aFaculty of Pharmacy, Jember University, Jember, East Java 68121, Indonesia, bFaculty of Pharmacy, Airlangga University, Surabaya, East Java 60286, Indonesia.
Email: indahpurnamasary.farmasi@unej.ac.id
Received: 14 Nov 2014 Revised and Accepted: 10 Dec 2014
ABSTRACT
Objective: N-phenylbenzamides are important and biologically active compounds. N-phenylbenzamides have been synthesized by some routes. An attempt has been made to find out the new route to synthesize N-phenylbenzamides.
Methods: The reaction was carried out by reacting substituted benzoyl chlorides with 1,3-diphenylthiourea in the presence of triethylamine in THF at 70 °C. After 4hr the product was purified and identified.
Results: An excellent and pure yield of N-phenylbenzamides was obtained by reacting substituted benzoyl chlorides with 1,3-diphenylthiourea. The proposed mechanism follows imino alcohol-amide tautomerism and suggests the involvement of rearrangement intermediate.
Conclusion: 1,3-diphenylthiourea is inexpensive commodity chemical and it is found to be the useful reagent for the direct conversion to N-phenylbenzamide. The proposed mechanism follows imino alcohol-amide tautomerism and suggests the involvement of rearrangement intermediate. The synthesis gave pure, high yield, and the one and only isolated product.
Keywords: N-phenylbenzamide, 1,3-diphenylthiourea, Imino alcohol-amide tautomerism, Rearrangement intermediate.
Benzamides are important class of compounds and useful building blocks in organic synthesis [1, 2]. Benzamides, especially N-phenyl benzamides, display a wide range of biological activity including antibacterial, antimicrobial, antiviral, antimalarial, anticonvulsant, analgesic, antidiabetic, antiulcer and anti allergy agents [1-7].
N-phenylbenzamides have been synthesized by interconversions of carboxylic acid derivatives, metal-catalyzed amidation of aryl halides, oxidative amidation of aldehyde, aminocarbonilation, and other routes [8]. In this article, we reported a direct route to N-phenyl benzamides by conversion of benzoyl chloride derivatives with 1,3-diphenylthiourea.
Reaction of benzoyl chloride derivatives with 1,3-diphenylthiourea presumably and expectedly yielded the targeted compounds, 1,3-dibenzoyl-1,3-diphenylthiourea derivatives [9]. Instead of the targeted compounds, the synthesis gave different compound as high yield (40-93%) and the one and only isolated product, which were N-phenylbenzamides.
The synthesis of N-phenylbenzamides was carried out by adding dropwise a solution of substituted benzoyl chloride (20 mmol) in tetrahydrofuran (10 ml) to a suspension of 1,3-diphenylthiourea (10 mmol) and triethylamine (10 mmol) in tetrahydrofuran (20 ml), then the reaction mixture was refluxed for 4 hours. The reaction mixture was evaporated, quenched into water and washed by saturated sodium bicarbonate and water again. The paste form-reaction mixture was poured into hot ethanol and the precipitated N-phenylbenzamides were recrystallized aqueous ethanol.

Scheme 1: Synthesis of N-phenylbenzamides
1HNMR, 13CNMR, IR, and UV-Vis spectra of all synthesis products indicated undesired different results. There was still one unsubstituted amine of 1,3-diphenylthiourea shown by 1HNMR, 13CNMR and IR spectra, giving assumption that the reaction produced 1-benzoyl-1,3-diphenylthioureas. Unpredictably, 1HNMR and 13CNMR spectra showed loss of some protons and carbons of the corresponding 1-benzoyl-1,3-diphenylthiourea compound. Finally, we established the structure of N-phenylbenzamides in accordance with the spectra.
Table 1: Derivatives of N-phenylbenzamidea

| Compound | R | Mp (°C) | Yield (%) | Formula |
| 1 | H | 160 | 82 | C13H11ON |
| 2 | 3,4-Cl | 169 | 69 | C13H10ONCl2 |
| 3 | 4-OCH3 | 159 | 93 | C14H13O2N |
| 4 | 4-tert-but | 117 | 40 | C17H19ON |
aThe infrared and nuclear magnetic resonance (1H and 13C) spectra were consistent with the structural assignments.
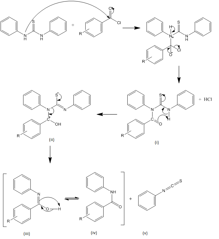
Herein, we explained the proposed mechanism for the conversion to N-phenylbenzamide products. Nucleophilic substitution reaction between 1,3-diphenylthiourea and benzoyl chloride derivatives gave the attachment of one benzoyl ring to one of the amine, then continued with rearrangement to obtain N-phenylbenzamides. The proposed mechanism follows imino alcohol-amide tautomerism. In the case of hydroxide ion the result, after protonation, is an imidic acid (also called an imino alcohol), the tautomer of an amide, and in general less stable than the corresponding amide [10]. It obviously explained the products were amide tautomer.

Fig. 1: The proposed mechanism of N-phenylbenzamide synthesis
The proposed mechanism (fig. 1) involves further steps that include conversion of 1-benzoyl-1,3-diphenylthiourea (i) to N- phenyl benzamide (iv). Based on the observed products, we suggest the bulky size of 1,3-diphenylthiourea to give a hindrance so that only one amine successfully substituted by benzoyl moiety, resulting compound (i). Furthermore, rearrangement occured due to the bulky steric strain owned by (i), converting it to compound (ii). The unstable compound (ii) converted itself into compound (iii), which was the tautomer of (iv), and release compound (v) at the same time.
We proposed that rearrangement was the key intermediate in the conversions to the N-phenylbenzamide products. The rearrangement converting (i) to (ii) gave a possible route to provide compound (iii), the tautomer of an amida (iv). This suggestion was in accordance with the earlier study of proton-transfer tautomerization of benzanilide (N-phenylbenzamide) to its imidol form (N-phenylbenzimidic acid) reported by Tang [11]. Moreover, the conversions to the N-phenylbenzamides also released compound (v), phenylisothiocyanate. Presumably, any byproducts phenylisothiocyanate were lost in the ethanolous phase during workup.
In conclusion, we have found that 1,3-diphenylthiourea is a useful reagent for the direct conversions to the N-phenylbenzamides. The proposed mechanism follows imino alcohol-amide tautomerism and suggests the involvement of rearrangement intermediate. The synthesis gave pure, high yield, and the one and only isolated product.
ACKNOWLEDGMENT
We gratefully acknowledge the support of the Department of Pharmaceutical Chemistry, Airlangga University.
CONFLICT OF INTERESTS
We hereby declare that there is no conflict of interest
REFERENCES