Department of Pharmaceutical Chemistry, Faculty of Pharmacy, Al-Azhar University, Gaza, Palestine.
Email: usamapharmacy@gmail.com
Received: 13 Nov 2014 Revised and Accepted: 08 Dec 2014
ABSTRACT
Objective: This study aimed to synthesize some thiazole derivatives bearing dithiocarbamic acid esters and to evaluate their anticholinesterase activity.
Methods: 2-Chloro-N-[4-(2-methyl-4-thiazolyl)phenyl]acetamide was stirred with appropriate sodium salts of dithiocarbamic acids in acetone. The resulted compounds were elucidated using IR, 1H-NMR, and FAB+-MS spectral data. Each derivative was evaluated for its ability to inhibit acetyl cholinesterase (AChE) in vitro by using a modification of Ellman’s spectophotometric method.
Results: Two of the synthesized compounds (6b,6c) can be identified as promising anticholinesterase agent due to their inhibitory effect on ACEH with IC50 value of 86.34±1.31, 91.74±1.43 respectively when compared with standard substance Donepezil (IC50 =0.054±0.002μM) under the same experimental conditions.
Conclusion: dimethylaminoethyl/propyl substitution on Piperazine residue have a crucial influence on anticholinesterase activity.
Keywords: Thiazole, Dithiocarbamate, Cholinesterase inhibitors.
INTRODUCTION
Alzheimer's disease (AD) is the most common cause of dementia (a general term for memory loss). It is serious enough to interfere with daily life. AD affects about 10% of the population and the majority of people with AD are age and above [1]. Thus, it was proposed that degeneration of cholinergic neurons and the association loss of cholinergic neurotransmission level contribute significantly to the deterioration in cognitive function seen in patients with Alzheimer’s disease[2,3]. There are many other mechanisms such as oxidative stress, inflammation and apoptosis may result in neuron loss, and affect acetylcholine (ACh) release. It becomes more difficult to maintain nerve impulses and the transmission of information at low neurotransmitter levels [4,5]. In addition to cholinergic dysfunction, other theories strongly correlate between dementia and β-amyloid deposition, oxidative stress and inflammation have been investigated in the etiology of AD [6].
So, the treatment strategies of AD and the fundamental goals, are to treat cholinergic dysfunction and to become possible therapeutic approaches. There are two different cholinesterase (ChE) enzymes in the human brain: acetylcholinesterase (AChE), and butrylcholinesterase (BuChE). AChE is present at cholinergic nerve terminals whereas, BuChE is associated with glial cells or neurons. Although, AChE comprises 90% of the total ChE in the temporal cortex of normal brain and mediates the inactivation of most synaptic ACh, there is increasing recognition that BuChE may also be involved in hydrolysis of ACh and play an important role in AD[7]. So, researchers are looking for new treatments to alter the course of the disease and improve the quality of life for people with AD. The most well-known class is carbamate as a powerful anti cholinesterase drugs. Rivastigmine possesses a carbamate moiety that resembles the ester linkage of acetylcholine. It is one of the most widely used anticholinesterase agents for the treatment of AD[8-16].
Since dithiocarbamates are important pharmacophores due to their lipophilic property which is critical for the delivery of central nervous system drugs to their site of action through the blood-brain barrier, they become an important moiety in drugs which are using the same purpose. Lots of drug trials are happening all the time to look for new medications, which might help in the treatment of AD. Currently, dithiocarbamates are extensively studied due to the fact that they are new and effective compounds and can be obtained by bio isosteric replacement of a carbamate with a dithiocarbamate moiety [17–21]. In addition, it cannot overlook that the thiazole ring processes a remarkably anticholinesterase activity [22-25].
Piperazine ring plays an important role for antiacetylcholinesterase activity [26-29]. On the basis of these findings and in the continuation of our ongoing research program, synthesis and investigation of acetylcholinesterase inhibitor activity of the 2-[[4-(2-Methyl-4-thiazolyl) phenyl] amino]-2-oxoethyl 4-substituted piperazine-1-carbodithioate derivatives (6a-6i) were reported in this study.
MATERIALS AND METHODS
Chemistry
All chemicals were purchased from Sigma-Aldrich Chemical Co (Sigma-Aldrich Corp., ). All melting points, (m. p.) Were determined by Electrothermal 9100 digital melting point apparatus (Electrothermal, ) and are uncorrected. All the reactions were monitored by thin-layer chromatography (TLC) using Silica Gel 60 F254 TLC plates (Merck KGaA, ). Spectroscopic data were recorded with the following instruments: IR, Shimadzu 8400S spectrophotometer (Shimadzu, Tokyo, Japan); 1H-NMR, Bruker DPX 500 NMR spectrometer (Bruker Bioscience, Billerica, MA, USA), [13]C-NMR Bruker DPX 125 NMR spectrometer (Bruker Bioscience, Billerica, MA, USA), in DMSO-d6 using TMS as internal standard; M+1 peaks were determined by AB Sciex-3200 Q-TRAP LC/MS/MS system (AB Applied Biosystems Co., MA, USA).
General procedure for synthesis of compounds 2-[[4-(2-Methyl-4-thiazolyl) phenyl] amino]-2-oxoethyl 4-substitutedpi perazine-1-carbodithioate (6a-6i)
Compound (5) 2-Chloro-N-[4-(2-methyl-4-thiazolyl) phenyl] acetamide (0.001 mol) was stirred with appropriate sodium salts of dithiocarbamic acids (0.0011 mol) in acetone for 3 h. The precipitated product was filtered and washed with water.
2-[[4-(2-Methyl-4-thiazolyl) phenyl] amino]-2-oxoethyl 4-(2-hydroxyethyl) piperazine-1-carbodithioate (6a)
Yield: 82%. M. p. 157-158 oC. IR (KBr) νmax (cm-1): 3312 (amide N-H), 1679 (amide C=O), 1310-1018 (C-N and C-O). 1H NMR (500 MHz, DMSO-d6) δ 2.44 (t, J=6.10 Hz, 4H, piperazine CH2), 2.70 (s, 3H, CH3), 3.53 (q, 2H, J: 8.55 Hz, CH2OH, 3.95 (brs, 2H, piperazine CH2), 4.22 (brs, 2H, piperazine CH2), 4.29 (s, 2H, CH2S), 4.52 (t, J=5.20 Hz, 1H, OH), 7.66 (d, J=8.70 Hz, 2H, Ar-H), 7.79 (s, 1H, thiazole C5-H), 7.88 (d, J=8.65 Hz, 2H, Ar-H), 10.39 (s, 1H, N-H). [13]C NMR (125 MHz, DMSO-d6) δ 18.89, 39.87, 49.80, 52.51, 58.46, 59.46, 112.46, 119.14, 126.39, 129.39, 138.63, 153.52, 165.32, 165.36, 194.23. MS (ES+): m/z 437.
2-[[4-(2-Methyl-4-thiazolyl)phenyl]amino]-2-oxoethyl 4-[2-(N,N-dimethylamino)ethyl]piperazine-1-carbodithioate (6b)
Yield: 78%. M. p. 110-112 oC. IR (KBr) νmax (cm-1): 3289 (amide N-H), 1676 (amide C=O), 1352-1018 (C-N and C-O). 1H NMR (500 MHz, DMSO-d6) δ 2.35 (t, 2H, J=6.67 Hz, CH2), 2.43 (t, 2H, J=6.70 Hz, CH2), 2.44 (t, J=6.20 Hz, 4H, piperazine CH2), 2.71 (s, 3H, CH3), 3.41 (s, 6H, N(CH3)2), 3.94 (brs, 2H, piperazine CH2), 4.20 (brs, 2H, piperazine CH2), 4.28 (s, 2H, CH2S), 7.65 (d, J=8.65 Hz, 2H, Ar-H), 7.80 (s, 1H, thiazole C5-H), 7.88 (d, 2H, J=8.65 Hz, Ar-H), 10.39 (s, 1H, N-H). [13]C NMR (125 MHz, DMSO-d6) δ 18.89, 39.88, 45.46, 49.76, 52.43, 55.0, 56.53, 112.46, 119.12, 126.39, 129.39, 138.63, 153.52, 165.29, 165.34, 194.23. MS (ES+): m/z 464.
2-[[4-(2-Methyl-4-thiazolyl)phenyl]amino]-2-oxoethyl 4-[3-(N,N-dimethylamino)propyl]piperazine-1-carbodithioate (6c)
Yield: 81%. M: p. 153-154 oC. IR (KBr) νmax (cm-1): 3290 (amide N-H), 1677 (amide C=O), 1337-1025 (C-N and C-O). 1H NMR (500 MHz, DMSO-d6) δ 1.53-1.58 (m, 2H, CH2), 2.20 (t, 2H, J=7.15 Hz, CH2), 2.32 (t, 2H, J=7.35 Hz, CH2), 2.45 (brs, 4H, piperazine CH2), 2.71 (s, 3H, CH3), 3.40 (s, 6H, N(CH3)2), 3.95 (brs, 2H, piperazine CH2), 4.21 (brs, 2H, piperazine CH2), 4.28 (s, 2H, CH2S), 7.65 (d, J=8.60 Hz, 2H, Ar-H), 7.80 (s, 1H, thiazole C5-H), 7.88 (d, J=8.55 Hz, 2H, Ar-H), 10.39 (s, 1H, N-H). [13]C NMR (125 MHz, DMSO-d6) δ 18.89, 24.43, 41.29, 45.17, 51.12, 52.17, 55.33, 57.13, 112.45, 119.12, 126.39, 129.39, 138.64, 153.53, 165.30, 165.33, 194.23. MS (ES+): m/z 478.
2-[[4-(2-Methyl-4-thiazolyl)phenyl]amino]-2-oxoethyl 4-cyclo hexylpiperazine-1-carbodithioate (6d)
Yield: 85%. M. p. 194-196 oC. IR (KBr) νmax (cm-1): 3298 (amide N-H), 1678 (amide C=O), 1356-1023 (C-N and C-O). 1H NMR (500 MHz, DMSO-d6) δ 1.06-1.23 (m, 5H, cyclohexyl CH2), 1.56-1.76 (m, 5H, cyclohexyl CH2), 2.27-2.29 (m, 1H, cyclohexyl CH2), 2.58 (brs, 4H, piperazine CH2), 2.71 (s, 3H, CH3), 3.92 (brs, 2H, piperazine CH2), 4.19 (brs, 2H, piperazine CH2), 4.27 (s, 2H, CH2S), 7.65 (d, J=8.50 Hz, 2H, Ar-H), 7.80 (s, 1H, thiazole C5-H), 7.88 (d, J=8.50 Hz, 2H, Ar-H), 10.39 (s, 1H, N-H). [13]C NMR (125 MHz, DMSO-d6) δ 18.89, 25.20, 25.77, 28.25, 39.88, 39.96, 40.05, 41.22, 62.23, 112.46, 119.10, 126.38, 129.38, 138.63, 153.53, 165.34, 194.02. MS (ES+): m/z 475.
2-[[4-(2-Methyl-4-thiazolyl)phenyl]amino]-2-oxoethyl 4-phenyl piperazine-1-carbodithioate (6e)
Yield: 84%. M. p. 190-193 oC. IR (KBr) νmax (cm-1): 3299 (amide N-H), 1674 (amide C=O), 1356-1014 (C-N and C-O). 1H NMR (500 MHz, DMSO-d6) δ 2.71 (s, 3H, CH3), 3.26 (brs, 4H, piperazine CH2), 4.13 (brs, 2H, piperazine CH2), 4.29 (s, 2H, CH2S), 4.37 (brs, 2H, piperazine CH2), 6.82 (t, 1H, J=7.28 Hz, Ar-H), 6.96 (d, 2H, J=8.10 Hz, Ar-H), 7.25 (t, 2H, J=7.98 Hz, Ar-H), 7.66 (d, J=8.70 Hz, 2H, Ar-H), 7.81 (s, 1H, thiazole C5-H), 7.88 (d, J=8.65 Hz, 2H, Ar-H), 10.42 (s, 1H, N-H). [13]C NMR (125 MHz, DMSO-d6) δ 18.89, 39.89, 39.97, 40.06, 41.27, 47.56, 112.49, 115.45, 119.13, 119.26, 126.40, 129.03, 129.41, 138.63, 149.99, 153.52, 165.27, 165.36, 194.02. MS (ES+): m/z 469.
2-[[4-(2-Methyl-4-thiazolyl)phenyl]amino]-2-oxoethyl 4-(4-fluorophenyl)piperazine-1-carbodithioate ()
Yield: 78%. M. p. 188-189 oC. IR (KBr) νmax (cm-1): 3315 (amide N-H), 1672 (amide C=O), 1367-1010 (C-N and C-O). 1H NMR (500 MHz, DMSO-d6) δ 2.71 (s, 3H, CH3), 3.21 (brs, 4H, piperazine CH2), 4.12 (brs, 2H, piperazine CH2), 4.32 (s, 2H, CH2S), 4.36 (brs, 2H, piperazine CH2), 7.44 (2H, d, J=8.02 Hz, Ar-H), 7.66 (d, J=8.70 Hz, 2H, Ar-H), 7.81 (s, 1H, thiazole C5-H), 7.89 (d, J=8.60 Hz, 2H, Ar-H), 8.12 (2H, d, J=8.12 Hz, Ar-H), 10.42 (s, 1H, N-H). [13]C NMR (125 MHz, DMSO-d6) δ 18.89, 39.88, 39.96, 40.05, 41.29, 48.47, 50.74, 112.48, 115.32, 115.49, 117.39, 117.45, 117.77, 119.14, 126.40, 129.41, 138.63, 146.91, 165.26, 165.36, 194.65. MS (ES+): m/z 487.
2-[[4-(2-Methyl-4-thiazolyl)phenyl]amino]-2-oxoethyl 4-(4-nitrophenyl)piperazine-1-carbodithioate (6g)
Yield: 75%. M. p. 210-212 oC. IR (KBr) νmax (cm-1): 3305 (amide N-H), 1671 (amide C=O), 1345-1018 (C-N and C-O). 1H NMR (500 MHz, DMSO-d6) δ 2.71 (s, 3H, CH3), 3.73 (brs, 4H, piperazine CH2), 4.17 (brs, 2H, piperazine CH2), 4.33 (s, 2H, CH2S), 4.37 (brs, 2H, piperazine CH2), 6.94 (d, 2H, J=9.50 Hz, Ar-H), 7.66 (d, 2H, J=8.70 Hz, Ar-H), 7.81 (s, 1H, thiazole C5-H), 7.88 (d, J=8.60 Hz, 2H, Ar-H), 8.10 (d, 2H, J=9.35 Hz, Ar-H), 10.42 (s, 1H, N-H). [13]C NMR (125 MHz, DMSO-d6) δ 18.89, 39.88, 39.96, 41.21, 44.64, 111.79, 112.49, 119.13, 125.76, 126.40, 129.41, 138.62, 153.51, 153.65, 165.22, 165.36, 194.72. MS (ES+): m/z 514.
2-[[4-(2-Methyl-4-thiazolyl)phenyl]amino]-2-oxoethyl 4-(4-methoxyphenyl)piperazine-1-carbodithioate (6h)
Yield: 80%. M. p. 195-196 oC. IR (KBr) νmax (cm-1): 3325 (amide N-H), 1675 (amide C=O), 1363-1016 (C-N and C-O). 1H NMR (500 MHz, DMSO-d6) δ 2.71 (s, 3H, CH3), 3.15 (s, 3H, OCH3), 3.69 (brs, 4H, piperazine CH2), 4.11 (brs, 2H, piperazine CH2), 4.32 (s, 2H, CH2S), 4.37 (brs, 2H, piperazine CH2), 6.85 (d, 2H, J=9.05 Hz, Ar-H), 6.93 (d, 2H, J=9.05 Hz, Ar-H), 7.67 (d, 2H, J=8.70 Hz, Ar-H), 7.81 (s, 1H, thiazole C5-H), 7.89 (d, J=8.65 Hz, 2H, Ar-H), 10.42 (s, 1H, N-H). [13]C NMR (125 MHz, DMSO-d6) δ 18.90, 39.89, 39.97, 49.32, 55.15, 112.48, 114.31, 117.88, 119.14, 126.41, 129.41, 138.64, 144.37, 153.38, 153.53, 165.28, 165.36, 194.72. MS (ES+): m/z 499.
2-[[4-(2-Methyl-4-thiazolyl)phenyl]amino]-2-oxoethyl 4-(4-methylbenzyl)piperazine-1-carbodithioate (6i)
Yield: 82%. M. p. 140-141 oC. IR (KBr) νmax (cm-1): 3318 (amide N-H), 1674 (amide C=O), 1355-1024 (C-N and C-O). 1H NMR (500 MHz, DMSO-d6) δ 2.28 (s, 3H, CH3), 2.71 (s, 3H, CH3), 3.42 (s, 2H, CH2), 3.46 (brs, 4H, piperazine CH2), 3.95 (brs, 2H, piperazine CH2), 4.22 (brs, 2H, piperazine CH2), 4.29 (s, 2H, CH2S), 7.11 (d, 2H, J=8.10 Hz, Ar-H), 7.18 (d, 2H, J=7.90 Hz, Ar-H), 7.67 (d, 2H, J=8.70 Hz, Ar-H), 7.80 (s, 1H, thiazole C5-H), 7.89 (d, J=8.65 Hz, 2H, Ar-H), 10.42 (s, 1H, N-H). [13]C NMR (125 MHz, DMSO-d6) δ 18.90, 20.69, 41.35, 49.79, 51.82, 61.02, 112.46, 119.14, 126.40, 128.79, 128.92, 129.41, 134.30, 136.16, 138.65, 153.54, 165.30, 165.33, 194.29. MS (ES+): m/z 497.
Pharmacology
AChE inhibition
All compounds were subjected to a slightly modified method of Ellman’s test [30] in order to evaluate their potency to inhibit the AChE. The spectrophotometric method is based on the reaction of released thiocholine to give a coloured product with a chromogenic reagent 5,5-dithio-bis(2-nitrobenzoic)acid (DTNB). AChE, (E. C.3.1.1.7 from Electric Eel, 500 units), and Donepezil hydrochloride were purchased from Sigma–Aldrich (). Potassium dihydrogen phosphate, DTNB, potassium hydroxide, sodium hydrogen carbonate, gelatine, acetylthiocholine iodide (ATC) were obtained from Fluka (). Spectrophotometric measurements were performed on a 1700 Shimadzu UV-1700 UV–Vis spectrophotometer. Cholinesterase activity of the compounds (6a-i) was measured in phosphate buffer (pH 8.0) at , using ATC as substrates, respectively. DTNB () was used in order to observe absorbance changes at 412 nm. Donepezil hydrochloride was used as a positive control [31] (Table-1).
Enzymatic assay
Enzyme solutions were prepared in the gelatin solution (1%), at a concentration of 2.5 units/mL. AChE and compound solution (50 µL) which is prepared in 2% DMSO at a concentration range of 10-1-10- was added to 3.0 mL phosphate buffer (pH 8±0.1) and incubated at for 5 min. The reaction was started by adding DTNB) (50 µL) and ATC (10 µL) to the enzyme-inhibitor mixture. The production of the yellow anion was recorded for 10 min at 412 nm. As a control, an identical solution of the enzyme without the inhibitor is processed following the same protocol. The blank reading contained 3.0 mL buffers, 50 μL 2% DMSO, 50 μL DTNB and 10 μL substrate. All processes were assayed in triplicate. The inhibition rate (%) was calculated by the following equation:
Inhibition % = (AC–AI) / AC x 100
Where AI is the absorbance in the presence of the inhibitor, AC is the absorbance of the control and AB is the absorbance of blank reading. Both of the values are corrected with blank-reading value. SPSS for Windows 15.0 was used for statistical analysis. Data was expressed as Mean ± SD.
RESULTS AND DISCUSSION
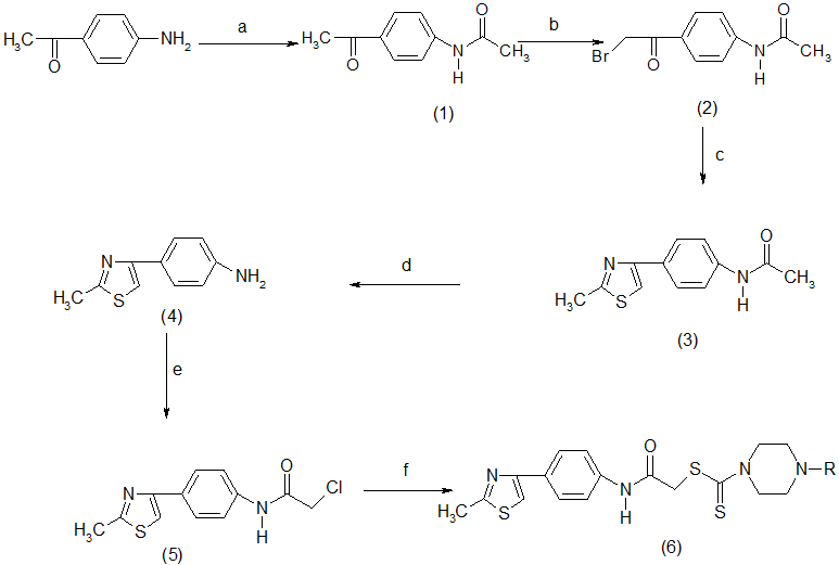
2-[[4-(2-methyl-4-thiazolyl)phenyl]amino]-2-oxoethyl 4-(substituted) piperazine-1-carbodithioate derivatives were synthesized in a similar way in our earlier study [32]. The thiazole ring was synthesized with a well-known reaction between haloketones(N-[4-(2-bromoacetyl) phenyl]acetamide-(2) and thioamide (thioacetamide) called Hantzsch reaction. Then, acetylated compound (2-chloro-N-[4-(2-methyl-4-thiazolyl)phenyl]acetamide-(5) was reacted with carbon disulphide, sodium hydroxide and appropriate secondary amines to give final compounds (6a-i).

Scheme 1: synthesis of the compounds (6a-i). Reagents and conditions: a. acetyl chloride, TEA, THF, 0-5 oC; b. Br2, AcOH; c. thioacetamide, EtOH, r. t. d. 10 % HCl, EtOH, reflux; e. chloroacetyl chloride, TEA, THF, r. t.; f. appropriate sodium salts of N,N-disubstituted dithiocarbamic acids, K2CO3, acetone, reflux
The structures of the synthesized compounds were elucidated by spectral data. In the IR spectra of the compounds characteristic stretching bands for C=O and N-H groups were observed at 1671-1679 cm-1 and at 3289-3325 cm-1, respectively. In the 1H-NMR spectra of the compounds, methyl protons at the second position of the thiazole ring and N-H protons belonging to amide moiety were observed at about 2.70-2.71 ppm and 10.39-10.42 ppm. In aromatic region C5-H of the thiazole ring was observed at about 7.79-7.81 ppm as singlet peaks. Protons of the-CH2 group linked to sulphur atom were assigned at 4.27-4.33 ppm as singlets and protons of the piperazine ring were seen at the range of 2.44 ppm and 4.22 ppm as broad singlets, commonly. In the [13]C-NMR spectra of the compounds, characteristic signals were determined at about 18.90 and 194.65 ppm belonging to CH3 and C=S carbons. Peaks which were seen at about 39-61 ppm assigned for piperazine carbons. The mass spectra of the compounds showed (M+1) peaks in agreement with their molecular weight.
Anticholinesterase activity
In the present study, some thiazole based piperazinecarbodithionic acid ester derivatives were tested for their AChE inhibitory activities by slightly modified Ellman’s assay. Initially, all compounds were tested for their inhibition potency against AChE at a single dose of 100 µM. Then the compounds 6b and 6c showing greater than 50 % enzyme inhibition were assayed at 10-0.001 µM concentration ranges and IC50 values were calculated. Donepezil was used as a control agent. Anticholinesterase inhibitory activity of the synthesized compounds is presented in Table 1.
As seen in the table 1, the compounds 6b and 6c were the most active derivatives in the series with a IC50 of 86.34 µM, 91.74 respectively. These compounds showed very closed inhibition potency to donepezil at the concentrations of 100 and 10 µM. The compounds were the other derivatives which showed higher inhibition potency than 50% at 100 µM concentrations. However, these compounds had low inhibitory activity at further concentrations. Structure activity relationships of compounds clearly showed that aliphatic side chain located fourth position of the piperazine moiety enhances the biological activity since all of the active compounds bear dimethylamino ethyl or dimethylamino propyl groups. On the other hand phenyl or cyclohexyl substituted piperazine containing compounds did not showed notable enzyme inhibitory activity. Among the aliphatic side chain carrying compounds, the compounds 6b substituted with dimethylamino ethyl, displayed higher activity than the dimethylamino propyl substituted compounds 6c. This result suggests that increase of the carbon number in the aliphatic side chain causes an activity loss. Similarity between acetylcholine and dimethylaminoethyl side chain may explain the increasing enzyme inhibitory activity of the compounds 6b.
Table 1: Ach E Inhibition potency of compounds Thiazole-dithiocarbamate 6(a-i)
| Compound | 100 | 10 | 1 | 0.1 | 0.01 | 0.001 | IC50 (µM)* |
| 6a | 51.03±8.42 | ND* | ND | ND | ND | ND | ND |
| 6b | 89.70±6.37 | 48.95±6.91 | 23.42±2.28 | 11.74±1.43 | 9.76±0.72 | 5.41±0.86 | 86.34±1.31 |
| 6c | 72.13±9.26 | 39.95±1.45 | 20.68±0.93 | 10.23±1.08 | 9.34±0.18 | 2.46±0.10 | 91.74±1.43 |
| 6d | 50.21±1.86 | ND | ND | ND | ND | ND | ND |
| 6e | 57.44±1.97 | ND | ND | ND | ND | ND | ND |
| 50.77±1.87 | ND | ND | ND | ND | ND | ND | |
| 6g | 51.96±1.65 | ND | ND | ND | ND | ND | ND |
| 6h | 52.87±2.77 | ND | ND | ND | ND | ND | ND |
| 6i | 50.54±1.88 | ND | ND | ND | ND | ND | ND |
| Donepezil | 99.00±0.28 | 96.93±0.28 | 79.99±1.66 | 23.17±1.34 | 18.16±0.78 | 12.24±0.11 | 0.054±0.002 |
*ND: Not determined, *IC50:50 % inhibitory concentration (means + SD of three independent experiments) of AChE
CONFLICT OF INTERESTS
The author reports no conflicts of interest.
REFERENCES
Racchi M, Mazzucchelli M, Porello E, Lanni C, Govoni S. Acetylcholinesterase inhibitors: novel activities of old molecules. Pharmacological Research 2004;21:441-51.
Kosasa T, Kuriya Y, Matsui K, Yamanishi Y. Inhibitory effects of donepezil hydrochloride (E2020) on cholinesterase activity in brain and peripheral tissues of young and aged rats. Eur J Pharmacol 1999;386:7-13.
Carreiras MC, Marco Jl. Recent approaches to novel anti-alzheimer therapy. Curr Pharm Des 2004;25:3167-75.
Parihar MS, Hemnani T. Alzheimer’s disease pathogenesis and therapeutic interventions. J Clin Neurosci 2004;11:456-67.
Thacker PD. Surprising discovery with Alzheimer’s medication. Drug Discovery Today 2003;1:8-9.
Tabet N. Acetylcholinesterase inhibitors for Alzheimer’s disease, anti-inflammatories in acetylcholine clothing. Age Aging 2006;35:336-8.
Giacobini E, Spiegel R, Enz A, Veroff AE, Cutler NR. Inhibition of acetyl-and butryl-cholinesterase in the serebrospinal fluid of patients with Alzheimer’s disease by rivastigmine: correlation with cognitive benefit. J Neural Transm 2002;109:1053-65.
Standridge JB. Pharmacotherapeutic Approaches to the treatment of Alzheimer's Disease. Clin Ther 2004;26:615–30.
Lemke TL, Williams DA. Foye’s Principles of Medicinal Chemistry. Lippincott Williams & Wilkins, Baltimore; 2008.
Wilkinson DG, Francis PT, Schwam E, Payne-Parrish J. Cholinesterase inhibitors used in the treatment of Alzheimer’s disease: the relationship between pharmacological effects and clinical efficacy. Drugs Aging 2004;21:453–78.
Pepeu G, Giovannini MG. Cholinesterase inhibitors and beyond. Curr Alzheimer Res 2009;6:86–96.
Grutzendler J, Morris JC. Cholinesterase inhibitors for Alzheimer's disease. Drugs 2001;61:41–52.
A, Castro A. Novel cholinesterase inhibitors as future effective drugs for the treatment of Alzheimer's disease. Expert Opin Investig Drugs 2006;15:1–12.
Johannsen P. Long-term cholinesterase inhibitor treatment of alzheimer’s disease. CNS Drugs 2004;18:757–68.
Shen ZX. Brain cholinesterases: III. Future perspectives of AD research and clinical practice Med. Hypotheses 2004;63:298–307.
Giacobini E. Emerging drugs and targets for alzheimer's disease. Neurochem Res 2003;28:515–22.
Turan-Zitouni G, Ozdemir A, Guven K. Synthesis of Some 1-[(N,N-Disubstituted thiocarbamoylthio)acetyl]-3-(2-thienyl)-5-aryl-2-pyrazoline derivatives and investigation of their antibacterial and antifungal activities. Arch Pharm Chem Life Sci 2005;338:96–104.
Tokuyama R, Takahashi Y, Tomita Y, Tsubouchi M, Yoshida T, Iwasaki N, et al. Structure–activity relationship (SAR) studies on oxazolidinone antibacterial agents. 2.1) relationship between lipophilicity and antibacterial activity in 5-thiocarbonyl oxazolidinones. Chem Pharm Bull 2001;49:353–60.
Wang XJ, Xu HW, Guo LL, Zheng JX, Xu JX, Guo CX. Design and synthesis of novel 1,2,3-triazole-dithiocarbamate hybrids as potential anticancer agents. Bioorg Med Chem Lett 2011;21:3074–7.
, LaVoie EJ. Chemical similarity and biological activities. Chem Rev 1996;96:3147–76.
Waterbeemd H, Mannhold R. In Lipophilicity Descriptors for Structure Property Correlation Studies: Overview of Experimental and Theoretical Methods and a Benchmark of Log P Calculations, Lipophilicity in Drug Action and Toxicology. (R Mannhold, H Kubinyi, H Timmerman, Series Eds. V Pliska, B Testa, H Waterbeemd Vol, Eds.) VCH Publishers, New York, USA; 1996.
Andreani A, Burnelli S, Granaiola M, Guardigli M, Leomi A, Locatelli A, et al. Chemiluminescent high-throughput microassay applied to imidazo[2,1-b]thiazole derivatives as potential acetylcholinesterase and butyrylcholinesterase inhibitors. Eur J Med Chem 2008;43:657-61.
Sivakumar S, Kumar RR, Ali MA, Choon TS. An atom economic synthesis and AChE inhibitory activity of novel dispiro-7-aryltetrahydro-1Hpyrro; o[1,2-c][1,3]thiazole and-4-aryloctahydroindolizine-Nmethylpiperidin-4-one hybrid heterocycles. Eur J Med Chem 2013;65:240-48.
Ali MA, Ismail R, Choon TS, Kumar RS, Osman H, Arumugam N, et al. AchE inhibitor: A regio-and stereo-selective 1,3dipolar cycloaddition for the synthesis of novel substituted 5,6dimethoxy spiro[5,3']oxindolespiro[6,3"]-2,3dihydro-1Hinden-1"one-7-(substitutedaryl)-tetrahydro-1Hpyrrolo[1,2-c][1,3]thiazole. Bioorg Med Chem Lett 2012;22:508-11.
Imramovsky A, Pejchal V, Stepankova S, Vorcakova K, Jampilek J, Vanco J, et al. Synthesis and in vitro evalution of new derivatives of 2-substituted-6-fluorobenzo[d]thiazole as cholinesterase inhibitors. Bioorg Med Chem 2013;21:1735-48.
, Narendra S, Chandra JN. Synthesis and efficacy of 1-[bis(4-fluorophenyl)-methyl]piperazine derivatives for acetylcholinesterase inhibition, as a stimulant of central cholinergic neurotransmission in Alzheimer's disease. Bioorg Med Chem Lett 2006;16:3932-6.
Yurttaş L, Özkay Y, Kaplancikli ZA. Design, synthesis and evaluation of new thiazole-piperazines as acetylcholinesterase inhibitors. J Enzyme Inhib Med Chem 2013;28:1040-47.
Varadaraju KR, Kumar JR, Mallesha L, Muruli A, Mohana KN, Mukunda CK, et al. Virtual screening and biological evaluation of piperazine derivatives as human acetylcholinesterase inhibitors. Int J Alzheimers Dis 2013:1.
Mohammadi-Farani A, Ahmadi A, Nadri H, Aliabadi A. Synthesis, docking and acetylcholinesterase inhibitory assessment of 2-(2-(4-benzylpiperazin-1-yl)ethyl)isoindoline-1,3-dione derivatives with potential anti-Alzheimer effects. Daru 2013;21:21-47.
Perry NSL, Houghton PJ, Theobald AE, Jenner P, Perry EK. In-vitro inhibition of human erythrocyte acetylcholine esterase by Salvia lavandulae folia essential oil and constituent terpenes. J Pharm Pharmacol 2000;52:895-902.
Ellman GL, Courtney KD, Andres V, A new and rapid colorimetric determination of acetylcholinesterase activity. Biochem Pharmacol 1961;7:88-95.
Karali N, Apak I, Ozkirimli S, Gursoy A, Dogan SU, Eraslan A, et al. Synthesis and pharmacology of new dithiocarbamic acid esters derived from phenothiazine and diphenylamine. Arch Pharm Med Chem 1999;332:422-6.