aDepartment of Molecular Microbiology and Biotechnology, Institute Biology Leiden, Leiden University, Sylviusweg 722333 BE Leiden, The Netherlands, bDepartment of Pharmaceutical Biology, Faculty of Pharmacy, Gadjah Mada University, Sekip Utara, Yogyakarta 55281, Indonesia, cCentre for Natural Anti-infective Research (CNAIR), Faculty of Pharmacy, Gadjah Mada University, Sekip Utara, Yogyakarta 55281, Indonesia, dKoppert Biological Systems, Veilingweg 14, 2650 AD Berkel en Rodenrijs, The Netherlands.
Email: cam.van.den.hondel@biology.leidenuniv.nl
Received: 18 Nov 2014 Revised and Accepted: 10 Dec 2014
ABSTRACT
Objective: The increasing rates of antibiotic-resistant microbial infections requires continuous development of new antimicrobial agents. Moreover, microbial biofilms exhibit elevated resistance to most antimicrobial drugs and the host defense systems, which often results in persistent and difficult-to-treat infections. The discovery of anti-infective agents which are active against both planktonic and biofilm microbial are consequently required to deal with these biofilm-mediated infections. The aim of this study is to evaluate the activity of Indonesian medicinal plants extracts on planktonic and biofilm growth of Pseudomonas aeruginosa PAO1 and Staphylococcus aureus Cowan I.
Methods: Fifty four (54) ethanol extracts were obtained from a variety of known Indonesian medicinal plants. The growth inhibitory concentration (MIC), effects on biofilm formation and biofilm breakdown, and biofilm architecture in the absence and presence of the extracts by confocal laser-scanning microscopy along with LIVE/DEAD staining was performed.
Results: Plantextracts showed an inhibitory effect on planktonic growth of these bacteria and also on their biofilm formation. At a concentration as low as 0.12 mg/ml, biofilm formation of P. aeruginosa PAO1 and S. aureus Cowan I is inhibited by 5 plant ethanol extracts: Kaempferia rotunda L., Caesalpinia sappan L., Cinnamomum burmanii Nees ex Bl., C. sintoc and Nymphaea nouchali Burm. f. Limited bacteriostatic activity was evident.
Conclusion: The results clearly indicate the extracts obtained are interesting sources of putative antibiofilm agents. This research can contribute to the development of new strategies to prevent and treat biofilm infections.
Keywords: Medicinal plants, Antibiofilm, Pseudomonas aeruginosa PAO1, Staphylococcus aureus Cowan I.
INTRODUCTION
In the past, it was thought that microorganisms live primarily asfree-floating single-celled (planktonic) organisms. They rapidly multiply and are living an individualistic lifestyle in nutrient rich media. However, it is increasingly recognized that in nature most microorganisms live together in large, surface-attached structured populations called biofilms. A biofilm community can be formed by a single species of microorganism, but in nature biofilms can also consist of mixtures of many species of bacteria, as well as fungi, algae, yeasts, and protozoa [1, 2].
Biofilms of infectious microorganisms play an important role in human health [3] and because of their resistance to detergents and antimicrobial agents they are difficult to treat. The National Institute of Health (NIH) estimates that biofilms are involved in more than 65% of nosocomial infections and up to 75% of microbial infections occurring in the human body [4]. Biofilms of infectious microorganisms are also formed on medical instruments and implants such as catheters, artificial heart valves, contact lenses and artificial joints, putting patients at risk for local and systemic infectious [5, 6]. In addition, the prevalence of microbial resistance to many commonly used antibiotics is increasing. These findings enlarge the need for new antimicrobial compounds.
Since ancient times, man has used plants for healing, although often without a rational explanation for their curative effects. According to the World Health Organization, the use of traditional medicine (TM) continues to play an important role in health care. In many parts of the world, it is the preferred form of health care. About 80% of people in developing countries, especially in rural areas, use TM as the primary source of medicine [7]. There are approximately 500.000 plant species occurring worldwide, and less than 1% has been screened for biologically active compounds [8]. Indonesian Country Study on Biodiversity [9] places the number of species of flowering plants in Indonesia between 25.000 and 30.000. Of the total flora of Indonesia, 10% is expected to have pharmaceutical potential. There is a large variety of plants that are used as medicines [10].
Previously, novel antibiotics have been tested mostly against planktonic bacteria. Therefore, compounds that are suitable to inhibit biofilm formation still need to be discovered. Up to now, only a few compounds, isolated from natural products with activity against microbial biofilms have been reported [11]. Eugenol isolated from clove showed inhibition of Candida albicans biofilm formation [12, 13]. Aeromonas hydrophylla biofilm formation is inhibited by vanillin [14]. Usnic acid, a secondary lichen metabolite, is also capable of inhibiting Pseudomonas aeruginosa biofilm formation [15]. In this study, we screened extracts of Indonesian medicinal plants with respect to their capacity to inhibit biofilm formation and or to break down the biofilms of two known human opportunistic pathogens, the Gram negative strain Pseudomonas aeruginosa PAO1 and the Gram positive strain Staphylococcus aureus Cowan I.P. aeruginosa and S. aureus are bacteria that cause nosocomial infectionsworldwide and can form biofilms which play an important role in various acute infections.
The plants investigated in this paper were those predicted and known to have antimicrobial properties based on prior work and on local uses of the plants[16-19]. However, few studies have investigated Indonesian medicinal plants for their antibiofilm activities. This study focused particularly on the idea that Indonesian medicinal plants might be a novel source of candidate antibiofilm compounds to be used in treating biofilm associated infections.
Our results demonstrated the effectiveness of extracts from Kaempferia rotunda L., Caesalpinia sappan L., Cinnamomum burmanii Nees ex Bl., C. sintoc L., and Nymphaea nouchali Burm. f towards P. aeruginosa PAO1 and S. aureus Cowan I biofilms. These property may offer novel routes to treat infectious biofilms alongsideconventional antibiotics, or applied industrially to remove biofilms from water pipes.
MATERIALS AND METHODS
Plant material and extraction
Indonesian medicinal plants were collected from Yogyakarta, Indonesia and its surroundings on the basis of ethnopharmacological information during January – May 2009. The plant materials were identified, authenticated and preserved at Department of Pharmaceutical Biology, Faculty of Pharmacy, Gadjah Mada University, Yogyakarta, Indonesia for further reference.

Plants samples were washed, cut into small pieces and oven dried at 40⁰C for 48-72 hours [20-22]. The drying process prevents degradation through metabolic process, and prevents microbial growth. The drying temperature may vary from 35⁰C to 70 ⁰C depending on the part of the plant and sensitivity of the active principles. For the leaves, a temperature range of 20-40 ⁰C is recommended. Drying plant material in an oven with low drying temperatures between 30⁰C and 50°C is faster than exposure of plant materials to fresh air (shaded from direct sunlight), and still capable of protecting sensitive active ingredients [23]. The dried plant materials were ground into a fine powder. The pulverized materials were next extracted by maceration using Petroleum Ether (PE) in a ratio of 1 g (plant material): 10 mL PE to remove the lipids. The plant material was the nextracted with 70% ethanol (EtOH) using a ratio of 1 g (plant material): 10 mL (EtOH) to obtain crude ethanol extract. Subsequently, extracts were dried and concentrated under reduced pressure using a rotary evaporator. Stock solutions (100 mg/ml) of crude ethanol extract in dimethyl sulfoxide (DMSO) were prepared, filter-sterilized (0.2 µm) and stored at 4oC.
Determination of planktonic growth inhibitory concentration (PMIC)
Pseudomonas aeruginosa PAO1 and Staphylococcus aureus Cowan I were grown on LB agar plates at 28oC and 37oC, respectively. A single colony was inoculated in 5 ml LB broth. After overnight growth the OD600 was set to 0.01 (107 CFU/ml). Cells were incubated for 2 hours and the final OD600 was diluted to 105 CFU/ml. Inhibiting concentration of extracts were determined by the microtiter broth method in sterile flat-bottom 96-well polystyrene plates using Mueller-Hinton broth medium (Difco). Experiments were performed according to the Clinical and Laboratory Standards Institute (CLSI) guidelines [24], with concentrations ranging from 0.06 to 1 mg/ml. Controls were: media control, infected untreated control (100% growth). DMSO was used as a vehicle control, and streptomycin (WHAT CONCENTRATION?) used as positive control. All tests were performed in triplicate. Culture plates were incubated overnight at 37 °C for S. aureus Cowan I and 28 °C for P. aeruginosa PAO1. Optical density readings were obtained by using plate read outs at 595 nm.
Growth reduction was calculated as % of inhibition by using the formula mentioned below. The % of inhibition of replicate tests was used to determine the final PMIC50 values. The concentration at which the extract depleted the growth of bacterial by at least 50% was labeled as the MIC50.

ODt24 = optical density (595 nm) of the test well at 24 h post-inoculation; ODt0: optical density (595 nm) of the test well at 0 h post-inoculation; ODgc24: optical density (595 nm) of the growth control well at 24 h post-inoculation; ODgc0: optical density (595 nm) of the growth control well at 0 h post-inoculation [25].
Effect on biofilm formation and biofilm breakdown
To test for the inhibitory activity of plant extracts on biofilm formation, PVC (polyvinyl chloride) flexible U bottom 96 wells plates were used (Falcon 3911, Becton Dickinson, Franklin Lakes, NY). To determine biofilm formation inhibition and biofilm breakdown activity, extracts at sub-inhibitory concentrations (1/2 of PMIC50) ranging from 0.03-0.5 mg/ml were used to ensure a non-toxic concentration. Negative controls (cells+media: TSB for S. aureus Cowan I and M63 supplemented with 20% casamino acids, 20% glucose and 1 mM MgSO4 for P. aeruginosa PAO1), positive controls (cells+media+streptomycin), vehicle controls (cells+media+DMSO), and media controls were included. For the positive controls a concentration of 512 µg/ml streptomycin was used, prepared by serial dilution techniques. Blanks undergo the same treatment as samples, but without incubation. All tests were performed in triplicate.
Plates were incubated for 24 h at 28⁰C for P. aeruginosa and 48h at 37 ⁰C for S. aureus. After 24-48 h incubation, the content of the well was aspirated, rinsed 3 times with distilled water, and dried at room temperature for 10 min. Then, 125 µl of 1% crystal violet stain was added to the wells for staining for 15 min. The excess stain was rinsed off with tap water and 200 µl methanol was added to the wells, and transferred to a flat-bottom 96-well plate. Optical density readings were obtained by a plate reader at 595 nm. Biofilm formation inhibition was calculated as % of inhibition by using the formula mentioned below. The % of inhibition of replicate tests were used to determine the final minimum biofilm inhibition concentration (MBIC) values. The concentration at which the extract depleted the bacterial biofilm by at least 50% was labeled as the MBIC50.
![]()
ODt= optical density (595 nm) of the test well; ODmc: optical density (595 nm) of the media control well; ODvc: optical density (595 nm) of the vehicle control well [25, 26].
The efficacy of plant extract on established biofilm (biofilm breakdown) was also studied, as described by Nostro et al. [27] with some modifications. Biofilms were grown on 96-well plates for 24-48 h. Post-inoculation, planktonic cells and media were removed and fresh media was added together with the test extract. Plates were placed back into the incubator for 24-48 h. The staining methods have been described above. The percentage of inhibition was calculated, as described before, to determine the final minimum biofilm eradication concentration (MBEC) values. The concentration at which the extract was capable of breaking down the established bacterial biofilm by at least 50% was labeled as the MBEC50.
Biofilm architecture
Confocal laser-scanning microscopy (CLSM) was used to study the structure of the P. aeruginosa PAO1 and S. aureus Cowan Ibiofilms [28]. Bacterial biofilms were grown under static conditions on glass slides in sterile tubes. To examine an inhibitory effect of plant extracts on biofilm formation, fifteen ml of LB media in a sterile tube with or without plant ethanol extract was inoculated with the different bacteria to an OD600 of 0.1 from overnight grown LB cultures. Glass slides were submerged in this suspension and tubes were incubated for 24 h or 48h at 28 °C or 37 °C. Following the incubation period, the suspensions of bacteria were removed and glass slides were rinsed with 0.15 M phosphate-buffered saline (PBS, pH 7.0) to remove unattached cells. Fifteen ml of LB media with or without plant ethanol extract were poured into the tubes, and the tubes then incubated for another 24 h at 28 °C or 37 °C.
Prior to CLSM analysis, glass slides were rinsed with 0.15 M phosphate-buffered saline (PBS, pH 7.0) to remove unattached cells. After washing with PBS, the bacterial biofilm on the cover-glass slide was incubated for 15 min with 1.5 µl of 3.34 mM SYTO9 in anhydrous DMSO to stain the living organisms, and with 1.5 µl of 20 mM Propidium Iodide (PI) in anhydrous DMSO to stain the dead organisms. SYTO9 penetrates intact bacterial membranes (live) and stains the cells green, while PI penetrates only cells with damaged membranes (dead) and stains the cells red. The live organisms, freshly cultured and subsequently harvested, were used asa staining control. Cells killed by heating in 100 ⁰C were used for PI staining control. Stained biofilms were observed with a Carl Zeiss LSM 5 Exciter Laser Scanning Confocal Microscope (Leica Microsystems, Germany). A 40× and 63 x oil immersion objective were used with a 488
nm Ar laser excitation and 500–640
nm band pass emission setting. The images were subsequently analyzed using the freely available image processing software image J version 1.46 (Rasband, National Institutes of Health (NIH), Bethesda, Maryland, USA: http: //rsb. info. nih. gov/ij/) including the LSM reader plugin to open LSM5 formatted image stack created by the microscope software. The images' scale bar was used to calibrate the ImageJ area measurement algorithm. The observations were made in triplicate and representative images are presented here [29].
The image obtained has 2 channels (red and green) and converted into a composite image with: Image>Color>Make composite. By default, it will assign red to channel
#1, green to #2. Brightness and contrast levels were then adjusted to give the best differentiation between the live (green) and dead (red) areas. The scale bar was determined with: Analyze>Tools>Scale bar. Estimated 3D surface plots were obtained using:
Plugins>3D>Interactive 3D Surface Plot. Data containing arrays of the type (x, y, z) where x and y are the coordinates of the pixel positioning and the luminance of an image is interpreted as height for the plot (z): http: //rsbweb. nih. gov/ij/plugins/surface-plot-3d. html.
Statistical analysis
The data was statistically analysis by one-way ANOVA followed by Dunnett’s tests. A P value of 0.05 or less was considered to be statistically significant.
RESULT AND DISCUSSION
Preparation of ethanol extract from 54 Indonesian plants
During this study, fifty-four plants (table 1) were collected in Yogyakarta, Indonesia and its surroundings, and ethanol extracts were obtained as described in Material and Methods.
Table 1: Indonesian medicinal plants tested for antibiofilm activity
| Voucher number | Plant name | Part used |
| STP001 | Curcuma xanthorrhiza Roxb. | Rhizome |
| STP002 | C. heyneana Val. & v. Zijp | Rhizome |
| STP003 | C. aeruginosa Roxb. | Rhizome |
| STP006 | Zingiber officinale Roxb. | Rhizome |
| STP007 | Zingiber officinale Roscoe(var. rubrum Theilade) | Rhizome |
| STP004 | C. domestica L. | Rhizome |
| STP011 | Kaempferia galanga L. | Rhizome |
| STP013 | Boesenbergia pandurata (Roxb.) Schlecht. | Rhizome |
| STP005 | C. mangga Val. & v. Zijp | Rhizome |
| STP012 | Kaempferia rotunda L. | Rhizome |
| STP014 | Languas galanga (L.) Stuntz. | Rhizome |
| STP008 | Z. aromaticum Val. | Rhizome |
| STP009 | Z. zerumbet (L.)J. E. Smith | Rhizome |
| STP015 | Elettaria cardamomum (L.) Maton | Fruit |
| STP018 | Cosmos caudatus H. B. K. | Leaves |
| STP016 | Sonchus arvensis L. | Leaves |
| STP019 | Pluchea indica (L.) Less. | Leaves |
| STP017 | Elephantophus scaber L. | Leaves |
| STP020 | Blumea balsamifera (L.) DC. | Leaves |
| STP021 | Psidium guajava L. | Leaves |
| STP022 | Syzygium aromaticum (Linn.) Merr. | Flower |
| STP024 | Apium graveolens L. | Leaves |
| STP026 | Foeniculum vulgare Mill. | Fruit |
| STP027 | Piper betle L. | Leaves |
| STP029 | P. retrofractum Vahl. | Fruit |
| STP040 | Terminalia catappa L. | Leaves |
| STP041 | Azadirachta indica A. Juss | Leaves |
| STP039 | Averrhoa bilimbi L. | Leaves |
| STP031 | Citrus aurantifolia Swingle | Leaves |
| STP032 | Tamarindus indica L. | Leaves |
| STP034 | Caesalpinia sappan L. | Bark |
| STP042 | Sesbania grandiflora L. PERS var. Rubra | Leaves |
| STP033 | Andropogon citratus (DC.)Stapf. | Leaves |
| STP044 | Clerodendron serratum (L.) Spreng. | Leaves |
| STP043 | Sauropus androgynus (L.) Merr. | Leaves |
| STP045 | Andrographis paniculata (Burm. f) Nees | Leaves |
| STP035 | Myristica fragrans Houtt. | Seeds |
| STP036 | Guazuma ulmifolia Lmk. | Leaves |
| STP046 | Ocimum basilicum L. | Leaves |
| STP047 | Orthosiphon stamineus Benth. | Leaves |
| STP048 | Coleus scutellaroides (L.) Benth. | Leaves |
| STP038 | Anredera scandens (L.) Moq. | Leaves |
| STP037 | Phaleria macrocarpa (Scheff.) Boerl. | Leaves |
| STP050 | Litsea cubeba(Lours.) Pers. | Bark |
| STP051 | Cinnamomum burmanii Nees ex Bl. | Bark |
| STP052 | C. sintoc Bl. | Bark |
| STP049 | Tinospora tuberculata Beumee. | Leaves |
| STP054 | Paederia foetida L. | Leaves |
| STP055 | Melastoma polyanthum Bl. | Leaves |
| STP056 | Stelechocarpus burahol (Blume) Hook F. & Thomson | Leaves |
| STP058 | Stachytarpheta mutabilis (Jacq.) Vahl. | Leaves |
| STP059 | Alyxia stellate Roem & Schult. | Bark |
| STP060 | Parameria laevigata (A. Juss.) Moldenke | Bark |
| STP061 | Nymphaea nouchali Burm. f. | Flower |
Effects of ethanol extracts on planktonic growth, biofilm formation and biofilm breakdown of P. aeruginosa PAO1 and S. aureus Cowan I
Plant extracts assayed in this research were selected based on reports of anti-bacterial activity from the literature. The maximum concentration of 1 mg/ml of plant ethanol extracts for testing was chosen based on the previous study by Rios and Recio [32] who reported that extracts should be avoided exhibiting MIC values higher than 1 mg/ml or isolated compounds exhibiting MIC values higher than 0.1 mg/ml.
As shown in table 2, most of the crude extracts used in this study have limited antibacterial activity against planktonic growth of P. aeruginosa PAO1 and S. aureus Cowan I. 18 out of 54 plant extracts tested failed to inhibit planktonic or biofilm growth of either species. The lowest concentration of plant ethanol extract needed to inhibit growth was shown by C. xanthorrhiza and M. fragrans which give 50% growth inhibition of P. aeruginosa PAO1 at the concentration of 0.25 mg/ml and of S. aureus Cowan I at a concentration of 0.12 mg/ml. In addition to testing of the plant extracts for inhibition of planktonic growth we also investigated their effect on biofilm formation and biofilm breakdown.
Table 2: Effects of ethanol extracts on planktonic growth, biofilm formation and biofilm breakdown of P. aeruginosa PAO1 and S. aureus cowan I
Plant |
Planktonic antibacterial activity (PMIC50) in µg/ ml |
Antibiofilm formation activity (MBIC50) in mg/ml |
Biofilm breakdown activity (MBEC50) in mg/ml |
|||
P. aeruginosa PAO1 |
S. aureus Cowan I |
P. aeruginosa PAO1 |
S. aureus Cowan I |
P. aeruginosa PAO1 |
S. aureus Cowan I |
|
Curcuma xanthorrhiza Roxb. |
0.25 |
0.12 |
- |
- |
- |
- |
C. heyneana Val. & v. Zijp |
- |
0.5 |
- |
0.5 |
- |
- |
C. aeruginosa Roxb. |
- |
0.25 |
0.25 |
- |
- |
- |
Zingiber officinale Roxb. |
- |
0.5 |
0.25 |
- |
- |
- |
Z. officinale Roscoe var. rubrum Theilade |
- |
0.5 |
0.25 |
- |
- |
- |
Kaempferia galanga L. |
- |
0.5 |
0.25 |
- |
- |
- |
C. mangga Val.&v. Zijp |
- |
1 |
- |
0.5 |
- |
- |
Kaempferia rotunda L. |
- |
0.5 |
0.12 |
0.12 |
0.5 |
0.5 |
Languas galanga (L.) Stuntz. |
0.5 |
0.5 |
- |
- |
- |
- |
Z. zerumbet (L.)J. E. Smith |
- |
- |
- |
0.25 |
- |
- |
Elettaria cardamomum (L.) Maton |
- |
- |
- |
0.5 |
- |
- |
Cosmos caudatus H. B. K |
- |
- |
- |
0.5 |
- |
- |
Pluchea indica (L.) Less. |
- |
- |
0.5 |
- |
- |
- |
Elephantophus scaber L. |
- |
1 |
- |
- |
- |
- |
Blumea balsamifera (L.) DC. |
- |
- |
0.5 |
- |
- |
- |
Psidium guajava L. |
1 |
1 |
- |
- |
- |
- |
Apium graveolens L. |
- |
- |
- |
0.5 |
- |
- |
Piper betle L. |
1 |
0.5 |
0.5 |
0.25 |
- |
- |
P. retrofractum Vahl. |
1 |
0.25 |
0.5 |
- |
- |
- |
Terminalia catappa L. |
- |
1 |
- |
- |
- |
- |
Azadirachta indica A. Juss |
1 |
1 |
- |
- |
- |
- |
Tamarindus indica L. |
- |
- |
- |
0.5 |
- |
- |
Caesalpinia sappan L. |
0.5 |
0.25 |
0.12 |
0.12 |
0.5 |
0.5 |
Sesbania grandiflora L. |
- |
- |
- |
0.5 |
- |
- |
Clerodendron serratum (L.) Spreng (Leaves) |
1 |
1 |
- |
- |
- |
- |
Sauropus androgynus (L.) Merr. |
- |
- |
0.5 |
0.25 |
- |
- |
Myristica fragrans Houtt. |
0.25 |
0.12 |
- |
- |
- |
- |
Ocimum basilicum L. |
- |
- |
- |
0.5 |
- |
- |
Orthosiphon stamineus Bth. |
- |
- |
- |
0.5 |
- |
- |
Litsea cubeba (Lours.) Pers. |
- |
1 |
- |
- |
- |
- |
Cinnamomum burmanii Nees ex Bl. |
1 |
1 |
0.12 |
0.12 |
- |
0.5 |
C. sintoc L. |
1 |
0.5 |
0.12 |
0.12 |
- |
- |
Melastoma polyanthum Bl. |
- |
- |
- |
0.5 |
- |
- |
Nymphaea nouchali Burm. f. |
0.5 |
0.5 |
0.12 |
0.12 |
0.5 |
0.5 |
*A dash (−) represents that no PMIC50, MBIC50or MBEC50 was identified within the concentration range tested.
Using the crystal violet method, we found that the inhibition of biofilm formation and biofilm breakdown by plant ethanol extract was dose dependent (fig. 1 and 2) in both P. aeruginosa PAO1 and S. aureus Cowan I. Plant ethanol extract concentration of 0.12 mg/ml is the lowest concentration which shows 50% inhibition on P. aeruginosa biofilm formation (table 2). At that concentration only five of the 54 extracts tested inhibit ≥ 50% of P. aeruginosa PAO1 biofilm formation (fig. 1). Ethanol extracts of N. nouchali at a concentration of 0.12 mg/ml inhibit P. aeruginosa biofilm formation as much as 54.74±0.28% (**P<0.01) compared to no inhibion at all. As much as 51.06±0.56% and 53.35±0.52% (**P<0.01) inhibition of P. aeruginosa biofilm formation was obtained by ethanol extracts of C. sappan and C. burmanii respectively, and 51.0±0.5% and 53.04±0.25% by K. rotunda and C. sintoc respectively (**P<0.01). In addition, 4 of 54 extracts show 50% inhibition on P. aeruginosa biofilm formation at an extract concentration of 0.25 mg/ml and 6 extracts at an extract concentration of 0.5 mg/ml (table 2).
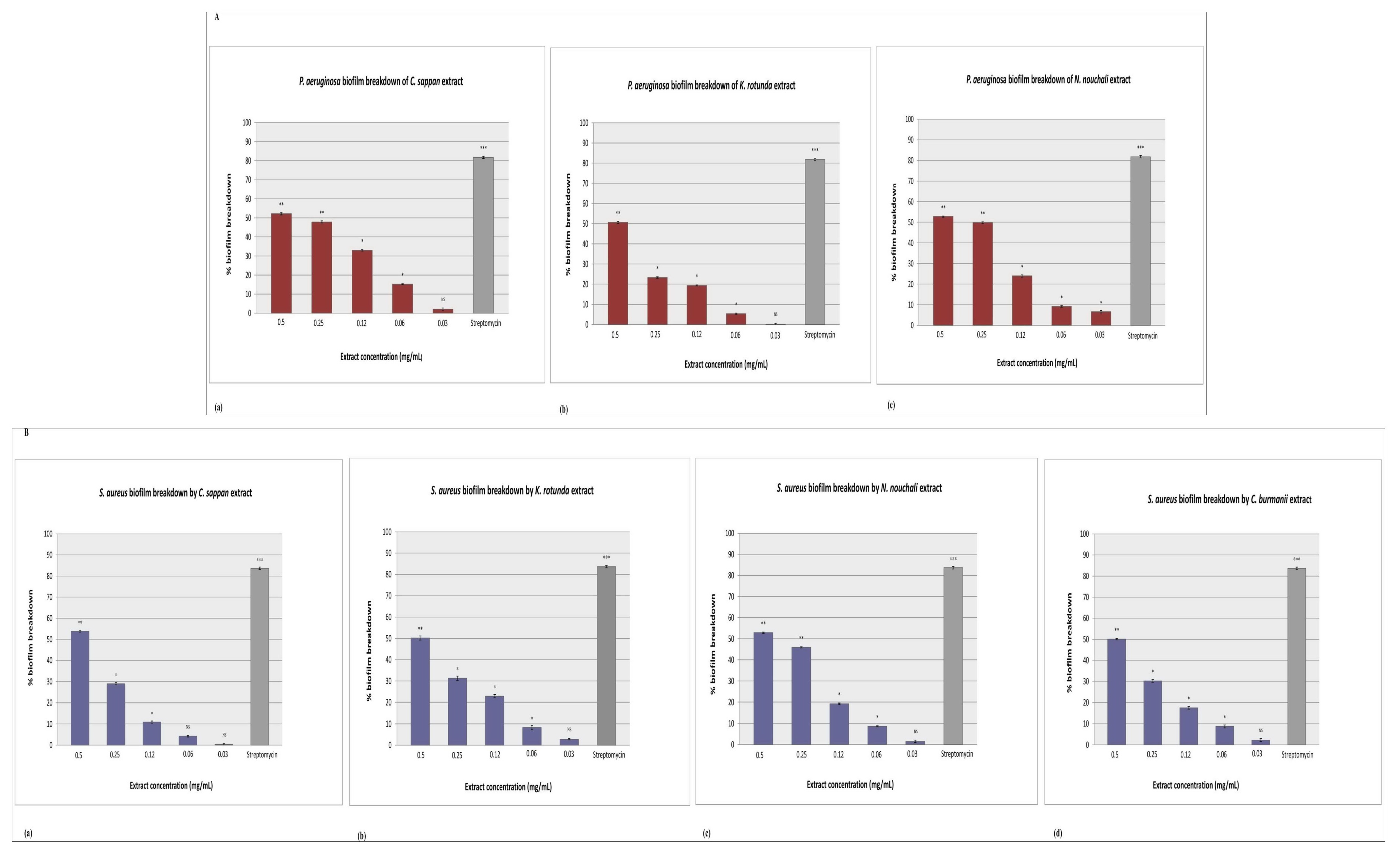
The lowest concentration which shows 50% of biofilm breakdown of P. aeruginosa (table 2) is 0.5 mg/ml and only three extracts tested show that activity. Nymphaea nouchali extract at a concentration of 0.5 mg/ml shows as much as 52.79±0.28% (**P<0.01) degradation of the P. aeruginosa PAO1 preformed biofilm, and ethanol extracts of C. sappan and K. rotunda shows 52.15±0.57% and 50.64±0.52% degradation, respectively (**P<0.01) (fig. 3A).
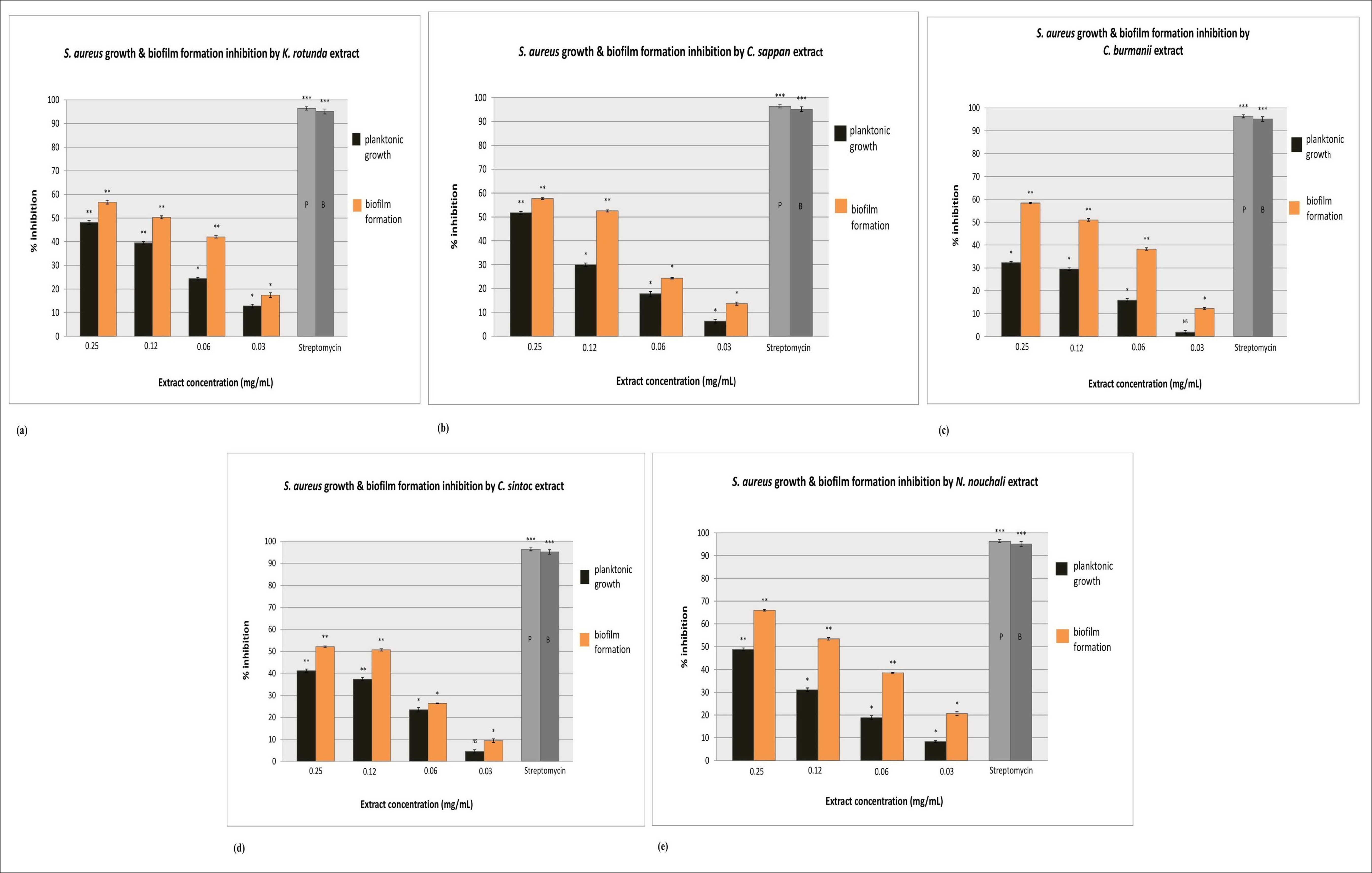
The lowest concentration of ethanol extracts which causes 50% inhibition on S. aureus Cowan I biofilm formation was also 0.12 mg/ml. As much as 51.29±0.61% inhibition of S. aureus biofilm formation was observed by incubation with K. rotunda ethanol extract at a concentration of 0.12 mg/ml (**P<0.01). At the same concentration, N. nouchali, C. sappan, C. burmanii and C. sintoc cause 53.44±0.58%, 52.53±0.32%, 51.40±0.55% and 50.64±0.52% inhibition of S. aureus biofilm formation (**P<0.01) (fig. 2). In addition, 4 of the 54 extracts show 50% inhibition ofP. aeruginosa biofilm formation at an extract concentration of 0.25 mg/ml and 10 extracts at an extract concentration of 0.5 mg/ml (table 2).
Similar to the breakdown of preformed P. aeruginosa biofilm, only 5 of the 54 ethanol extracts caused 50% breakdown of preformed biofilm of S. aureus Cowan I at an extract concentration of 0.5 mg/ml. In the presence of the ethanol extract of C. sappan at aconcentration of 0.5 mg/ml, preformed biofilms of S. aureus were decreased as much as 53.83±0.44% (**P<0.01). At the same concentration, C. burmanii, K. rotunda and N. nouchali show the capability to degrade S. aureus biofilm as much as 50.04±0.28%, 50.19±0.95% and 52.89±0.30% (**P<0.01), respectively (fig. 3B).

Fig. 1: Percentage (+/-SD) of inhibition in planktonic growth and biofilm formation of P. aeruginosa PAO1 by plant ethanol extracts at different concentrations. (a) K. rotunda, (b) C. sappan, (c) N. nouchali, (d) C. burmanii, (e) C. sintoc.. P: Planktonic growth, B: Biofilm formation

Fig. 2: Percentage (+/-SD)of inhibition in planktonic growth and biofilm formation of S. aureus Cowan I by plant ethanol extracts at different concentrations. (a) K. rotunda, (b) C. sappan, (c) N. nouchali, (d) C. burmanii, (e) C. sintoc. P: Planktonic growth, B: Biofilm formation

Fig. 3: Percentage (+/-SD) degradation of biofilm of A) P. aeruginosa PAO1 or B) S. aureus Cowan I by plant ethanol extracts at different concentrations

Fig. 4:a. Biofilm inhibition activity of C. burmanii ethanol extract against P. aeruginosa PAO1, and b. biofilm inhibition activity of N. nouchali ethanol extract against S. aureus Cowan I. 1&3: projected upper view of the biofilm; 2&4: estimated three-dimensional surface plot of the biofilm refers to the total area in the x-y-z dimension, where x and y are the coordinates of the pixel positioning and z is the intensitycollected using ImageJ. Extract concentration from 0.5 mg/ml – 0.03 mg/ml. Negative control is P. aeruginosa PAO1 and S. aureus Cowan I biofilm without extract
Qualitative analysis of P. aeruginosa and S. aureus biofilm
The activity of the extracts on biofilm formation inhibition and biofilm breakdown was analysed by confocal laser scanning microscope (CLSM), along with LIVE/DEAD staining as described in the Material and Methods. Examples of estimated 3D surface plot of the biofilm are shown in fig. 4and 5.
Qualitative analysis of biofilm structure by CLSM indicated an evident disruption of the biofilm structure resulting from exposure to plant extracts (fig. 4&5). Viability staining using LIVE/DEAD staining showed that both live and dead cells were present in the analyzed biofilms. The control cells fluorescened green indicating that the cells were alive, embedded in a polysaccharide matrix that stimulates cell clustering.
Ethanol extracts from K. rotunda, C. sappan, C. burmanii, C. sintoc, and N. nouchali at a concentration of 0.12 mg/ml significantly reduced P. aeruginosa PAO1 and S. aureus Cowan I initial biofilm formation compared to the negative control (biofilm cells without addition of plant extract) which is densely packed (fig. 3 and 4). The initial biofilm formation inhibition by plant ethanol extracts was found to be concentration dependent. The presence of 0.25 mg/ml extract resulted in loss of aggregates structures. The cells were found scattered individually along the substratum (fig. 4).
At concentrations of 0.5 mg/ml, the ethanol extracts from C. sappan, K. rotunda and N. nouchali showed capability in reducing preformed biofilms of both bacteria tested even more than at a concentration of 0.25 mg/ml (fig. 5). The preformed biofilm of S. aureus Cowan I was also disrupted by C. burmanii ethanol extract at a concentration of 0.5 mg/ml. The biofilm exposed to the plant extracts was disrupted, leaving small aggregates which remained attached to the substrate compare to the densely packed cells in biofilm control (without the presence of extract) (fig. 5).
CLSM images showed that plant ethanol extracts tested significantly prevent the formation of biofilm at a concentration of 0.12 mg/ml. Compared to the cells in the control the amount of cells in the clusters, embedded in the EPS matrix was diminished with the presence of plant extract. It seems that bacterial growth was inhibited before the cells were able to promote attachment tothe surface. However, the result showed that activity on biofilm breakdown was more difficult to achieve than inhibition of cell attachment. The concentration of plant extract needed to disrupt performed biofilm was higher (0.5 mg/ml) than the concentration needed to inhibit the initial attachment. It is evident that cells in a biofilm are more resistant to antimicrobial agents compare to free floating cells [34].
Cell attachment is the initial stage in biofilm formation followed by formation of a film, consisting of nutrients, organic and inorganic molecules, which is adsorbed on a surface (surface conditioning). The surface conditioning is important for the growth of cells and often creates a favorable environment for bacterial attachment, which in turn promotes cell adhesion to surfaces which subsequently leads to infections [26]. It can therefore be postulated that the presence of plant extracts in growth media produced an unfavorable condition that could inhibit cell attachment or reduce the surface adhesion [35, 36].

Fig. 5:a. Biofilm breakdown activity of K. rotunda ethanol extract against P. aeruginosa PAO1, and b. biofilm breakdown activity of C. sappan ethanol extract against S. aureus Cowan I. 1&3: projected upper view of the biofilm; 2&4: estimated three-dimensional surface plot of the biofilm refers to the total area in the x-y-z dimension, where x and y are the coordinates of the pixel positioning and z is the intensity collected using ImageJ. Extract concentration from 0.5 mg/ml – 0.03 mg/ml. Negative control is P. aeruginosa PAO1 and S. aureus Cowan I biofilm without extract
The reduced susceptibility of bacteria in a biofilm is thought to be due to a combination of several factors. The presence of extracellular polymer substances (EPS) containing mainly polysaccharides, proteins and nucleic acids and other compounds that surrounds biofilm cells contribute to the antimicrobial resistance properties of biofilms by impeding the mass transport of antibiotics through the biofilm [5]. The antimicrobial agent is adsorbed onto the EPS and effectively diluted before it reaches the individual bacterial cells in the biofilm [37]. Killing by many antimicrobial agents is growth dependent by targeting macromolecular synthesis. Reduction in oxygen and nutrients availability in biofilm leads to cell growth limitation and bacterial macromolecular synthesis is arrested. This, among others, makes the bacterial cells in the biofilm less susceptible to antimicrobial agents [34, 38].
Our study suggests that the inhibition activity of the plant ethanol extract of bacterial biofilm formation and the dispersal of existing biofilms appears to be coupled with biocidal/biostatic activity. These results are helpful for designing novel biofilm inhibitors and developing more effective therapeutic methods.
The activity of K. rotunda, C. burmanii, C. sappan, C. sintoc and N. nouchali ethanol extracts to inhibit P. aeruginosa PAO1 and S. aureus Cowan I initial biofilm formation and degradation of formed biofilm have not been reported previously. It has been reported that Kaempferia rotunda contains flavonoids, crotepoxide, chalcones, quercetin, flavonols, β-sitosterol, stigmasterol, benzoic acid, syringic acid, protocatechuic acid and some hydrocarbons such as camphor. The abundant presence of flavonoids in this plant isinterpreted as a consequence of antioxidant mechanisms in the plant[39]. Resins, tannin and essential oils which contain cinnamaldehyde, cinnamyl acetate, eugenol and anethole are present in C. burmanii bark. Other chemical components of the essential oil include ethyl cinnamate, beta-caryophyllene, linalool and methyl chavicol. Eugenol oil that can be used as an ingredient in cosmetics is also present in C. sintoc bark [17, 40]. Especially cinnamaldehyde and eugenol are proved to be active against many pathogenic bacteria, and fungi [41-43]. Nuryastuti et al., [44] reported the potency of C. burmanii oil to combat both planktonic and biofilm cultures of clinical Streptococcus epidermidis strains, with MICs, ranging from 0.5 to 1% of the C. burmani oil and 1 to 2%of the S. epidermis oil, respectively. A study based on a cell permeability assay and electron microscopy observation on cinnamaldehyde revealed that the antibacterial mechanism of cinnamaldehyde is possibly due to its interaction with cell membrane causes disruption on membrane permeability, and the leakage of intracellular constituents [45, 46].
Phytochemical investigations on heartwood and other parts of C. sappan (sappan wood), also commonly known as secang, have resulted in reports of various compounds including triterpenoids, lipids, amino acids, flavonoids and phenolic compounds such as 4-O-methylsappanol, protosappanin A, 18 protosappanin B, protosappanin E, brazilin, brazilein, caesalpin J, brazilide A, neosappanone A, caesalpin P, sappanchalcone, 3-deoxysappanone, 7, 3′, 4′-trihydroxy-3-benzyl-2H-chromene[47, 48]. From Brazilin it is known that it has antibacterial activity and has the potency to be developed into an antibiotic. A study from Xu and Lee [49] suggested that the antibactericidal of brazilin could be attributed to its capability to inhibit bacterial DNA and protein synthesis. However, the exact antibacterial mechanism of action of brazilin remains unknown at this time.
The chemical constituents of N. nouchali (red and blue water lily), synonym N. stellata Willd flowers, contain quercetin, luteolin, isoquercitrin, kaempferol, galuteolin, and alkaloids. The seeds are rich instarch, and also containraffinose, proteins, fats, carbohydrates, calcium, phosphorus, iron, nuciferine, oxoushinsunine, N-norarmepavine. The rhizome contains starch, protein, asparagine, and vitaminC. It also containscatechol, d-gallocatechol, neochlorogenic acid, leucocyanidin, leucodelphinidin, and peroxidase. The roots contain tannicandasparagine. The leaves of this plant contain roemerine, nuciferine, nornuciferine, armepavine, pronuciferine, N-nornuciferine, DN-methylcoclaurine, anonaine, liriodenine, quercetin, isoquercitrin, nelumboside, citric acid, tartaric acid, malicacid, gluconicacid, oxalicacid, succinicacid, and tannin. It has been found that oxoushinsunine, found on the seed coat, suppress the development of throat cancer while the seeds and stalks have efficacy inanti-hypertension [9, 50].
Biofilm formation can be controlled by quorum sensing, a bacterial communication system which causes a rapid and coordinatedchange of expression pattern in the bacterial population in response to population density. The fact that at sub-MIC concentrations, the K. rotunda, C. sappan, C. burmanii, C. sintoc and N. nouchali ethanol extracts are capable of disturbing biofilm formation and biofilm breakdown suggests that this disturbance may have been caused by the presence of compounds inhibiting quorum sensing. Similarly, Rasmussen et al. [51] reported that carrot, garlic, habanero (chili), and water lily produce compounds that interfere with bacterial quorum sensing. Halogenated furanone compounds isolated from marine algae Delisea pulchra inhibit biofilm formation and influence microbial biofilm formation by interfering with bacterial quorum sensing [52]. Other plant compounds could attenuate biofilm development by inhibiting bacterial peptidoglycan synthesis [53], disrupting the permeability barrier of microbial membrane structures, causing the cell to leak out [54], modify bacterial membrane structure hydrophobicity [55, 56], or disturbing the extracellular polymeric matrix in the biofilm to release biofilm from the surface of the solid substratum [57]. Further studies need to be performed to confirm the actual mode of action of anti-biofilm activity from these extracts.
Assignment of the active compound to one of these groups is often the first step in determining the identity of the compound. Therefore, characterization of the active anti-biofilm compound(s) is needed to gain a deeper understanding of the active compounds that affect the biofilm formation of P. aeruginosa PAO1 and S. aureus Cowan Iand to develop a possible anti-biofilm therapeutic.
CONCLUSION
The results obtained in this study suggest that the extracts of K. rotunda, C. sappan, C. burmanii, C. sintoc and N. nouchali are interesting sources for antibiofilm agents in the development of new strategies to treat infections caused by P. aeruginosa, and S. aureus biofilms. The future scope of this work is to isolate the biologically active compounds responsible for anti-biofilm activity from K. rotunda, C. sappan, C. burmanii, C. sintoc and N. nouchali ethanol extractsto use in pharmaceutical applications.
ACKNOWLEDGEMENT
Wegratefully acknowledge the funds support of this research by the Indonesian Directorate General for Higher Education. We thank Gerda Lammers (Institute Biology Leiden, Leiden University) for technical assistance in CLSM and Djoko Santosa, M. Sc (Pharmacognosy Laboratory, Faculty of Pharmacy, Gadjah Mada University) for the plants taxonomy identification and authentication. Special thanks to Dr. D. Rozen, native speaker, for reviewing the English of this paper.
CONFLICT OF INTERESTS
The authors declare that we have no competing interests as defined by International Journal of Pharmacy and Pharmaceutical Sciences (IJPPS), or other interests that might be perceived to influence the results and/or discussion reported in this article.
REFERENCES