1School of Pharmaceutical Sciences, IFTM University, Moradabad 244102, Uttar Pradesh, India, 2School of Medical and Allied Sciences, Department of Pharmacy, Galgotias University, greater Noida 203201, Uttar Pradesh, India, 3Oxford College of Pharmacy, Ghaziabad 201001, Uttar Pradesh, India, 4Department of Pharmaceutical Technology, Meerut Institute of Engineering & Technology, Meerut 250005, Uttar Pradesh, India
Email: niranjankaushik79@gmail.com
Received: 06 Nov 2014 Revised and Accepted: 10 Dec 2014
ABSTRACT
Objectives: The objective of the present study is to synthesize 3-substituted phenyl-6-phenyl-7H-[1, 2, 4] triazolo [3, 4-b][1,3,4] thiadiazine. The structures of all the synthesized compounds were characterized by IR, 1H NMR and mass spectral studies.
Methods: The titled compounds were synthesized by the reaction of substituted benzoic acid with thiocarbohydrazide followed by refluxing with 2-bromoacetophenone in ethanol. These compounds were evaluated for in-vitro antioxidant activity by 2, 2-diphenyl-1-picrylhydrazyl (DPPH) free radical scavenging method.
Results: Compounds 2e and 2i exhibited good antioxidant activity as compared with standard, ascorbic acid.
Conclusion: In summary, 3-substituted phenyl-6-phenyl-7H-[1, 2, 4] triazolo [3, 4-b] [1, 3, 4] thiadiazine derivatives have been synthesized and characterized. In-vitro antioxidant activity of the compounds was screened by DPPH free radical scavenging method. Among the synthesized compounds, the compounds 2e and 2i have been shown the most prominent antioxidant activity using ascorbic acid as standard. The future perspective of in-vivo antioxidant evaluation of these compounds can be the potential lead.
Keywords: Thiocarbohydrazide, Thiadiazine, Antioxidant activity, Triazole.
INTRODUCTION
Antioxidants are the reducing agents which used to stabilize some free radicals which produced as a result of cellular metabolism. Some of these free radicals or Reactive Oxygen Species (ROS) are destructive to cell and stabilization of these radicals is necessary to the proper functioning or protection for the cell. The antioxidants can be promising prophylactic agents in pathogenesis [1]. Some food items, vegetables, and fruits act as antioxidants [2-6].
Antioxidants are extensively studies for their capacity to protect organisms and cells from damage induced by oxidative stress. Scientists in various disciplines have become more interested in the new compounds, either synthesized or obtained from natural sources that could provide an active component to prevent or reduce the impact of oxidative stress on cell [7]. Exogenous chemicals and endogenous metabolic process in human body might produce highly reactive free radicals, especially oxygen derived radicals, which are capable of oxidizing biomolecules, resulting in cell death and tissue damage. Oxidative damage plays a significant pathological role in human disease, for example; cancer, emphysema, cirrhosis, atherosclerosis and arthritis have all been correlated with oxidative damage. Furthermore, excessive generation of ROS (reactive oxygen species) induced by various stimuli and which exceeds the antioxidant capacity of the organism leads to a variety of pathophysiological processes such as inflammation, diabetes, genotoxicity and cancer [8].
To protect the cells and organ systems within the body against reactive oxygen species, humans have evolved a highly sophisticated and complex antioxidant protection system. It involves a variety of components, both endogenous and exogenous in origin, that function interactively and synergistically to neutralize free radicals [9].
Triazolothiadiazine derivatives are known to exhibit antimicrobial [10, 11], anticancer [12, 13], anti-HIV [13], anti-inflammatory and analgesic [14], anthelmintic [15], antioxidant [16] and antiviral properties [17]. This potential activity profile of triazolothiadiazine derivatives motivated us to synthesize some new triazolothiadiazine derivatives and screen them for antioxidant activity to find some new compounds having potential activity. In this view, some triazolothiadiazine derivatives have been synthesized, characterized by different spectral studies and screened for their in-vitro antioxidant potential.
MATERIALS AND METHODS
All the reagents were purchased from commercial sources and were used after being purified by standard procedures. Melting point was determined by open capillary method and is uncorrected. All the reactions were monitored by TLC on silica gel thin layer plates. IR spectra were recorded by using KBr disk on Shimadzu FTIR-8400S. 1H NMR spectra were recorded on a JEOL AL300 FTNMR 300 MHz spectrophotometer by using tetramethylsilane as internal standard. The values of chemical shift (δ) are given in ppm. Mass spectra were carried out using Waters Micro mass Q-Tof Micro. Mass spectrometer equipped with electrospray ionization (ESI).
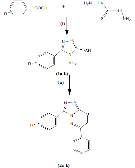
General procedure for the synthesis of 4-amino-3-(substituted phenyl)-5-mercapto-1, 2, 4-trizole (1a-k)
A mixture of substituted benzoic acid (0.01 mol.) and thio carbohydrazide (0.015 mol.) were heated until the contents were melted. The mixture was maintained at this temperature for 15-20 minutes, the product obtained on cooling was treated with sodium bicarbonate solution to dissolve unreacted carboxylic acid if any. The product then washed with water, filtered and recrystallized with ethanol.
Synthesis of 4-amino-3-(phenyl)-5-mercapto-1, 2, 4-trizole (1a)
Brown black solid; Yield: 86%; m. p.: 148-150 °C; IR (KBr, vmax, cm-1): 3406 (NH2), 3093 (Ar-CH), 1635 (C=N), 1595 (C=C), 1384 (C-N), 1070 (C-S); 1H NMR (DMSO-d6, 300 MHz) δ: 7.54-7.24 (m, 5H, Ar H), 3.45 (s, 1H, SH), 2.27 (s, 2H, NH2).
Synthesis of 4-amino-3-(2-amino-4-chlorophenyl)-5-mercapto-1, 2, 4-trizole (1b)
Brown solid; Yield: 82%; m. p.: 162-164 °C; IR (KBr, vmax, cm-1): 3468 (NH2), 3097 (Ar-CH), 1639 (C=N), 1598 (C=C), 1323 (C-N), 1070 (C-S), 761 (C-Cl); 1H NMR (DMSO-d6, 300 MHz) δ: 7.36 (d, 1H, Ar H), 6.84 (d, 1H, Ar H), 6.67 (s, 1H, Ar H), 4.26 (s, 2H, NH2, benzene ring), 3.38 (s, 1H, SH), 2.21 (s, 2H, NH2).
Synthesis of 4-amino-3-(4-fluoro-3-nitrophenyl)-5-mercapto-1, 2, 4-trizole (1c)
Yellow brown solid; Yield: 74%; m. p.: 168-170 °C; IR (KBr, vmax, cm-1): 3409 (NH2), 3012 (Ar-CH), 1629 (C=N), 1593 (C=C), 1544 (NO2), 1384, (C-N), 1114 (C-F), 1070 (C-S); 1H NMR (DMSO-d6, 300 MHz) δ: 8.02 (s, 1H, Ar H), 7.67 (d, 1H, Ar H), 7.44 (d, 1H, Ar H), 3.16 (s, 1H, SH), 2.38 (s, 2H, NH2).
Synthesis of 4-amino-3-(2, 5-dimethoxyphenyl)-5-mercapto-1, 2, 4-trizole (1d)
Brown solid; Yield: 68%; m. p.: 146-148 °C; IR (KBr, vmax, cm-1): 3484 (NH2), 3070 (Ar-CH), 1643 (C=N), 1593 (C=C), 1334, (C-N), 1217 (OCH3), 1070 (C-S); 1H NMR (DMSO-d6, 300 MHz) δ: 7.06 (s, 1H, Ar H), 6.88 (d, 1H, Ar H), 6.64 (d, 1H, Ar H), 3.74 (s, 6H, OCH3), 3.29 (s, 1H, SH), 2.17 (s, 2H, NH2).
Synthesis of 4-amino-3-(4-aminomethylphenyl)-5-mercapto-1, 2, 4-trizole (1e)
Black solid; Yield: 65%; m. p.: 136-138 °C; IR (KBr, vmax, cm-1): 3472 (NH2), 3064 (Ar-CH), 2773 (CH2), 1643 (C=N), 1564 (C=C), 1330, (C-N), 1087 (C-S); 1H NMR (DMSO-d6, 300 MHz) δ: 7.57 (d, 2H, Ar H), 7.31 (d, 2H, Ar H), 3.72 (s, 2H, CH2), 3.25 (s, 1H, SH), 2.38 (s, 4H, NH2).
Synthesis of 4-amino-3-(3-hydroxy-4-nitrophenyl)-5-mercapto-1, 2, 4-trizole (1f)
Brownish black solid, Yield: 72%; m. p.: 129-131 °C; IR (KBr, vmax, cm-1): 3583 (OH), 3478 (NH2), 3020 (Ar-CH), 1647 (C=N), 1593 (NO2), 1500 (C=C), 1330, (C-N), 1065 (C-S); 1H NMR (DMSO-d6, 300 MHz) δ: 7.87 (d, 1H, Ar H), 7.54 (d, 1H, Ar H), 7.12 (s, 1H, Ar H), 4.87 (s, 1H, OH), 3.22 (s, 1H, SH), 2.16 (s, 2H, NH2).
Synthesis of 4-amino-3-(2-amino-5-iodophenyl)-5-mercapto-1, 2, 4-trizole (1g)
Brown solid, Yield: 66%; m. p.: 183-185 °C; IR (KBr, vmax, cm-1): 3415 (NH2), 3020 (Ar-CH), 1598 (C=N), 1500 (C=C), 1382, (C-N), 1070 (C-S), 526 (C-I); 1H NMR (DMSO-d6, 300 MHz) δ: 7.83 (s, 1H, Ar H), 7.18 (d, 1H, Ar H), 6.74 (d, 1H, Ar H), 4.23 (s, 2H, NH2, benzene ring), 3.27 (s, 1H, SH), 2.19 (s, 2H, NH2).
Synthesis of 4-amino-3-(2-iodophenyl)-5-mercapto-1, 2, 4-trizole (1h)
Brown solid; Yield: 65%; m. p.: 173-175 °C; IR (KBr, vmax, cm-1): 3432 (NH2), 3087 (Ar-CH), 1645 (C=N), 1568 (C=C), 1330, (C-N), 1087 (C-S), 466 (C-I); 1H NMR (DMSO-d6, 300 MHz) δ: 7.87-7.02 (m, 4H, Ar H), 3.34 (s, 1H, SH), 2.12 (s, 2H, NH2).
Synthesis of 4-amino-3-(benzoylphenyl)-5-mercapto-1, 2, 4-trizole (1i)
Yellowish white solid; Yield: 70%; m. p.: 163-165 °C; IR (KBr, vmax, cm-1): 3371 (NH2), 3087 (Ar-CH), 1647 (C=O), 1627 (C=N), 1596 (C=C), 1384, (C-N), 1070 (C-S); 1H NMR (DMSO-d6, 300 MHz) δ: 7.82-7.18 (m, 9H, Ar H), 3.34 (s, 1H, SH), 2.29 (s, 2H, NH2).
Synthesis of 4-amino-3-(3-fluoro-4-methoxyphenyl)-5-mercapto-1, 2, 4-trizole (1j)
Yellow solid; Yield: 73%; m. p.: 180-182 °C; IR (KBr, vmax, cm-1): 3454 (NH2), 3068 (Ar-CH), 1643 (C=N), 1566 (C=C), 1380, (C-N), 1155 (OCH3), 1087 (C-F), 1072 (C-S); 1H NMR (DMSO-d6, 300 MHz) δ: 7.25 (d, 1H, Ar H), 7.15 (s, 1H, Ar H), 7.08 (d, 1H, Ar H), 3.87 (s, 3H, OCH3), 3.42 (s, 1H, SH), 2.36 (s, 2H, NH2).
Synthesis of 4-amino-3-(3-chloro-4-fluorophenyl)-5-mercapto-1, 2, 4-trizole (1k)
Yellow solid; Yield: 66%; m. p.: 158-160 °C; IR (KBr, vmax, cm-1): 3440 (NH2), 3076 (Ar-CH), 1643 (C=N), 1596 (C=C), 1334, (C-N), 1116 (C-F), 1087 (C-S), 751 (C-Cl); 1H NMR (DMSO-d6, 300 MHz) δ: 7.34 (s, 1H, Ar H), 7.18 (s, 1H, Ar H), 7.04 (s, 1H, Ar H), 3.18 (s, 1H, SH), 2.07 (s, 2H, NH2).
General procedure for the synthesis of 3-substituted phenyl-6-phenyl-7H-[1, 2, 4] triazolo [3, 4-b][1,3,4] thiadiazine (2a-k)
A mixture of 4-amino-3-(substituted phenyl)-5-mercapto-1, 2, 4-trizole 1a-k (0.01 mol) and 2-bromoacetophenone (0.01 mol) in ethanol (25 ml) was kept under reflux for about 6 hrs. The reaction mixture was cool, solid precipitate was filtered, washed with water and dried. The resulted compounds were purified by column chromatography using ethanol: dioxan (4:1) as mobile phase.
3, 6-diphenyl-7H-[1,2,4] triazolo [3, 4-b][1,3,4] thiadiazine (2a)
Brown solid; Yield: 34%; m. p.: 110-112 °C; IR (KBr, vmax, cm-1): 3048 (Ar-CH), 2832 (CH2), 2365 (N-N=), 1622 (C=N), 1588 (C=C), 1367(C-N), 1054 (C-S); 1H NMR (DMSO-d6, 300 MHz) δ: 7.82-7.16 (m, 10H, Ar H), 3.37 (s, 2H, CH2, thiadiazine); MS (m/z): 292 (M)+; Anal. Calcd. for C16H12N4S: C, 65.73; H, 4.14; N, 19.16; S, 10.97.
5-chloro-2-(6-phenyl-7H-[1,2,4] triazolo [3, 4-b][1,3,4] thiadiazin-3-yl) benzamine (2b)
Yellow solid; Yield: 35%; m. p.: 118-120 °C; IR (KBr, vmax, cm-1): 3517 (NH2), 3022 (Ar-CH), 2881 (CH2), 2360 (N-N=), 1629 (C=N), 1592 (C=C), 1380, (C-N), 1089 (C-S), 760 (C-Cl); 1H NMR (DMSO-d6, 300 MHz) δ: 7.56-7.22 (m, 5H, Ar H), 7.03 (d, 1H, Ar H), 6.98 (d, 1H, Ar H), 6.87 (s, 1H, Ar H), 4.17 (s, 2H, NH2), 3.32 (s, 2H, CH2, thiadiazine); MS (m/z) 341 (M)+; Anal. Calcd. for C16H12ClN5S: C, 56.22; H, 3.54; Cl, 10.37; N, 20.49; S, 9.38.
3-(4-fluoro-3-nitropheny)-6-phenyl-7H-[1,2,4]triazolo[3,4-b][1,3,4]thiadiazine (2c)
Black solid; Yield: 41%; m. p.: 130-132 °C; IR (KBr, vmax, cm-1): 2956 (Ar-CH), 2852 (CH2), 2381 (N-N=), 1612 (C=N), 1598 (C=C), 1542 (NO2), 1384, (C-N), 1070 (C-S), 991 (C-F); 1H NMR (DMSO-d6, 300 MHz) δ: 7.81 (d, 1H, Ar H), 7.68-7.37 (m, 5H, Ar H), 7.31 (s, 1H, Ar H), 7.28 (d, 1H, Ar H), 3.28 (s, 2H, CH2, thiadiazine); MS (m/z) 354 (M)+; Anal. Calcd. for C16H10FN5O2S: C, 54.08; H, 2.84; F, 5.35; N, 19.17; O, 9.00; S, 9.02.
3-(2,5-dimethoxypheny)-6-phenyl-7H-[1,2,4]triazolo[3,4-b] [1,3,4] thiadiazine (2d)
Yellowish white solid; Yield: 36%; m. p.: 122-124 °C; IR (KBr, vmax, cm-1): 3076 (Ar-CH), 2881 (CH2), 2360 (N-N=), 1631 (C=N), 1529 (C=C), 1384 (C-N), 1107 (OCH3), 1070 (C-S); 1H NMR (DMSO-d6, 300 MHz) δ: 7.69-7.25 (m, 5H, Ar H),6.92 (s, 1H, Ar H), 6.78 (d, 2H, Ar H), 3.78 (s, 6H, OCH3), 3.31 (s, 2H, CH2, thiadiazine); MS (m/z) 352 (M)+; Anal. Calcd. for C18H16N4O2S: C, 61.35; H, 4.58; N, 15.19; O, 9.08; S, 9.10.
(4-(6-phenyl-7H-[1,2,4]triazolo[3,4-b][1,3,4]thiadiazin-3-yl)phenyl) methanamine (2e)
Yellowish brown solid; Yield: 34%; m. p.: 139-141 °C; IR (KBr, vmax, cm-1): 3585 (NH2), 3055 (Ar-CH), 2881 (CH2), 2360 (N-N=), 1631 (C=N), 1596 (C=C), 1074 (C-S); 1H NMR (DMSO-d6, 300 MHz) δ: 7.64-7.35 (m, 5H, Ar H), 7.27 (d, 2H, Ar H), 7.16 (d, 2H, Ar H), 4.18 (s, 2H, CH2), 3.38 (s, 2H, CH2, thiadiazine), 2.31 (s, 2H, NH2); MS (m/z) 321 (M)+; Anal. Calcd. for C17H15N5S: C, 63.53; H, 4.70; N, 21.79; S, 9.98.
2-nitro-5-(6-phenyl-7H-[1,2,4] triazolo [3, 4-b][1,3,4] thiadiazin-3-yl)phenol (2f)
Yellow solid; Yield: 28%; m. p.: 187-189 °C; IR (KBr, vmax, cm-1): 3540 (OH), 3032 (Ar-CH), 2883 (CH2), 2340 (N-N=), 1625 (C=N), 1530 (C=C), 1024 (C-S), 1597 (NO2); 1H NMR (DMSO-d6, 300 MHz) δ: 7.95 (d, 1H, Ar H), 7.58-7.33 (m, 5H, Ar H), 7.27 (s, 1H, Ar H), 7.22 (d, 1H, Ar H), 4.76 (s, 1H, OH), 3.27 (s, 2H, CH2, thiadiazine); MS (m/z) 353 (M)+; Anal. Calcd. for C17H13N5O4S: C, 53.26; H, 3.42; N, 18.27; O, 16.69; S, 8.36.
4-iodo-2-(6-phenyl-7H-[1,2,4]triazolo[3,4-b][1,3,4]thiadiazin-3-yl)benzenamine (2g)
Reddish brown solid; Yield: 31%; m. p.: 172-174 °C; IR (KBr, vmax, cm-1): 3510 (NH2), 3058 (Ar-CH), 2854 (CH2), 2345 (N-N=), 1625 (C=N), 1596 (C=C), 1056 (C-S), 472 (C-I); 1H NMR (DMSO-d6, 300 MHz) δ: 7.66 (s, 1H, Ar H), 7.55-7.36 (m, 5H, Ar H), 7.22 (d, 1H, Ar H), 6.87 (d, 1H, Ar H), 4.37 (s, 2H, NH2), 3.32 (s, 2H, CH2, thiadiazine); MS (m/z) 432 (M)+; Anal. Calcd. for C16H12IN5S: C, 44.35; H, 2.79; I, 29.29; N, 16.16; S, 7.40.
3-(2-iodophenyl)-6-phenyl-7H-[1,2,4]triazolo[3,4-b][1,3,4]thiadiazine (2h)
Brown solid; Yield: 37%; m. p.: 169-171 °C; IR (KBr, vmax, cm-1): 3062 (Ar-CH), 2815 (CH2), 2354 (N-N=), 1602 (C=N), 1510 (C=C), 1068 (C-S), 480 (C-I); 1H NMR (DMSO-d6, 300 MHz) δ: 7.75-7.22 (m, 9H, Ar H), 3.26 (s, 2H, CH2, thiadiazine); MS (m/z) 417 (M)+; Anal. Calcd. for C16H11IN4S: C, 45.95; H, 2.65; I, 30.34; N, 13.40; S, 7.67.
[
Reagents and conditions: (i) Heat until melt, NaHCO3 (ii) 2-bromoacetophenon, C2H5OH, reflux
Scheme 1: Sunthetic pathway for the compound 2a-k
Phenyl (2-(6-phenyl)-7H-[1,2,4]triazolo[3,4-b][1,3,4]thiadiazin-3-yl)phenyl) methanone (2i)
Brown solid; Yield: 27%; m. p.: 183-185 °C; IR (KBr, vmax, cm-1): 3055 (Ar-CH), 2852 (CH2), 2349 (N-N=), 1674 (C=O), 1629 (C=N), 1529 (C=C), 1070 (C-S); 1H NMR (DMSO-d6, 300 MHz) δ: 7.78-7.33 (m, 14H, Ar H), 3.18 (s, 2H, CH2, thiadiazine); MS (m/z) 397 (M)+; Anal. Calcd. for C23H16N4OS: C, 69.68; H, 4.07; N, 14.13; O, 4.04; S, 8.09.
3-(3-fluoro-4-methoxyphenyl)-6-phenyl-7H-[1,2,4]triazolo[3,4-b][1,3,4]thiadiazine (2j)
Reddish brown solid; Yield: 34%; m. p.: 176-178 °C; IR (KBr, vmax, cm-1): 3060 (Ar-CH), 2852 (CH2), 2336 (N-N=), 1604 (C=N), 1544 (C=C), 1118 (OCH3), 1072 (C-F), 1066 (C-S); 1H NMR (DMSO-d6, 300 MHz) δ: 7.53-7.32 (m, 5H, Ar H), 7.21 (d, 1H, Ar H), 7.14 (s, 1H, Ar H), 6.98 (d, 1H, Ar H), 3.64 (s, 3H, OCH3), 3.18 (s, 2H, CH2, thiadiazine); MS (m/z) 341 (M)+; Anal. Calcd. for C17H13FN4OS: C, 59.99; H, 3.65; F, 5.58; N, 16.46; O, 4.70; S, 9.42.
3-(3-chloro-5-fluorophenyl)-6-phenyl-7H-[1,2,4]triazolo[3,4-b][1,3,4]thiadiazine (2k)
Brick red solid; Yield: 32%; m. p.: 187-189 °C; IR (KBr, vmax, cm-1): 3035 (Ar-CH), 2848 (CH2), 2347 (N-N=), 1615 (C=N), 1531 (C=C), 1022 (C-F), 1070 (C-S), 609 (C-Cl); 1H NMR (DMSO-d6, 300 MHz) δ: 7.67-7.25 (m, 5H, Ar H), 7.17 (s, 1H, Ar H), 7.05 (s, 1H, Ar H), 6.86 (s, 1H, Ar H), 3.16 (s, 2H, CH2, thiadiazine); MS (m/z) 344 (M)+; Anal. Calcd. for C16H10ClFN4S: C, 55.74; H, 2.92; Cl, 10.28; F, 5.51; N, 16.25; S, 9.30.
DPPH free radical scavenging activity
All the synthesized compounds were screened for their in-vitro antioxidant activity by scavenging of DPPH (2, 2-diphenyl-1-picrylhydrazyl) free radical. A stock solution of 100 μg/ml was prepared for all the test compounds as well as of standard. Different concentrations were made of 10, 20, 30, 40 and 50 μg/ml from stock solutions using methanol. 0.1 mM solution of DPPH in methanol was prepared in a volumetric flask which was completely kept away from light. 1.0 ml of all concentration of test and standards was mixed with 1.0 ml of DPPH solution. This solution was kept for 30 minutes in the dark place. Methanol with DPPH was used as control. Absorbance of all the samples was taken on UV-spectrophotometer at a λmax of 517 nm [18]. The free-radical scavenging was expressed as the percentage inhibition and was calculated using the formula:
Percent inhibition % = [(Ao-A)/Ao) x100]
Where: Ao = Absorbance of control.
A = Absorbance of test or standard.
The percent inhibition was plotted against the sample or the standard concentration to obtain the amount of antioxidants necessary to decrease the initial concentration of DPPH to 50% (IC50). IC50 values were calculated from the calibration curve. IC50 value is defined as the concentration of test compound required to achieve half maximal inhibition and lower IC50 value indicates greater antioxidant activity.
Table 1: Data of antioxidant activity of synthesized compounds by DPPH scavenging assay
| Compounds | Concentration µg/ml | IC50 value µg/ml | |||||
| 10 | 20 | 30 | 40 | 50 | |||
| *Abs | % inhibition | *Abs | % inhibition | *Abs | % inhibition | *Abs | |
| Std. | 0.166 | 46.79 | 0.144 | 53.84 | 0.121 | 61.85 | 0.103 |
| 2a | 0.266 | 14.74 | 0.238 | 23.71 | 0.193 | 38.14 | 0.18 |
| 2b | 0.203 | 34.93 | 0.179 | 42.62 | 0.164 | 47.43 | 0.154 |
| 2c | 0.188 | 39.74 | 0.174 | 44.23 | 0.153 | 50.96 | 0.136 |
| 2d | 0.179 | 42.62 | 0.161 | 48.39 | 0.146 | 53.2 | 0.122 |
| 2e | 0.176 | 43.58 | 0.149 | 52.24 | 0.119 | 61.89 | 0.107 |
| 2f | 0.229 | 26.6 | 0.214 | 31.41 | 0.176 | 43.58 | 0.152 |
| 2g | 0.235 | 24.67 | 0.217 | 30.44 | 0.188 | 39.74 | 0.177 |
| 2h | 0.289 | 7.37 | 0.274 | 12.17 | 0.247 | 21.47 | 0.235 |
| 2i | 0.169 | 45.83 | 0.155 | 50.32 | 0.126 | 59.45 | 0.11 |
| 2j | 0.199 | 36.21 | 0.174 | 44.23 | 0.148 | 52.56 | 0.131 |
| 2k | 0.241 | 22.75 | 0.224 | 28.2 | 0.194 | 37.82 | 0.184 |
*Abs is Absorbance.
RESULTS AND DISCUSSION
Chemistry
In the present work, a mixture of substituted benzoic acid and thiocarbohydrazide were heated until the contents were melted and the mixture was maintained at this temperature for 15-20 minutes to obtained 4-amino-3-(substituted phenyl)-5-mercapto-1, 2, 4-trizole (1a-k). The synthesized intermediates (1a-k) were refluxed with 2-bromoacetophenone in ethanol to yield 3-substituted phenyl-6-phenyl-7H-[1, 2, 4] triazolo [3, 4-b][1,3,4] thiadiazine (2a-k).
Further the synthesized compounds were purified by column chromatography using ethanol: dioxan (4:1) as mobile phase. Structure of all the newly synthesized compounds was confirmed by their spectral data interpretation.
Antioxidant activity
In-vitro antioxidant activity of the synthesized compounds was determined by DPPH free radical scavenging method. Results obtained from in-vitro antioxidant activity are summarized in Table1. Investigation of antioxidant screening revealed that compounds 2e and 2i had shown more promising antioxidant activity as compared to standard. A possible explanation for this result is that the biological activity of compounds may depend on the basic skeleton of the molecule as well as on the nature of substituents. The results indicate that triazolothiadiazine derivatives containing amino methyl phenyl substituents and benzoylphenyl substituents at 3-position of the triazole ring have a great potential for antioxidant activity.
CONCLUSION
In summary, 3-substituted phenyl-6-phenyl-7H-[1, 2, 4] triazolo [3, 4-b][1,3,4] thiadiazine derivatives have been synthesized and characterized. In-vitro antioxidant activity of the compounds was screened by DPPH free radical scavenging method. Among the synthesized compounds, the compounds 2e and 2i have been shown the most prominent antioxidant activity using ascorbic acid as standard. The future perspective of in-vivo antioxidant evaluation of these compounds can be the potential lead.
ACKNOWLEDGEMENT
Authors are thankful to Director, Department of Pharmaceutical Technology, Meerut Institute of Engineering & Technology, Meerut for providing laboratory facilities. Authors are also grateful to IIT New Delhi for providing spectral data.
CONFLICT OF INTERESTS
The authors declare that they have no conflict of interest.
REFERENCES