
1Horticulture Department, Faculty of Agriculture and Natural Resources, Aswan University, Aswan, Egypt, 2Medicinal and Aromatic Plants Research Department, National Research Centre, Dokki, Giza, Egypt
Email: wagdi79@agr.aswu.edu.eg
Received: 09 Jul 2018, Revised and Accepted: 28 Aug 2020
ABSTRACT
Objective: Nowadays, one of the growing industries is the herbal drug-based medicaments. This study sought to assess the quality and yield characterizes of black cumin under different locations through Egypt to introduce final analysis information for producers and exporters in Egypt.
Methods: This experiment was carried out in seven sites in different locations through Egypt to assess the growth, yield and essential oil content of black cumin plants as following; four sites in El-Minya Governorate, two sites in Bahariya Oasis, and one site in Aswan Governorate.
Results: Cultivation locations significantly affected on quality and growth characteristics. The highest seed and fixed oil yields (830 kilogram seeds and 206 kilogram fixed oil) were observed under clay loam soil (Old Land farm), while the lowest yields (500 kilogram seeds and 105 kilogram fixed oil) were observed under sandy soil (El-Nanaaih farm) at El-Menya. The highest content of active substance (Fixed oil %) was observed in clay loam sandy soil of Sekem farm and the lowest in Lena farm with sandy soil at Bahariya Oasis. Neither seed yield nor fixed oil content showed significant correlation with Na+, Cl-, and HCO3--of irrigation water. Although plants cultivated in Wadi El-Nokra at Aswan produced low fixed oil content (18.3%), main components, Linoleic and Oleic acid, were relatively high.
Conclusion: The assessment of Nigella sativa under different locations gave evidence of the interactions between weather and soil properties and their impact on the quality and yield of oil of Nigella sativa plants.
Keywords: Nigella sativa, Fixed oil, Linoleic acid, Oleic acid
© 2020 The Authors. Published by Innovare Academic Sciences Pvt Ltd. This is an open access article under the CC BY license (http://creativecommons.org/licenses/by/4.0/)
DOI: http://dx.doi.org/10.22159/ijpps.2020v12i10.38995. Journal homepage: https://innovareacademics.in/journals/index.php/ijpps.
The medical and curative properties of medicinal plant are returned to the active substances in its tissues. Aromatic and medicinal plants are considered an important source from agriculture components in several countries [1]. They are a major source of ingredients for the known drugs. Nowadays, production of herbal-based medicaments is one of the industrial growths in Egypt. In addition, particular extracts and herbal drug components production in some pharmaceutical companies are known as modern medicine [2].
Egypt is characterized by a great diversity of environmental conditions, including the climatic aspects and soil types, which lead to spread different plant species containing around 2000 wild species in addition to introduced species [3]. Due to the high productivity of medicinal plants in Egypt and the international raising demand, medicinal plants became an important sector to elevate the Egyptian exports volume. In spite of the growing global exchange of medicinal plants, there are many factors restrict their entry into the global market and put them in an extremely unsuitable position [4]. Researchers should pay attention to discover the biologically active substances of these plants to determine its therapeutic properties.
Black cumin, (Nigella sativa L.), is classified to Ranunculaceae family and it is one of the most nutrient-rich herbs throughout history around the world [5]. Black cumin has a high nutritional value and because it contains a high percentage of minerals, protein, vitamins and fiber. Moreover, black cumin seeds contain elements with high levels, including folic acid, copper, calcium, phosphorus, thiamin, zinc, iron, pyridoxine as well as niacin [5]. Furthermore, the Black cumin plant contains several important components as sterols, saponins, essential oils and alkaloids. Many of these components is not biologically tested and is not chemically characterized. The Black cumin seeds contain 26-34% fixed oil. The main fatty acids are palmitic acid and linoleic. The seed oil is consisting of 0.4%–2.5% essential oil [6]. From those components, thymoquinone which shows wide therapeutic properties found as an important component in the essential oil and it is the most biologically active compound [7]. Nigella sativa showed many medicinal properties that contribute to treating some diseases [8].
Mineral nutrients and water are principal resources that can restrict plant growth and survival which are mainly determined by some factors such as local climate, regional and soil. The requirements of soil and nutritive vary extremely among plant species. Previous studies revealed the effects of light intensity, water availability, mineral nutrients and altitude on plants growth and quality [9, 10]. The aim of the present research is to assess the growth, yield and quality of black cumin (Nigella sativa) plant under varied regions in Egypt to provide final analysis information for producers and exporters in Egypt.
Black cumin, Nigella sativa, annual plant of the ranunculus family (Ranunculaceae), has been collected from strains grown in the studied areas. Seven sites in different locations through Egypt were chosen to assess the growth, yield and essential oil content of Egyptian black cumin plants as following; four sites in El-Minya Governorate (El-Nanaaih Farm, Moftah Farm, Biosystem Farm, Sekem Farm), two sites in Bahariya Oasis (Lena Farm, Sekem Farm), and one site in Aswan Governorate (Wadi El-Nokra).
Table (1 and 2) showed texture properties and chemical properties of for different locations and table (3) showed the chemical analysis of irrigation water. The physical and chemical features of both soils and irrigation water were determined based on Klute [11].
This study was conducted out during two successive seasons (2016/2017 and 2017/2018). The black cumin seeds were directly sown in the open field on the beginning of November in each year. The experimental plot was 30 m2 (4×7.5 m) comprised of 15 rows; the distance between hills was 0.25 m and 0.5 m apart. At 21 d, plants were thinning out for two plants per hill. During April in each year, the plants were harvested and the vegetative parameters were recorded; Plant height, capsules number, and seed yield.
Table 1: Texture properties of studied soils in different sites of Egypt
| Locations | Course sand % | Soft sand % | Silt % | Clay % | Texture |
| A) El-Menya Governorate | |||||
| 1-El-Nanaaih Farm | 38.3 | 34.2 | 18.5 | 9.0 | Sandy |
| 2-Old Land Farm | 8.9 | 19.2 | 36.3 | 35.0 | Clay Loam |
| 3-Biosystem Farm | 33.40 | 60.26 | 3.97 | 2.37 | Sandy |
| 4-Sekem Farm | 37.4 | 38.2 | 17.9 | 6.5 | Sandy Loam |
| B) Bahariya Oasis | |||||
| 5-Lena Farm | 40.3 | 46.5 | 10.7 | 2.5 | Sandy |
| 6-Sekem Farm | 30.0 | 39.3 | 10.2 | 22.1 | Clay Loamy Sand |
| C) Aswan Governorate | |||||
| 7-Wadi El-Nokra | 34.0 | 38.4 | 19.0 | 8.6 | Sandy Loam |
Table 2: Chemical properties of studied soils in different sites
| Locations | EC 1:5 dSm-1 | pH (2.5:1) | Soluble Cations (meq/l) | Soluble Anions (meq/l) | ||||||
| Ca++ | Mg++ | Na+ | K+ | CO3-- | HCO3- | Cl- | SO4-- | |||
| A) El-Menya Governorate | ||||||||||
| 1-El-Nanaaih Farm | 7.96 | 0.71 | 2.10 | 0.80 | 3.8 | 0.60 | - | 2.20 | 3.50 | 1.60 |
| 2-Old Land Farm | 5.83 | 0.76 | 1.00 | 0.40 | 1.9 | 0.60 | - | 1.33 | 1.50 | 1.00 |
| 3-Biosystem Farm | 8.27 | 2.82 | 5.00 | 2.90 | 18.7 | 1.50 | - | 1.90 | 11.00 | 15.20 |
| 4-Sekem Farm | 7.69 | 1.14 | 3.40 | 2.40 | 5.1 | 0.80 | - | 1.40 | 7.50 | 2.80 |
| B) Bahariya Oasis | ||||||||||
| 5-Lena Farm | 8.11 | 0.70 | 2.30 | 1.50 | 2.6 | 0.60 | - | 2.10 | 2.50 | 2.40 |
| 6-Sekem Farm | 7.78 | 0.43 | 0.70 | 0.30 | 2.6 | 0.50 | - | 1.10 | 2.00 | 1.00 |
| C) Aswan Governorate | ||||||||||
| 7-Wadi El-Nokra | 8.00 | 0.56 | 1.00 | 0.50 | 3.6 | 0.90 | - | 1.90 | 3.50 | 0.60 |
EC (dSm-1), electrolytic conductivity (deci siemens per meter); meq/l, milligram per litter; Ca, calcium; Mg, magnesium; Na, sodium; K, potassium; CO3, carbonate; HCO3, bicarbonate; Cl, chloride; SO4, sulphate.
Table 3: Chemical properties of irrigation water for studied locations
| Locations | EC 1:5 dSm-1 | pH (2.5:1) | Soluble Cations (meq/l) | Soluble Anions (meq/l) | ||||||
| Ca++ | Mg++ | Na+ | K+ | CO3-- | HCO3- | Cl- | SO4-- | |||
| A) El-Menya Governorate | ||||||||||
| 1-El-Nanaaih Farm | 1.39 | 7.94 | 1.90 | 0.7 | 10.7 | 0.90 | - | 1.90 | 9.0 | 3.30 |
| 2-Old Land Farm | 0.37 | 7.38 | 1.30 | 0.5 | 1.6 | 0.32 | - | 1.10 | 2.30 | 0.32 |
| 3-Biosystem Farm | 0.42 | 8.96 | 1.10 | 0.4 | 2.3 | 0.32 | - | 1.0 | 2.50 | 0.62 |
| 4-Sekem Farm | 0.96 | 7.82 | 4.0 | 1.2 | 3.6 | 0.87 | - | 0.9 | 2.80 | 5.97 |
| B) Bahariya Oasis | ||||||||||
| 5-Lena Farm | 0.45 | 7.16 | 1.20 | 1.0 | 1.7 | 0.20 | - | 1.3 | 2.3 | 0.5 |
| 6-Sekem Farm | 0.38 | 7.14 | 1.10 | 0.5 | 1.8 | 0.50 | - | 1.3 | 2.3 | 0.5 |
| C) Aswan Governorate | ||||||||||
| 7-Wadi El-Nokra | 0.69 | 8.08 | 2.1 | 0.80 | 3.8 | 0.30 | - | 1.50 | 5.0 | 0.5 |
EC (dSm-1), electrolytic conductivity (deci siemens per meter); meq/l, milligram per litter; Ca, calcium; Mg, magnesium; Na, sodium; K, potassium; CO3, carbonate; HCO3, bicarbonate; Cl, chloride; SO4, sulphate.
Fixed oil extraction
The extraction protocol of fixed oil has been done according to A. O. A. C. [12] from the seeds of black cumin plants. The dried seeds have been weight and were used for oil extraction using n. hexane solution. The total extract has been subjected to anhydrous sodium sulphate for drying, and then solvent extraction has been distilled under reduced pressure. The crude lipids of fixed oil were weighed and calculated at the basis of a dry weight basis.
Gas-liquid chromatographic analysis of fatty acids
Samples of the 2nd season were used. The lipids of selected samples were saponified with 20% w/v potassium hydroxide solution. Heating treatment has been applied on the mixture for 30 min on a water-bath at 100 °C and kept overnight at room temperature. The unsaponified matter was extracted with diethyl ether three times. Acidification process of the fatty acids potassium salt has been done using Hydrochloride acid (6 N) and the extraction of liberated fatty acids has been done using HCl diethyl ether for three times. Washing process for the total ether extract has been done many times, dried overusing anhydrous sodium sulphate, and then filtered. Fatty acids were turned to methyl esters according to Vogel [13] using a diazomethane ethereal solution. A 99% pure of standard fatty acids were purchased from Nu-Chek-Prep and checked by Gas-Liquid Chromatography.
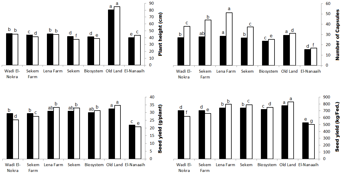
Crop production is determined by environmental conditions, which are the main determinant factor of crop success in specific area. The agro-climatic zone and selection of suitable locations could be important strategies for optimizing the yield and quality of medicinal plants [14, 15]. On the other hand, irrigation water and mineral nutrition are key resources that can determine plant growth and survival which are affected by various factors, including climate and soil properties [16, 17]. Soil type also had a pronounced impact on growth parameters and essential oil and its constitutions [18, 19]. In this study, black cumin was evaluated through Egypt under different locations within different climatic-zones in addition to great differences of soil and irrigation water properties in these locations, even within the same governorate. ANOVA Analysis indicated that location had a greatly significant impact on yield and growth characters as well as fixed oil content in black cumin plants (table 4). The tallest and shortest plants were shown at El-Menya governorate in both seasons. The tallest plants were recorded in Old land with clay loam soil texture, while the shortest plants were observed in Sekem farm (sandy loam) and El-Nanaaih farm (sandy) in the first and second season, respectively (fig. 1). In the same line, the capsules number per plant reached to their maximum under Lena Farm at Baharia Oasis and old land at El-Menya in the 1st and 2nd season, respectively. In contrast, the capsules number reached to their minimum under El-Nanaaih farm at El-Menya in both seasons.
Table 4: Summary of analysis of variances for morphological and yield traits and fixed Oil of Nigella Sativa plant as affected by different locations
| Sources | df | Plant height | Capsules number | Seed yield | Fixed oil | ||
| g/plant | Kg/Fed. | Oil % | ml/plant | ||||
| (1st Season) | |||||||
| Rep. | 2 | 5.375 | 1.125 | 2.636 | 3.125 | 2.161 | 0.022 |
| Locations | 7 | 1581.56*** | 795.07*** | 376.4*** | 2223699*** | 267.6*** | 27.11*** |
| Error | 14 | 0.232 | 0.554 | 0.338 | 0.554 | 0.561 | 0.071 |
| (2nd Season) | |||||||
| Rep. | 2 | 0.143 | 1 | 1.286 | 75.571 | 0.0128 | 1.462 |
| Locations | 6 | 613.93*** | 66.8*** | 34.739*** | 20005.4*** | 2.608* | 2.546*** |
| Error | 12 | 1.476 | 0.277 | 0.952 | 21.571 | 0.670 | 0.263 |
df, degree of freedom; g/plant, gram per plant; Kg/Fed., kilogram per feddan (4200 m2); ml/plant, milliliter per plant

Fig. 1: The Plant height, number of capsules, seed yield (g/plant, gram per plant), and seed yield (kg/Fed., kilogram per feddan "4200 m2") of black cumin, Nigella sativa, under different location in El-Minya Governorate (El-Nanaaih, Old Land, Biossytem, Sekem), Bahariya Oasis (Lena farm, Sekem farm), and Aswan (Wadi El-Nokra)
The highest and lowest yield of seeds and fixed oil were shown at El-Menya in both seasons. The plants cultivated in clay loam soil at Old land recorded the highest yield; meanwhile, in sandy soil at El-Nanaaih produced the lowest yields. On the other hand, the highest fixed oil content in seed was observed in Bahariya Oasis and El-Menya. The highest values (31.25% and 23.95%) were observed in plants cultivated in Sekem farm (Clay Loamy Sand) and under Old Land at El-Menya in the 1st and 2nd season, respectively. The minimum mean value of oil percentage was extracted from plants cultivated under El-Nokra at Aswan in both seasons (fig. 2). The main components of fixed oil were Linoleic and Oleic acid. Linoleic acid is characterized as polyunsaturated and omega-6 acid. It is essential fatty acids for humans [20]. On the other hand, oleic acid is characterized as a monounsaturated omega-9 acid that naturally occurs in animal and vegetable sources [21]. The quality of fixed oil determined by Linoleic and Oleic acid contents. The best-fixed oil quality was observed in under Old Land farm at El-Menya and the poorest quality was observed in El-Nanaaih farm at El-Menya (table 5). Regarding soil characters, plant height negatively correlated with soil Ec (r=-0.95** and-0.96** in the 1st and 2nd season, respectively). Meanwhile, seed and fixed oil yield negatively correlated with water properties such as Na+, Cl-and HCO3-contents (fig. 3). These results is consistent with previous finding [15], suggested the important role of soil and irrigation water properties as limiting factors of medicinal plant yield and quality.
Table 5: Fatty acid composition of black cumin, Nigella sativa, plants under different locations (2nd Season)
| Locations | Myristic (14:0) |
Palmitic (16:0) |
Palmiteleic (16:1) |
Stearic (18:0) |
Oleic (18:1) |
Linoleic (18:2) |
Linolenic (18:3) |
Arachidic (20:0) |
Eicosenoic (20:1) |
Eicosadienoic (20:2) |
| A) El-Minya Governorate | ||||||||||
| 1-El-Nanaaih | 0.160 | 12.35 | 0.163 | 3.313 | 18.53 | 40.30 | 0.44 | 0.160 | 0.326 | 2.435 |
| 2-Old Land | 0.213 | 14.07 | 0.175 | 3.541 | 25.21 | 50.34 | 0.580 | 0.176 | 0.413 | 3.67 |
| 3-Biosystem | 0.168 | 12.56 | 0.167 | 3.493 | 21.91 | 45.34 | 0.514 | 0.171 | 0.321 | 2.780 |
| 4-Sekem | 0.178 | 12.78 | 0.169 | 3.671 | 20.35 | 43.21 | 0.520 | 0.167 | 0.331 | 2.651 |
| B) Bahariya Oasis | ||||||||||
| 5-Lena Farm | 0.177 | 12.87 | 0.165 | 3.501 | 19.99 | 41.45 | 0.489 | 0.165 | 0.367 | 2.543 |
| 6-Sekem Farm | 0.176 | 12. 86 | 0.164 | 3.218 | 19.30 | 43.24 | 0.476 | 0.169 | 0.364 | 2.555 |
| C) Aswan Governorate | ||||||||||
| 7-Wadi El-Nokra | 0.201 | 12.99 | 0.169 | 3.210 | 23.23 | 47.32 | 0.534 | 0.172 | 0.367 | 2.875 |

Fig. 2: Fixed oil content of black cumin, Nigella sativa, under different location in El-Minya Governorate (El-Nanaaih, Old Land, Biossytem, Sekem), Bahariya Oasis (Lena farm, Sekem farm), and Aswan (Wadi El-Nokra). Fed= 4200m2

Fig. 3: The correlation coefficients of water properties (Na+, Cl-, and HCO--) with seed and fixed oil yields in the 1st and 2nd season of cultivation. Na, sodium; Cl, chloride; HCO3, bicarbonate; Fed= 4200m2
Aswan governorate characterized the warmest and driest climate according to the weather data, while El-Menya had the coldest and wettest climate. The soil texture was sandy loam in Wadi El-Nokra at Aswan. Although soil texture was similar in Wadi El-Nokra and Sekem farm at El-Menya, plants cultivated in Seken farm at El-Menya revealed higher yield of both seeds and oil compared to those in Wadi El-Nokra. In contrast, the plans cultivated in Wadi El-Nokra revealed taller plant with higher Linoleic and Oleic acid contents.
The assessment of black cumin under different locations concluded the significant effects of locations on quality and yield characterizes of black cumin. The highest yield of both seed and fixed oil were observed in plants grown under clay loam soil. From the results of this study, a guide for producers and exporters is concluded on the importance of selecting the right location to cultivate Nigella sativa in terms of soil type and climatic conditions.
The authors greatly appreciated the Bilateral financial fund of the Egyptian Academy of Science and Technology and Bulgarian Academy of Sciences of the project: Adaptation and maximization the productivity of some new and promising medicinal and aromatic plants as a source of pharmaceutical and raw materials industries under abiotic stress conditions.
All listed authors have contributed equally in all steps of the research, including conceiving the presented idea, designing and performing of the research to the analyzing of the data. All authors discussed the results and contributed to the final manuscript.
The authors declare that they have no conflict of interests.
Adhikari B. Socio-economic heterogeneity and income distribution: evidence from common property resource management. J For Livelihood 2001;1:22-4.
Fabricant DS, Farnsworth NR. The value of plants used in traditional medicine for drug discovery. Environ Health Perspect 2001;109(Suppl 1):69-75.
Shams KA, Nazif NM, Abdel-Azim NS, Abdel-Shafeek KA, El-Missiry MM, Ismail SI, et al. Isolation and characterization of antineoplastic alkaloids from Catharanthus roseus L. Don. cultivated in Egypt. Afr J Tradit Complement Altern Med 2009;6:118-22.
Abdel-Azim NS, Shams KA, Shahat AA, El Missiry MM, Ismail Sh A, Hammouda FM. Egyptian herbal drug industry: challenges and future prospects. Res J Med Plant 2011;5:136-44.
Ramadan MF. Nutritional value, functional properties and nutraceutical applications of black cumin (Nigella sativa L.): an overview. Int J Food Sci Tech 2007;42:1208–18.
Mamun MA, Absar N. Major nutritional compositions of black cumin seeds cultivated in Bangladesh and the physicochemical characteristics of its oil. Int Food Res J 2018;25:2634–9.
Haseena S, Aithal M, Das KK, Saheb SH. Phytochemical analysis of Nigella sativa and its effect on reproductive system. J Pharm Sci Res 2015;7:514–7.
Osman MT. Nigella sativa has a beneficial effect on osteoporosis and bone healing: is it a fact or fiction? A systematic review. Asian J Pharm Clin Res 2017;10:41-6.
Goswami B, Mahi GS, Saikia US. Effect of few important climatic factors on phenology, growth and yield of rice and wheat-a review. Agric Rev 2006;27:223–8.
Sozen O, Karadavut U, Ozcelik H, Bozoglu H, Akcura M. Genotype x environment interaction of some dry bean (Phaseolus vulgaris L.) genotypes. Legume Res 2018;41:189-95.
Klute A. Methods of soil analysis: part 1. Physical and mineralogical methods (2nd edn.) American Society of Agronomy, Madison, WI; 1986. p. 635-62.
Association of Official Agricultural Chemistry AOAC. Official Methods of Analysis 10th Washington, D. C.; 1965.
Vogel AL. A textbook of practical organic chemistry. 3rd ed. English Language book Society and Longman group Ltd.; 1975.
Said-Al Ahl AHL, El-Gendy AG, Omer EA. Humic acid and indole acetic acid affect yield and essential oil of dill grown under two different locations in Egypt. Int J Pharm Pharm Sci 2016;8:146-57.
Hendawy SF, Omer EA, El-Gohary AE, El-Gendy AG, Hussein MS, Salaheldin S, et al. Effect of soil and irrigation water salinity in the productivity and essential oil constituents of chamomile (Chamomilla recutita L.). J Essent Oil Bearing Plant 2019;22:962-71.
Neenu S, Biswas AK, Rao AS. Impact of climatic factors on crop production-a review. Agric Rev 2013;34:97-106.
Chakraborty B, Hazari S. Impact of climate change on yields of major agricultural crops in Tripura. Indian J Agric Res 2017;51:399-401.
Formisano C, Delfine S, Oliviero F, Tenore GC, Rigano D, Senatore F. Correlation among environmental factors, chemical composition and antioxidative properties of essential oil and extracts of chamomile (Matricaria chamomilla L.) collected in molise (Southcentral Italy). Ind Crop Prod 2015;63:256-63.
Anuhya G, Jyostna V, Aswani Kumar YVV, Bodaiah B, Sudhakar P. Influence of Physico-chemical parameters on secondary metabolite production by marine fungi. Int J Cur Pharm Res 2017;9:112-8.
Simopoulos AP. The importance of the omega-6/omega-3 fatty acid ratio in cardiovascular disease and other chronic diseases. Exp Biol Med 2008;233:674–88.
Thomas A. Fats and fatty oils. Ullmann's Encyclopedia of Industrial Chemistry; 2000.