1Department of Pharmaceutics, Dadasaheb Balpande College of pharmacy, Besa, Nagpur, 2IBSS College of pharmacy, Malkapur, Dist. Buldana
Email: p.gangane@rediffmail.com
Received: 15 Oct 2014 Revised and Accepted: 02 May 2015
ABSTRACT
Objective: The objective of this study was to design and developed a rupturable coating type of pulsatile press coated tablet, which releases drug early in the morning hours. This delivery system was helpful to control an early morning surge in Blood Pressure because cardiovascular events occur more frequently in the morning. This delivery system would be useful for the prevention of cardiovascular events in hypertensive patients.
Methods: Initially core tablet was prepared by using Captopril HCl as a model drug, which is having Angiotensin-converting enzyme inhibition activity and different concentration of cross carmellose sodium as a superdisintegrant by the direct compression method. Core tablet was press coated by using HPMC K4M and Ethyl Cellulose in different ratios as a press coating polymers.
Results: Core tablet was evaluated for different evaluation parameters and the formulation which shows least disintegration time has been selected for further study. Dissolution profiles clearly indicate that Captopril released from the press-coated tablet depends on the amount of an HPMC/EC ratio used.
Conclusion: From in-vitro dissolution study it was concluded that the lag time decreases with increase in concentration of HPMC K4M. When the concentration of hydrophilic polymer was increased, i.e. HPMC K4M, hydration property of the system increases, causing more rapid dissolution or rupturing of the external shell resulting in the reduction in lag time.
Keywords: Pulsatile drug delivery, Hypertension, Chronotherapy, Captopril, Lag time.
INTRODUCTION
The rationale of the present study is to develop a drug delivery system which provides required dose at the required time without any failure. Pulsatile drug delivery system solves this problem, a single tablet ingested at the bedtime releases drug early in the morning which gives protection from cardiovascular events. High blood pressure or hypertension as a disease is known medically most common chronic illness [1-4]. Plasma norepinephrine level and plasma renin activity are elevated in the morning; both hormones have potential to induce coronary vasoconstriction. This the Renin–Angiotensin–Aldosterone System (RAAS) is activated in the morning, and may contribute to the morning BP surge and to morning increase in cardiovascular risk. Chrono modulated pulsatile therapeutic system releases a therapeutic agent at a rhythm that ideally matches the biological requirement of a given disease therapy. The oral controlled-release system shows a typical pattern of drug release in which the drug concentration is maintained in the therapeutic window for a prolonged period of time, thereby ensuring sustained therapeutic action. However, there are certain conditions for which such a release pattern is not suitable [5]. Diseases where a constant drug levels are not preferred, but need a pulse of therapeutic concentration in a periodic manner acts as a push for the development of “Pulsatile Drug Delivery Systems”[6].
The Pulsatile effect, i.e., the release of a drug as “pulse” after a lag time has to be designed in such a way that a complete and rapid drug release should follow the lag time. Such system are also called time-controlled as the drug is released is independent of the environment. Pulsatile drug delivery systems are gaining a lot of interest & attention these days. These systems have a peculiar mechanism of delivering the drug rapidly and completely after a “lag time” i.e., a period of no drug release. Pulsatile systems are designed in a manner that the drug is available at the site of action at the right time in the right amount [7]. The concept of chronotherapeutics originates from the finding of the major disease conditions such as asthma, cardiac disorders, allergic rhinitis, and arthritis following circadian example of symptom outburst.
Captopril HCL is chemically (2S)-1-[(2S)-2-methyl-3-sulfanylpropanoyl] pyrrolidine-2-carboxylic acid having Angiotensin-Converting Enzyme Inhibitor activity used in Management of hypertension. Rapidly absorbed following oral administration in fasting individuals, with peak blood concentration attained in 1 hour. Approximately 60–75% of an oral dose is absorbed. Hypotensive effect may be apparent within 15 minutes and usually is maximal in 1–2 hours after a single oral dose [8-11]. HPMC K4M and Ethyl Cellulose are used as a press coating polymer in different concentration and its effect on lag time is studied [12].
MATERIALS AND METHODS
Materials
Captopril HCL was supplied from Wockhardt limited Aurangabad, India. Hydroxy propyl Methyl Cellulose K4M and Crosscarmellose sodium were procured from Leben laboratories Pvt. Ltd., Akola. Ethyl Cellulose was obtained from Loba Chemie. Pvt. Ltd., Mumbai. All other Excipients used in our work were of analytical grade.
Method
Preparation of core tablet of captopril
The core tablets (average weight 70 mg) of Captopril (6 mm diameter tablets) were prepared by direct compression technique. Avicel 581 was used as a diluent, Crosscarmellose Sodium was added to obtain a fast disintegrating tablet and magnesium stearate is used. The composition of core tablets was as shown in table no.5.
Pre-compression studies
Angle of repose
The angle of repose of the blend was determined by the fixed funnel method. The accurately weight blend was taken in the funnel. The height of the funnel was adjusted in such a way that the tip of the funnel just touched the apex of the blend. The blend was allowed to flow through the funnel freely onto the surface. The diameter of the powder cone was measured and an angle of repose was calculated using the following formula.

Where, h and r are the height and radius of the powder cone.
Bulk density and tapped density
Both loose bulk density (LBD) and tapped bulk density (TBD) were determined. A quantity of 3.5 gm of powder blend was introduced into 10 ml measuring cylinder. After that the initial volume was noted and the cylinder was allowed to fall under its own weight onto a hard surface from the height of 2.5 cm at second intervals. The tapping was continued until no further change in volume was noted. LBD and TDB were calculated using the following equations.
Loose bulk density = Weight of powder/Bulk volume
Tapped bulk density = Weight of powder/Tapped volume
Compressibility index
The Compressibility Index of the powder blend was determined by the Carr’s compressibility index. The formula for Carr’s Index is

Hausner’s ratio
Hausner’s Ratio was determined by Following Equation:
Hausner′s Ratio = Tapped density/Bulk density
Post-compression studies
Shape and appearance
Tablets were examined under a lens for the shape of the tablet, and color was observed by keeping the tablets in light.
Uniformity of thickness
Thickness and diameter of core tablets were measured using a Vernier caliper.
Weight variation test
To study the weight variation, 20 tablets were weighed on an electronic balance separately and an average weight was calculated and the test was performed according to the official method.
Hardness test
Hardness indicates the ability of a tablet to withstand mechanical shocks while handling. Hardness of core tablets was determined using a Monsanto hardness tester.
Friability test
The friability of 10 tablets was determined using the Roche friabilator (Electrolab, Mumbai, India). Friability can be determined by following equation:

Uniformity of content
Five tablets were powdered in a mortar and pestle and a quantity equivalent to 25 mg of Captopril was accurately weighed and dissolved in a suitable volume of 6.8 pH phosphate buffer. After making suitable dilutions the final solution was analyzed spectrophotometrically at 212 nm.
In-vitro disintegration test for core tablet
Tablet disintegration was carried by placing one tablet in each tube of the basket and top portion of the each tube was closed with disc and run the apparatus containing pH 6.8 phosphate buffer [SCF (simulated colonic fluid)] maintained at 37 °C as the immersion liquid. The assembly was raised and lowered between 30 cycles per minute. The time taken for the complete disintegration of the tablet with no palpable mass remaining in the apparatus was measured and recorded. The experiment was carried out in triplicate.
In vitro drug release study of core tablets
An in vitro dissolution study was carried out using USP Type II (paddle type) apparatus (Electrolab TDT-08L). 6.8 pH phosphate buffer as a dissolution medium was used. Release pattern was studied visually by taking samples of 4 ml at the specific time intervals 0.5 min, 1 min, 2 min, 3 min, 4 min and 5 min. Also the sample was analyzed at 212 nm using a UV spectrophotometer.
Preparation of mixed blend of polymer for barrier layer
Powder blends of polymer for press-coated tablet was prepared by dry mixing together different compositions of the Ethyl cellulose and HPMC K4M in mortar and pestle. The composition of polymer blend was given in table no.6.
Preparation of press coated tablet of captopril
The core tablets were press-coated with 250 mg of a mixed blend as given in Table. The compression-coated tablets were prepared by first filling one-half (125 mg) of the polymer powder in the 10 mm die cavity, then centrally positioning the tablet core on the powder bed, followed by filling the remaining half (125 mg) of the polymer powder on top and then followed by direct compression. The composition of a press coated tablet is given in the table. No. 7.
Evaluation of the press coated tablet was carried out as that of core tablet
In vitro drug release study of press-coated tablets
In vitro dissolution studies were carried out using USP (basket method) apparatus (Electrolab TDT-08L) In order to simulate the pH changes along the GI tract, three dissolution media with pH 1.2, 7.4 and 6.8 were sequentially used. When performing the experiment, pH 1.2 medium was used for 2 h (since the average gastric emptying time is 2 h), Then removed and fresh pH 7.4 phosphate buffer saline (PBS) was added. After 3 h (average small intestinal transit time is 3 h), the medium was removed and fresh pH 6.8 dissolution medium was added for subsequent hours. Nine hundred milliliters of the dissolution medium were used at each time. Rotation speed was 50 rpm and the temperature was maintained at 37±0.5oC. 4 ml of dissolution media was withdrawn at predetermined time interval and fresh dissolution media was replaced. The withdrawn samples after suitable dilution were analyzed at 212 nm by UV absorption spectroscopy and the cumulative percentage release was calculated over the sampling times.
RESULTS AND DISCUSSION
It is a rupturable coating type of pulsatile drug delivery system. Data obtained from the Preformulation studies of the pure drug shows that a flow property of the pure drug is fair. So, it requires modifying its flow properties in order to obtain the tablets having a uniform weight. Direct compression method is used for the manufacture of the core tablet. Previously, all the pre-compression parameters are studied on the powder blend, which is used for compression. The powder blend shows excellent flow property. Pre-compression parameters studied are given in table no.1.
Table 1: Result of pre-compression study of powder blend of core tablet
| Property Studied | Loose bulk density (g/ml)±SD | Tapped bulk density (g/ml)±SD | Carr’s index (%)±SD | Hausner’s Ratio | Angle of repose (ф) |
| Result | 0.530±0.015 | 0.583±0.026 | 9.09±0.24 | 1.11 | 28.36 |
Core tablets are then press coated with different ratios of blends of HPMC K4M and Ethyl cellulose by using Tablet mini press (Make Chamunda) as shown in table no. 5. During Post-Compression Studies tablets were subjected to evaluation according to various official specifications and other parameters like shape, thickness, hardness, friability, weight variation, in vitro disintegration time and in vitro dissolution time.
Formulations prepared were randomly picked from each batch examined under the lens for shape and in the presence of light for color. Tablets showed standard concave surfaces with a circular shape. Tablets were white in color. Thickness of the tablets was measured using vernier calipers by picking three tablets randomly. The results of thickness for tablets are shown in table No. 2. The mean thickness of the tablets (n=3) was 1.3±0.1 mm. The weight variation of a tablet is shown in table No. 2. All the tablets passed the weight variation test, i.e., average percentage weight variation was found within the pharmacopoeia limits of±10%. Hardness or crushing strength of the tablets was found 3.5 kg/cm2. The mean hardness test results are tabulated in table No.2. The low standard deviation values indicated that the hardness of all the formulations was almost uniform and the tablets possess good mechanical strength with sufficient hardness. Friability values for tables were found to be 0.784 %. The obtained results were found to be well within the approved range (<1%) in all the designed formulations. That indicated tablets possess good mechanical strength. The results are tabulated in table No.2. The percent drug content was found to be 98.67 %.
Table 2: Result of post compression study of core tablet
| Test | Thickness (mean±SD, mm) (n=3) |
Average Weight (mg) | Hardness (mean±SD, kg/cm2) (n=3) |
Friability % | Drug content % | Disintegration time (min) |
| Result | 1.3±0.15 | 70.2 | 3.6±0.21 | 0.784±0.1 | 98.67 | 2.12 |
In vitro disintegration time for core tablet was found to be 2.1 min which indicates that the concentration of cross-carmellose sodium used is sufficient and there is no need to use unnecessarily higher concentration.
Table no. 3 shows U. V. absorbance of sample obtaining at different time interval and fig. no. 2 indicate % drug release curve. The core tablet shows more than 90 % of drug releases within 5 minutes upon contact with the dissolution medium.
Table 3: In-vitro dissolution study of core tablet
| Time (min) | Absorbance | %drug release |
| 0 | 0 | 0 |
| 0.5 | 0.025 | 5.10 |
| 1 | 0.112 | 22.85 |
| 2 | 0.198 | 40.40 |
| 3 | 0.321 | 65.51 |
| 4 | 0.421 | 85.91 |
| 5 | 0.449 | 91.63 |
| 6 | 0.456 | 93.06 |
Press coated tablet formulations were subjected to evaluation of Shape, thickness, hardness, friability, weight variation and in vitro dissolution time. Tablets showed standard concave surfaces with a circular shape. Tablets were slight off white in color. The data obtained from the post-compression parameter such as thickness, hardness, friability, and weight variation of press coated tablet are shown in table 4. In all formulations, the hardness test indicated good mechanical strength. Hardness ranged from 3.1 to 4.7 Kg/cm2. Friability was ranged from 0.16 to 0.78. Friability is less than 1%, which indicated that the tablets had good mechanical resistance.
Table 4: Result of evaluation study of physical parameter of press coated tablet
Property Batch |
Thickness (mean±SD, mm) (n=3) |
Hardness (mean±SD, kg/cm2) (n=3) |
Friability % (n=10) |
Average weight mg |
| F1 | 4.5±0.021 | 3.1±0.18 | 0.781±0.25 | 320.15 |
| F2 | 4.0±0.025 | 3.5±0.22 | 0.377±0.13 | 318.35 |
| F3 | 3.9±0.035 | 3.4±0.25 | 0.312±0.18 | 319.55 |
| F4 | 4.2±0.012 | 3.8±0.16 | 0.283±0.25 | 319.65 |
| F5 | 3.8±0.018 | 4.2±0.28 | 0.406±0.11 | 320.2 |
| F6 | 4.2±0.026 | 4.7±0.24 | 0.156±0.23 | 319.3 |
In weight variation test, 20 tablets were selected randomly and average weight variation was calculated. Then individual tablet was weighed and weight was compared with average weight it was found that all tablets are in the percentage limit allowed. (Maximum percentage different allowed I. P. 5 % U. S. P. 7.5 %)
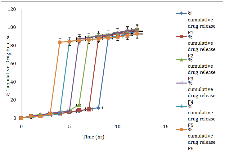
All press-coated tablets showed pulsatile release behavior with distinct lag time. Fig. no. 1 shows the dissolution profile of the press-coated tablets. The profiles clearly indicate that Captopril released from the press-coated tablet exhibited a unique release profile, depending on the amount of HPMC/EC used. This profile was composed of an induction period (time lag) followed by a rapid release phase. The drug was rapidly and completely released from the press coated tablet after a lag period of several hours depending on the weight ratios of EC and HPMC. After the lag time is over the external shell of the press-coated tablet directly ruptured or broke into two halves to permit rapid drug release. The sudden splitting of the outer shell of press coated tablets after the lag period is a key factor to achieve the time-controlled delivery.
The drug was immediately released from a core tablet after rupturing the surrounding outer shell, caused by a pressure build-up within the core system. In vitro dissolution study clearly indicates that the lag time decreases with increase in concentration of HPMC K4M. Table no. 8 shows Cumulative % drug release of sample obtaining at different time interval and fig. no.1 indicate Cumulative % drug release curve.

Fig. 1: Dissolution profile of press coated tablets
Table 5: Composition of core tablet
| S. No. | Name of ingredients | Quantity (mg/tablet) |
| 1 | Captopril | 25.0 |
| 2 | Crosscarmellose sodium | 3.5 |
| 3 | Magnesium stearate | 3.5 |
| 4 | Avicel 581 | 38.0 |
| Total weight | 70.0 |

Fig. 2: Dissolution profile of core tablet
Table 6: The composition of polymer for barrier layer (250 mg/tablet)
| Formulation | HPMC K4M (%) | Ethyl cellulose (%) |
| F1 | 15 | 85 |
| F2 | 30 | 70 |
| F3 | 45 | 55 |
| F4 | 55 | 45 |
| F5 | 70 | 30 |
| F6 | 85 | 15 |
Table 7: The composition of press coated tablet
| Batch | Core tablet (mg) | Polymer powder (mg) (HPMC K4M: Ethyl Cellulose) |
Total (mg) |
| F1 | 70 | 250 (15:85) | 320 |
| F2 | 70 | 250 (30:70) | 320 |
| F3 | 70 | 250 (45:55) | 320 |
| F4 | 70 | 250 (55:45) | 320 |
| F5 | 70 | 250 (70:30) | 320 |
| F6 | 70 | 250 (85:15) | 320 |
Table 8: In-vitro dissolution study of press coated tablet
| TIME (hour) | Cumulative % drug release |
| F1 | |
| 0 | 0 |
| 1 | 2.33 |
| 2 | 2.75 |
| 3 | 4.66 |
| 4 | 5.29 |
| 5 | 6.56 |
| 6 | 7.62 |
| 7 | 10.59 |
| 8 | 11.44 |
| 9 | 88.31 |
| 10 | 89.58 |
| 11 | 93.6 |
| 12 | 95.72 |
CONCLUSION
From in vitro dissolution study, it was concluded that lag time decreases with increasing concentration of HPMC K4M. Ethyl cellulose (EC) is semi permeable but naturally insoluble in water. When HPMC K4M was in low concentration in the formulation its hydration property was retarded by the EC. When the concentration of hydrophilic polymer was increased, i.e. HPMC K4M, hydration property of the system increases, causing more rapid dissolution or rupturing of the external shell resulting in the reduction in lag time. Thus the dissolution or rupturing of the external layer depends on the composition of the formulation which determines the lag time. HPMC K4M was responsible for the rapid dissolution or rupturing of the external layer as characteristics of such hydrophilic material is to absorb water and then swelling, therefore when the concentration of HPMC K4M was increased lag time decreases.
ACKNOWLEDGEMENT
The author is highly grateful to Wockhardt limited Aurangabad, India for providing the drug sample and Leben laboratories Pvt. Ltd., Akola for providing polymer samples. The author is also thankful for Principal, IBSS College of Pharmacy, Malkapur for providing research facilities.
CONFLICT OF INTERESTS
Declared None
REFERENCES