Post Graduate Department of Chemistry, Yuvaraja’s College, University of Mysore, Mysore 570005, India
Email: ajaykkchem@gmail.com
Received: 12 Nov 2014 Revised and Accepted: 05 Dec 2014
ABSTRACT
Objective: The aim of the present work was to synthesize fused pyrazoles and examine them for their in vitro antimicrobial activity.
Methods: The formyl pyrazoles were synthesized by Vilsmeier–Haack reaction from o-hydroxy acetophenone hydrazones. The pyrazoles on oxidative cyclisation in the presence of ethanol and catalytic amount of H2SO4 yielded pyrano [4,3-c] pyrazoles. The structures of the synthesized derivatives were confirmed by Mass, 1H NMR and elemental analysis. The synthesized new pyranopyrazoles were screened for their antimicrobial activity by broth dilution technique.
Results: The results of the antimicrobial assay revealed that the compound 4b having chloro substitution showed good activity against different microorganisms tested.
Conclusion: It is noteworthy that the compounds synthesized by a simple and accessible procedure leads to a molecules of promising antimicrobial activity.
Keywords: Antimicrobial, Hydrazones, MIC, Vilsmeier–Haack reagent.
INTRODUCTION
The pyrazole scaffolds drawn a great deal of attention due to its contribution in biological and pharmacological fields regardless of scarcity in nature. In 1957, the first natural pyrazole, 1-pyrazolyl-alanine, was isolated from seeds of watermelons [1]. The pyrazole nucleus has pronounced pharmacological applications as anti-anxiety [2], anti-inflammatory [3], anti-microbial [4], GABA receptor antagonists and insecticides [5]. They have a long history of applications in agrochemicals and pharmaceutical industry as herbicides and active pharmaceuticals.
On the other hand, heterocyclic systems containing pyrans and fused pyrans are biologically interesting compounds with anti-microbial [6], anti-cancer [7], antifungal [8] and analgesic activity [9]. A number of 2-amino-4H-pyrans are used as photoactive materials [10] and potentially biodegradable agrochemicals [11]. In addition to the diverse biological activities of pyrazoles, other heterocycles in association with pyrazoles play an essential role in several biological, chemical and pharmacological importances. Pyrazoles in association with pyrans have occupied the prominent place in medicinal chemistry. A survey of literature revealed that pyranopyrazole derivatives have received much attention during recent years on account of their outstanding utilization as cytotoxic [12], molluscicidal [13] and analgesic properties [14].
In the view of the above facts and as a part of our efforts to synthesize biologically potential pyranopyrazole derivatives, a series of fused pyrazoles were synthesized by an easy and accessible procedure. Synthesized new molecules were characterized by spectral and elemental analysis and were screened for their anti-microbial activity.
MATERIALS AND METHODS
Melting points were determined by open capillary method and are uncorrected. The 1H NMR spectra was recorded on a Spect 500 MHz spectrophotometer using DMSO as solvent and TMS as an internal standard. The chemical shifts are expressed in δ ppm. Mass spectra were obtained on Shimadzu LCMS-2010A spectrophotometer (CI). Elemental analysis was obtained on a Thermo Finnigan Flash EA 1112 CHN analyzer. Purification of the compounds was done by column chromatography on silica gel (70-230 mesh, Merck).
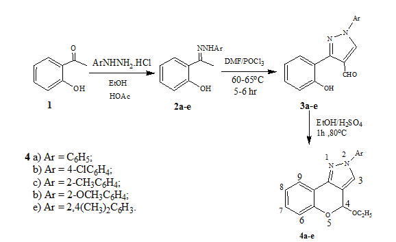
General procedure for the synthesis of 4-ethoxy-2-aryl-[1]benzopyrano[4,3-c]pyrazoles, 4a-e
2-Hydroxyacetophenone (1) was condensed with substituted phenylhydrazine hydrochlorides in ethyl alcohol and catalytic amount of acetic acid produces corresponding hydrazones (2a-e). The hydrazones (0.0042 mol) were then added to the Vilsmeier-Haack reagent prepared by drop-wise addition of POCl3 (1.2 ml) in ice cold DMF (10 ml). The mixture was stirred at 60-65oC for 6h. The progress of the reaction was monitored by TLC, after completion, the mixture was poured into ice cold water and neutralized with NaHCO3. The solids separated were filtered, washed thoroughly with water. The intermediate products (3a-e) obtained were recrystallized from ethanol.
A mixture of pyrazole-4-carbaldehydes 3a-e (0.001 mol) in ethyl alcohol (10 ml) and concentrated sulfuric acid (1 ml) was refluxed for 1 hour. The progress of the reaction was monitored by TLC; after completion, the solvent was removed in vacuo. The resulting residue was extracted into ether (30 ml), washed successively with NaOH and NaHSO3. The organic phase was dried over anhydrous sodium sulphate. The solvent was evaporated to dryness to get the products 4a-e. The products were purified by column chromatography using hexane: ethyl acetate (4:1) as eluent. The reaction pathway is depicted in Scheme-1.

Scheme 1: Synthetic pathway for the preparation of pyranopyrazole 4a-e
Antimicrobial Activity
The synthesized compounds were screened for their antimicrobial activity [15-17]. Minimum inhibitory concentrations (MICs) of the synthesized compounds 4a-e against different bacterial and fungal strains were determined by the broth dilution technique. Gram-negative bacteria species Escherichia coli, Pseudomonas aeruginosa, Gram-positive bacteria species Staphylococcus aureus, Streptococcus pyogenes were used as bacterial strains and Cryptococcus neoformans, Aspergillus nigar, Aspergillus flavus, Candila albicans were used as fungal strains.
The antibiotics Ciprofloxacin and Amphotericin-B were used as standard drugs against bacteria and fungi species respectively. The experiments were carried out in triplicate; the results were taken as a mean of three determinations.
RESULTS
4-Ethoxy-2-phenyl-[1]benzopyrano[4,3-c]pyrazole, 4a
Obtained from pyrazolocarbaldehyde 3a, after purification by column chromatography (Hexane/EtOAc, 4: 1) and evaporation of the solvent as a pale yellow solid in 85% yield. MP 125-126oC; 1H NMR (DMSO-d6): δ: 7.91(s, 1H, H-3), 7.88 (d, 2H, Ar-H), 7.6 (t, 2H, H-7, H-8), 7.47 (m, 3H, Ar-H), 7.2 (d, 1H, H-6), 6.55 (s, 1H, H-4), 3.75 (q, 2H, OCH2), 1.16 (t, 3H, OCH2CH3); MS: m/z 293 (M+1). Anal. Calcd for C18H16N2O2: C, 73.95; H, 5.52; N, 9.58%. Found: C, 73.98; H, 5.72; N, 9.48%.
2-(4-Chlorophenyl)-4-ethoxy-[1]benzopyrano[4,3-c]pyrazole, 4b
Obtained from pyrazolocarbaldehyde 3b, after purification by column chromatography (Hexane/EtOAc, 4: 1) and evaporation of the solvent as a light orange solid in 78% yield. MP 112-113oC; 1H NMR (DMSO-d6): δ: 7.90 (s, 1H, H-3), 7.86 (dd, 2H, Ar-H), 7.79 (dd, 2H, Ar-H) 7.45 (t, 2H, H-7, H-8), 7.2 (d, 1H, H-6), 6.62 (s, 1H, H-4), 3.74 (q, 2H, OCH2), 1.16 (t, 3H, OCH2CH3); MS: m/z 329 (M+1, [37]Cl, 33%) 327 (M+1,, [35]Cl, 100%). Anal. Calcd for C18H15ClN2O2: C, 66.16; H, 4.63; N, 8.57%. Found: C, 66.20; H, 4.67; N, 8.53%.
4-Ethoxy-2-(m-tolyl)-[1]benzopyrano[4,3-c]pyrazole, 4c
Obtained from pyrazolocarbaldehyde 3c, after purification by column chromatography (Hexane/EtOAc, 4: 1) and evaporation of the solvent as a brown solid in 75% yield. MP 134-135oC; 1H NMR (DMSO-d6): δ: 7.88 (s, 1H, H-3), 7.79 (s, 1H, Ar-H), 7.68 (m,2H,Ar-H),7.6 (t, 2H, H-7, H-8), 7.48 (s, 1H,Ar-H), 7.2 (d, 1H, H-6), 6.55 (s, 1H, H-4), 3.75 (q, 2H, OCH2), 1.16 (t, 3H, OCH2CH3); MS: m/z 307 (M+1). Anal. Calcd for C19H18N2O2: C, 74.49; H, 5.92; N, 9.14%. Found: C, 74.52; H, 5.87; N, 9.18%.
4-Ethoxy-2-(2-methoxyphenyl)-[1]benzopyrano[4,3-c]pyrazole, 4d
Obtained from pyrazolocarbaldehyde 3d, after purification by column chromatography (Hexane/EtOAc, 4; 1) and evaporation of the solvent as a brown solid in 70% yield. MP 112-113oC; 1H NMR (DMSO-d6): δ: 7.87 (s, 1H, H-3), 7.77 (s, 1H, Ar-H), 7.69 (m, 2H, Ar-H), 7.6 (t, 2H, H-7, H-8), 7.48 (s, 1H, Ar-H), 7.2 (d, 1H, H-6), 6.55 (s, 1H, H-4), 3.75 (q, 2H, OCH2), 1.16 (t, 3H, OCH2CH3); MS: m/z 323 (M+1). Anal. Calcd for C19H18N2O3: C, 70.79; H, 5.63; N, 8.69%. Found: C, 70.82; H, 5.62; N, 8.67%.
2-(2,4-Dimethylphenyl)-4-ethoxy-[1]benzopyrano[4,3-c]pyrazole, 4e
Obtained from pyrazolocarbaldehyde 3e, after purification by column chromatography (Hexane/EtOAc, 4;1) and evaporation of the solvent as a brown solid in 75% yield. MP 141-142oC; 1H NMR (DMSO-d6): δ: 7.91 (s, 1H, H-3), 7.88 (d, 1H, Ar-H), 7.77 (s, 1H, Ar-H). 7.67 (t, 2H, H-7, H-8), 7.66 (s, Ar-H), 7.2 (d, 1H, H-6), 6.56 (s, 1H, H-4), 3.72 (q, 2H, OCH2), 1.17 (t, 3H, OCH2CH3); MS: m/z 321 (M+1). Anal. Calcd for C20H20N2O2: C, 74.98; H, 6.29; N, 8.74%. Found: C, 74.97; H, 6.32; N, 8.76%.
The results of MIC’s of the synthesized compounds measured against different bacterial and fungal species are summarized in Fig-1; and against fungal species in Fig-2.

Fig. 1: MIC’s of the test samples 4a-e against bacteria species

Fig. 2: MIC’s of the test samples 4a-e against fungi species
DISCUSSION
In this study, a series of novel fused pyrazoles 4a-e were successfully synthesized by intramolecular cyclisation of 3-(2-hydroxyphenyl)-1-aryl-1H–pyrazole-4-carbaldehyde 3a-e in excellent yield.
The structure proofs of the synthesized new compounds were obtained by spectral and elemental analysis. For instance, in 1H NMR spectrum, all the synthesized compounds 4a-e, failed to show the signals in the region δ 10.20-10.40 ppm due to –CHO group; and in the region δ 8.59-8.64 ppm due to phenolic –OH group of the precursor 3a-e, which supports the cyclisation. All compounds showed the signals due to aromatic and substituent protons at the expected region. In addition, a consistent pattern signals were observed as a singlet in the region δ 6.55-6.62 ppm due to –C4-H function of pyran ring; triplet in the region δ 1.13-1.16 ppm due to –CH3 protons, and a quartet in the region δ 2.27-2.32 ppm due to –CH2 protons, which were absent in 1H NMR spectra of 3a-e, which confirms the formation of the products. The synthesized new molecules showed M+1 ion peak molecular ion as well as a base peak in their mass spectra. Further, the analytical data obtained for the compounds 4a-e was in good agreement with the theoretically calculated data. All these spectral and analytical results confirm the formation of the products.
The MIC of Ciprofloxacin was determined in order to control the sensitivity of the test organisms. The results of the MIC values of the compounds and the standards are against bacteria species were depicted in Fig-1. The results of the study revealed that the compound 4a failed to inhibit Staphylococcus aureus while 4b showed outstanding activity (MIC: 15) than the standard Ciprofloxacin (MIC: 25). The compounds 4c, 4d and 4e showed least activity (MIC: 25). When it comes to E. coli 4b showed good activity (MIC: 25) than ciprofloxacin (MIC: 50) while compounds 4c and 4d showed equipotent activity. The presence of chloro substitution in compounds 4b influenced these molecules to exhibit inhibition to the greater extent against the organisms tested.
The compounds 4a-e exerted a moderate to good in vitro antifungal activity against all the tested organisms. MIC values of the compounds and the standards are depicted in Fig-2. However, the compound 4a failed to inhibit the growth of A. flavus and C. albicans even at a higher concentration of 200µg/mL. The compound 4b having chloro substitution exhibited remarkable activity at (MIC: 15) and (MIC: 40) on Cryptococcus neoformans and A. niger than the standard Amphotericin B (MIC: 25) and (MIC: 50). In A. flavus the compound 4c, 4d showed good activity (MIC: 30), (MIC: 25) than Amphotericin B (MIC: 50). While the remaining compound 4e exhibit greater inhibition (MIC: 25) in A. niger than the standard (MIC: 50).
CONCLUSION
The simple easy accessible procedure for the synthesis of fused pyrans and their in vitro antibacterial and antifungal activity results revealed the significance of the study. The synthesized compounds exhibited moderate to good antibacterial and antifungal activity against some of the tested organisms. The compounds, particularly 4b exhibited greater activity in comparison to the standard drug. The SAR study of the synthesized compounds remains the topic of interest.
ACKNOWLEDGEMENT
One of authors Pavithra Gurunanjappa was grateful to the University Grants Commission, New Delhi for financial support.
CONFLICT OF INTERESTS
Declared None
REFERENCES