particle disorientation during sample preparation.
Differential thermal analysis (DTA)
Thermal behavior of the samples was analyzed by a DTA/TG-60 Shimadzu (Japan). Analysis was performed on pure ketoprofen, PVP K-30, and the amorphous solid dispersion. The samples (5-10 mg)were prepared in sealed pans. Heating temperature was started from 40–450 0 C at a heating rate of 10 0 C/ minute.
Scanning electron microscopy (SEM)
SEM analysis was carried out by using a Jeol scanning electron microscope (JEOL model JSM-6360LA, Tokyo, Japan). The powder sample was placed on the sample holder and coated with gold aluminum with a thickness of 10 nm. The samples was then observed with various magnification SEM tools, and the voltage was set at 20 kV and 12 mA current.
Dissolution studies
The In-vitro drug dissolution properties of ketoprofen, amorphous solid dispersion were examined according to the USP paddle method using dissolution tester (Hanson Research SR08, USA). A sample equivalent to 50 mg of ketoprofen was dispersed in 1000 mL of phosphate buffer (pH 7.4). The dissolution medium was maintained at 37 ± 0.5 °C and stirred at 50 rpm. A sample of 5 mL was withdrawn from each vessel at interval times of 5, 10, 15, 30, 45 and 60 minutes and replaced by fresh dissolution medium. The concentration of ketoprofen was determined spectrophotometrically at 260.6 nm wavelength. All experiments were done in triplicate.
RESULTS AND DISCUSSION
X-ray diffraction studies were performed in order to characterize the solid state properties of the solid dispersion system and the pure drug. This technique is extremely reliable to evaluate the changes in the crystalline phase and amorphization of solid drug as a result of excipient interactions[12]. X-ray diffraction pattern of pure ketoprofen and solid dispersion is depicted in fig. 1. X-ray diffraction pattern of intact ketoprofen exhibits characteristics of sharp diffraction peaks at 2 theta value = 13.1; 14.2; 17.12; 18.3; 20.06; 22.83 and 23.7, indicating that ketoprofen is solid crystalline. However, X-ray diffraction pattern of PVP K-30 shows a broad and diffused pattern because of its random arrangement of the molecule in the crystal lattice. X-ray diffraction pattern of solid dispersions of ketoprofen- PVP K-30 shows no crystallinity, indicating that ketoprofen is present in amorphous form in all solid dispersion. There were no characteristics of diffraction peaks of crystalline ketoprofen in X-ray diffraction pattern of solid dispersion. Ketoprofen was converted to the amorphous form and forms one phase system with PVP K-30.

Fig. 1: X-ray diffraction pattern for a) pure ketoprofen, b) PVP K-30, c) solid dispersion of ketoprofen-PVP K-30 at ratio 1:1, d) solid dispersion of ketoprofen-PVP K-30 at ratio 1:3, e) solid dispersion of ketoprofen-PVP K-30 at ratio 1:5 and f) solid dispersion of ketoprofen-PVP K-30 at ratio 1:9
The Crystal structure of a solid drug is an important property that can influence the solubility and dissolution rate. Amorphous state and metastable polymorphs have a better dissolution rate than stable forms, such as efavirenz and chloramphenicol [13, 14]. However, the drawback of this phase is the low physical and chemical stability, so it is easy to revert to stable forms. Preparation of amorphous solid dispersion with water soluble polymer can inhibit phase transformation and stabilize amorphous forms upon storage, consequently improving the physical-chemical stability and dissolution rate [15].
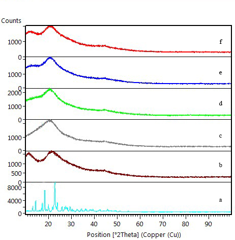
DTA thermal analysis is also a useful analytical tool in characterization of solid state interaction between two or more solid drug materials. DTA analysis is used to investigate the thermodynamic properties of the solid material that occurs when heat energy is applied, such as recrystallization, melting, dehydration, and polymorphic transformation, which is indicated by the endothermic and exothermic peaks in the DTA thermogram [16]. Fig. 2 illustrates the DTA thermogram of pure ketoprofen, PVP K-30, and amorphous solid dispersion systems. The DTA thermogram of pure ketoprofen showed a single sharp endothermic peak at 97.79, which is the melting point of ketoprofen, indicating its crystalline properties, while the DTA thermogram of PVP K-30 showed a broad endothermic at temperature about 58.36 – 100 °C, due to dehydration event.
The DTA thermogram of solid dispersion of ketoprofen in PVP K-30 exhibited the absence of endothermic peak of ketoprofen, proving that crystalline ketoprofen was dispersed molecularly in water soluble polymer and converted to an amorphous form. DTA thermogram and X-ray powder diffraction pattern were revealed that amorphization of ketoprofen occurred in all of the solid dispersions of ketoprofen as a result of drug dissolution into water soluble polymer PVP K-30.

Fig. 2: DTA thermogram for: a) pure ketoprofen, b) PVP K-30, c) solid dispersion of ketoprofen-PVP K-30 at ratio 1:1, d) solid dispersion of ketoprofen-PVP K-30 at ratio 1:3, e) solid dispersion of ketoprofen-PVP K-30 at ratio 1:5 and f) solid dispersion of ketoprofen-PVP K-30 at ratio 1:9
The SEM microphoto of the raw materials revealed that ketoprofen was characterized by irregular shaped crystals, whereas PVP K-30 formed spherical particles with uneven surfaces (Fig. 3 a,b). The amorphous solid dispersion of ketoprofen represented homogenous and amorphous aggregates of spherical particles with smooth surfaces (Fig. 1d - f). The particle of solid dispersion formed a homogeneous one phase system, which could not be distinguished between the crystalline drug (ketoprofen) and the water soluble polymer PVP K-30.
Several techniques have been used to enhance dissolution and bioavailability of poorly soluble drugs, such as salt formation, particle size reduction and the preparation of solid dispersion. In general, solid dispersion system may be referred as dispersion of solid drug in a biologically inert carrier (usually a water soluble polymer) at solid state prepared by solvent co-evaporation, fusion and combination between solvent co-evaporation and fusion [17]. In the present study, amorphous solid dispersion of ketoprofen was prepared using water soluble polymer PVP K-30 by solvent co-evaporation technique. The dissolution rate of ketoprofen in phosphate buffer (pH 7.4) medium is very low; only about 45 % of ketoprofen dissolved in 60 minutes. This is due to the solubility and wettability of ketoprofen is low (fig. 4). The dissolution rate of ketoprofen in all solid dispersions with PVP K-30 increased about 2-fold. Another parameter for the calculation of in vitro dissolution is dissolution efficiency. It is defined as the area under the dissolution curve up to the time (t), expressed as a percentage of area of the rectangle, described by 100 % dissolution in the same time [18]. Table 1 shows the dissolution efficiency (DE) of ketoprofen increased with an increasing ratio of polymer (PVP K-30). Increase in dissolution rate of solid drug compounds with solid dispersion technique can be achieved through the following mechanisms: 1). Decrease in the degree of crystallinity of the solids phase solid 2) increased wettability due to carrier water soluble polymer drug and, 3) Particle size reduction of active substances to the molecular state [9].
Fig. 3: SEM microphoto for a) intact ketoprofen, b) PVP K-30, c) solid dispersion of ketoprofen-PVP K-30 at ratio 1:1, d) solid dispersion of ketoprofen-PVP K-30 at ratio 1:3, e) solid dispersion of ketoprofen-PVP K-30 at ratio 1:5 and f) solid dispersion of ketoprofen-PVP K-30 at ratio 1:9

Fig. 4: Dissolution profile for:
Pure ketoprofen,
Solid Dispersion of ketoprofen-PVP K-30 at ratio 1:1,
Solid Dispersion of ketoprofen-PVP K-30 at ratio 1:3,
Solid Dispersion of ketoprofen-PVP K-30 at ratio 1:5,
Solid Dispersion of ketoprofen-PVP K-30 at ratio 1:9
Table 1: Percentage of dissolution efficiency (DE)
| DE (%) | |
| Pure ketoprofen | 33.85 ± 4.11 |
| Solid dispersion 1:1 | 73.45 ± 4.32 |
| Solid dispersion 1:3 | 83.63 ± 0.14 |
| Solid dispersion 1:5 | 86.06 ± 0.51 |
| Solid dispersion 1:9 | 87.86 ± 0.81 |
CONCLUSION
The study clearly showed that the formation of an amorphous solid dispersion in water-soluble polymer PVP K-30 significantly improved the dissolution rate of ketoprofen. The increase in dissolution of ketoprofen from solid dispersion is attributed to several factors such as amorphization of crystalline drug and the solubilization effect of the water-soluble polymer PVP K-30.
CONFLICT INTERESTS
Declared none.
REFERENCES