Department of Pharmaceutical Chemistry, School of Pharmaceutical Sciences, Vels University (VISTAS), Chennai 600117.
Email: mvaanandhi@gmail.com
Received: 20 Nov 2014 Revised and Accepted: 10 Dec 2014
ABSTRACT
Objective: Yes activated protein (YAP) is a transcriptional coactivator and corepressor that plays a pivotal role in cell proliferation. Amplification of the YAP gene and over expression of the YAP oncoprotein are reported in various human cancer cell lines. Hence inhibition of YAP by small molecular ligands would control cell proliferation.
Methods: Autodock 4.2 was used to dock the designed ligands to the active site of YAP oncoprotein. Structure affinity relationship was carried out for 70 benzoporphyrin derivatives (SAfiR). Based on the SAfiR data, 8 benzoporphyrin derivatives were designed.
Results: 8 compounds were found to potentially inhibit YAP. Verteporfin was taken as the standard with a binding energyof -6.84 kcal/Mol.The designed compounds were found to have binding energy in the range of -8.85 kcal/mol to -7.61 kcal/mol.
Conclusion: Based on the substituent effects and reported pleiotropic property of verteporfin, 8 novel porphyrin derivatives were identified with potent inhibitory effect towards the YAP oncoprotein. Further virtual and high throughput approaches could potent compounds that are specifically targeted towards the YAP peptide.
Keywords: YAP oncoprotein, Benzoporphyrins,
INTRODUCTION
Yes activated protein (YAP) is a transcriptional coactivator and corepressor that plays pivotal role in cell proliferation. YAP is the critical downstream regulatory target in the conserved hippo - tumor suppressor pathway [1]. In the hippo signaling pathway, YAP associates with the TEAD to form a transcription complex, which localizes in the nucleus and promotes and activates the expression of several genes such as G1/S-specific cyclin-E [2, 3]. Thus YAP functions as an oncoprotein and the oncogenic activity of YAP is down regulated by a kinase cascade of upstream events in hippo signaling pathway [4].
However, recent studies have reported down regulated expression of several upstream kinases of the hippo signaling cascade including Mats and Lats in several human cancers such as astrocytoma and soft tissue sarcoma [5, 6]. Further, amplification of the YAP gene was reported in hepatocellular carcinoma cell lines while up regulation of the YAP paralog transcriptional coactivator with PDZ-binding motif, TAZ was found in breast cancers especially in invasive ductal carcinomas [7, 8].
Hence inhibition of YAP by small molecules would be a novel, but rational approach for induction of proliferation arrest. Inhibition of YAP by small molecules prevents its association with the TEAD to form a transcription complex and thereby inhibits its nuclear localization. Druggability of the human yes activated protein has been studied and pharmacological disruption of the TEAD-YAP complex has been shown to suppress the oncogenic activity of YAP. Currently, many small molecules have not been known to inhibit YAP, however, three porphyrinderivatives, namelyverteporfin, protoporphyrin IX and hematoporphyrin have been shown to inhibit and suppress the oncogenic activity of YAP. Verteporfin has been reported to potentially inhibit YAP than protoporphyrin IX and hematoporphyrin [9]. Verteporfin is a drug bearing benzoporphyrin nucleus approved for Photodynamic therapy of sub-fovealchoroidal neovascularization induced by age related macular degeneration. It acts by direct damage of vascular endothelium and blood vessel blockade through oxygen radical production upon irradiation with red laser beam [10]. We studied the effect of various substituents in the porphyrin nucleus by multiple docking analyses with YAP oncoprotein as the target. Based on the substituent effects, novel porphyrin derivatives were identified with potent inhibitory effect towards the YAP oncoprotein.
MATERIALS AND METHODS
In order to understand the effect of various substituents in the benzoporphyrin nucleus, an insilico structure affinity relationship study was carried out. The designed compounds were then individually docked to the active site of the previously prepared target. The parameters set for prediction of binding affinity include binding energy (ΔG), inhibitory constant (Ki), intermolecular energy, internal energy, torsional energy and number of hydrogen bonding interactions established by the ligand with the active site residues of the target.
Based on the structure – affinity relationship data obtained, novel ligands were designed with better inhibitory activity towards the YAP oncoprotein.
Retrieval and isolation of crystal structure of YAP
Crystal structure of the human YAP oncoprotein was retrieved from the repository of 3D- structural data of large bio-molecules, the protein data bank (PDB ID: 3KYS). The YAP domain was segregated from TEAD, since the retrieved crystal structure was the transcription complex formed by the YAP and TEAD proteins. The amino acid sequence of the separated YAP protein was cross validated with its FASTA sequence. The active site of the target protein was predicted using FTSite which employs multiple molecular probes with energy based methods for high accuracy detection of ligand binding sites [11, 12]. The active site of the YAP oncoprotein is comprised of the following amino acids: ASP64, ALA67, LEU68, PHE69, ALA71, VAL80, PRO81, GLN82, THR83, VAL84, PRO85, MET86 and ARG89.
Creation of ligand dataset for structure–affinity relationship
The Verteporfin molecule was taken as the prototype for prediction of the structure affinity relationship. Individual substituents in the benzoporphyrin ring system and the benzoporphyrin ring itself were modified to study the effect of individual groups in ligand binding. A diverse array of electron withdrawing, electron donating, aromatic, allylic and bioisosteric groups were selected for designing ligands for prediction of structure – affinity relationship. The swissbioisostere database was screened for identifying heterocyclic bioisosteres of acetate [13]. A total of 70 compounds was designed with this approach.

Fig. 1: Active site of the YAP oncoprotein
Prediction of structure–affinity relationship
The ligands designed were individually docked to the active site of the YAP oncoprotein using Autodock 4.2. The ligands were prepared by addition of gasteiger charges and the torsion root was detected. Autodock uses a Lamarckian genetic algorithm and an empirical binding free energy function for prediction of bound conformations of flexible ligands to macromolecular targets [14]. Structure – affinity relationship was established from the difference in binding affinities elucidated through multiple docking analyses.

Fig. 2: Ramachandran Plot of the YAP-TEAD transcription complex (PDB id: 3KYS)
Ligand design and molecular docking
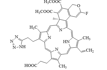
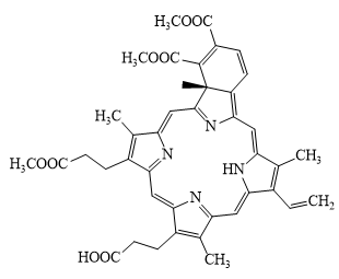
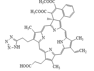
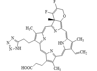
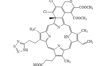
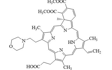
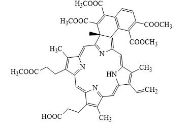
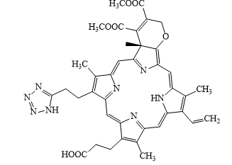
The structure – affinity relationship data was utilized for designing novel ligands. A total of 8 compounds were designed including benzoporphyrins, napthoporphyrins, pyroporphyrins and chromoporphyrins. The designed porphyrin derivatives were docked to the same active site of YAP using the Lamarckian genetic algorithm of Autodock 4.2 with Verteporfin as standard. The compounds designed are given below:
![]() |
![]() |
| Compound 1 | Compound 2 |
![]() |
![]() |
| Compound 3 | Compound 4 |
![]() |
![]() |
| Compound 5 | Compound 6 |
![]() |
![]() |
| Compound 7 | Compound 8 |
Fig. 3: Compounds designed on the basis of SAFiR data
RESULTS AND DISCUSSION
In order to understand the effect of various substituents in the benzoporphyrin nucleus and thereby arrive at structure – affinity relationship, multiple docking analyses were carried out. The benzoporphyrin nucleus was numbered as below for ease of analysis.
Fig. 4: Benzoporphyrin nucleus subjected for SAFiR analysis
Fig. 5: Verteporfin
Structure–affinity relationship of benzoporphyrin
Positions 33, 34
Positions 31, 38, 42
The methyl groups at positions 31, 38 and 42 are essential for activity. Though replacement with diverse groups does not completely retard the binding affinity, a considerable decrease in binding affinity was observed.
Position 41
Position 37
Benzene ring system
Position 32
Position 3
Positions 22, 28, 16, 6
Any substitution at positions 22, 28, 16, 6 considerably decreases the binding affinity.
The binding energy data of various ligands docked for prediction of structure – affinity relationship are enlisted in table 1. Only the site considered is substituted with a specific group for a ligand considered,
whereas the other sites in the ligand were retained as in Verteporfin. Verteporfin was considered as the standard and the binding energy of Verteporfin was found to be -6.84kcal/Mol.
Table 1: Structure affinity relationship of Benzoporhyrins – substituent effects
| Position | Group in veteporfin | Substituent group | Binding energy(kcal/Mol) |
| 33, 34 | -COOCH3 | -F | -7.23 |
| -Cl | -6.61 | ||
| -Br | -6.62 | ||
| -I | -6.93 | ||
| -CF3 | -5.59 | ||
| 31, 38, 42 | -CH3 | -N(CH3)2 | -4.28 |
| -Cl | -5.05 | ||
| -COOCH3 | -5.97 | ||
| -NH2 | -4.15 | ||
| -OCH3 | -3.12 | ||
| -C6H5 | -5.48 | ||
| Removed* | -4.9 | ||
| SO3CH3 | -4.45 | ||
| 41 | -COOCH3 | -CH3 | -6.31 |
| -Cl | -5.39 | ||
| -CN | -5.42 | ||
| -NH2 | -5.13 | ||
| Tetrazole | -7.51 | ||
| Ethyl side chain bearing the acetate group was homologated to butyl | -5.08 | ||
| Ethyl side chain bearing the acetate group was shortened to methyl | -6.62 | ||
| Removed* | -6.17 | ||
| 37 | COOH | -COOCH3 | -5.3 |
| Tetrazole | -5.69 | ||
| Benzene ring system | Benzene | Pyridine | -5.62 |
| 2H-pyran | -7.55 | ||
| 2H-thiopyran | -4.97 | ||
| Napthalene | -7.28 | ||
| 12 | H | -Cl | -4.88 |
| 32 | -7.4 | ||
| 3 | -CH=CH2 | -CH2-CH3 | -4.22 |
| -5.28 | |||
| -Cl | -5.95 | ||
| 22, 28, 16, 6 | -H | -F | -4.77 |
| -OCH3 | -4.3 |
Table 2: Molecular docking analysis of designed porphyrin derivatives
| Identifier | ΔG | kI | Intermolecular energy | Internal energy | Torsional energy | No. of hydrogen bonds | Interacting residues |
| Compound 1 | -8.85 | 327.31 nm | -11.83 | -1.32 | 2.98 | 1 | THR 83 |
| Compound 2 | -7.68 | 2.36um | -10.36 | -0.84 | 2.68 | 3 | THR 83, ARG 87 |
| Compound 3 | -7.61 | 2.64um | -10.0 | -0.79 | 2.39 | 1 | THR 83 |
| Compound 4 | -8.41 | 687.42 nm | -10.79 | -1.24 | 2.39 | 3 | MET 86, ARG 87 |
| Compound 5 | -7.09 | 6.31um | -9.48 | -0.21 | 2.39 | 1 | ARG 87 |
| Compound 6 | -8.0 | 1.37um | -11.28 | -0.84 | 3.28 | 1 | ARG 87 |
| Compound 7 | -7.68 | 2.36um | -10.06 | -0.51 | 2.39 | 2 | THR 83 |
| Compound 8 | -7.61 | 2.65um | -9.99 | -0.82 | 2.39 | 1 | ARG 87 |
| Vertepofin | -6.84 | 9.66um | -10.72 | -0.35 | 3.88 | 2 | ARG 87 |
Molecular docking analysis
The compounds designed based on the structure affinity relationship data obtained were individually docked to the active site of YAP oncoprotein with Verteporfin as the standard. All the 8 compounds were found to potentially inhibit YAP.
The results of the molecular docking analysis are given in table 2.
![]() |
![]() |
| Compound 1 | Compound 2 |
![]() |
![]() |
| Compound 3 | Compound 4 |
![]() |
![]() |
| Compound 5 | Compound 6 |
![]() |
![]() |
| Compound 7 | Compound 8 |
Fig. 6: Docked ligand poses
![]() |
![]() |
| Compound | Compound |
![]() |
![]() |
| Compound | Compound |
![]() |
![]() |
| Compound | Compound |
![]() |
![]() |
| Compound | Compound |
Fig. 7: Ligand interaction maps

Fig. 8: Binding energy data
CONCLUSION
Cancer is a disease with a high mortality rate. In spite of the diverse array of anti-cancer drugs available, the mortality rate yet remains at peak and the available anti-cancer drugs also have their limitations because of potential adverse effects associated with them. This is because most of the conventional anti – cancer drugs are not molecularly targeted and hence they are not specific. In this study, novel ligands have been designed to inhibit YAP oncoprotein which has been reported to be over expressed in various cell lines. Further virtual and high throughput approaches coupled with genome wide screening could yield better ligands against the molecular targets of cancer. Since these drugs are molecularly targeted, they should only be used in patients in whom YAP oncoprotein is over expressed. Hence pharmacogenetic screenings should be done before therapeutic intervention with these molecules for control of cell proliferation.
CONFLICT OF INTERESTS
Declared None
REFERENCES