
1Graduate Studies, Chulabhorn International College of Medicine, Thammasat University, Phahonyothin Road, Klonglung, Pathum Thani 12120, Thailand, 2Center of Excellence in Pharmacology and Molecular Biology of Malaria and Cholangiocarcinoma, Thammasat University, Phahonyothin Road, Klonglung, Pathum Thani 12120, Thailand, 3Drug Discovery and Development Center, Thammasat University, Phahonyothin Road, Klonglung, Pathum Thani 12120, Thailand
Email: kesaratmu@yahoo.com
Received: 12 Mar 2021, Revised and Accepted: 21 Apr 2021
ABSTRACT
Objective: The study aimed to evaluate the critical physicochemical properties (lipophilicity, aqueous solubility, and degree of ionization) of atractylodin and β-eudesmol using in vitro testing.
Methods: Lipophilicity (Log P and Log D) was determined using the shake-flask method (n-octanol/water partition). Aqueous solubility was determined using kinetic solubility assay in media with pH ranging from 1.2 to 7.4. The degree of ionization (pKa) was determined using the potentiometric titration method.
Results: Log P and Log D values of 3.0-5.0 suggested moderate lipophilicity of both compounds. Both exhibited low aqueous solubility over the investigated pH range (0.08-0.93 and 1.97-32.48 μg/ml for atractylodin and β-eudesmol, respectively). Based on the pKa values of 9.63 (atractylodin) and 9.12 (β-eudesmol), both are classified as basidic compounds.
Conclusion: Atractylodin and β-eudesmol are classified as BCS class II drugs. The physicochemical parameters of both compounds obtained from the current study will be further applied for in silico prediction of their ADME (absorption, distribution, metabolism, and excretion) properties. In addition, PBPK modeling will be used for the prediction of optimal dose regimens of the capsule formulation of the standardized extract of Atractylodes lancea for first-in-human (FIH) and phase II studies in patients with cholangiocarcinoma.
Keywords: Atractylodin, β-eudesmol, Physicochemical properties, Atractylodes lancea
© 2021 The Authors. Published by Innovare Academic Sciences Pvt Ltd. This is an open access article under the CC BY license (https://creativecommons.org/licenses/by/4.0/)
DOI: https://dx.doi.org/10.22159/ijpps.2021v13i6.41398. Journal homepage: https://innovareacademics.in/journals/index.php/ijpps.
Cholangiocarcinoma is a biliary tract cancer originating in the epithelium of the biliary tree. It is becoming an increasingly common form of liver-associated cancer with rising incidence worldwide. The highest incidence and mortality rate is reported in Asia, particularly in the Northeastern region of Thailand [1, 2]. The major problems in the control of cholangiocarcinoma are the lack of diagnostic tools for early cancer detection, as well as effective chemotherapeutic drugs [3]. There is a pressing need to search for alternative medicines that are effective, safe, and affordable for patients.
Atractylodin and β-eudesmol are the major bioactive sesquiterpenoid components isolated from the rhizome of Atractylodes lancea. Recently, our group has demonstrated anti-cholangiocarcinoma potential and promising safety profiles of A. lancea, including its bioactive compounds in both in vitro and in vivo models [4-8]. The pharmacokinetic study in hamsters showed rapid absorption, distribution, and elimination of β-eudesmol. The maximum concentrations in vital organs were reached within 2 h after oral administration and 15 min after intravenous injection. It was almost entirely excreted (97.7–99.5% of the administered dose) in urine, feces, and bile during the first 60 min [7]. For atractylodin, the study in mice using radio-labeled technetium-99m revealed relatively rapid absorption (time to maximum plasma concentration within 2 h), distribution, and elimination of free atractylodin in blood and most vital organs [9]. The CMC (Chemistry, Manufacturing, and Control) capsule formulation of the standardized extract of A. lancea has been developed for the clinical development phase. Recently, a phase I clinical trial to evaluate the safety, pharmacokinetics and immunomodulatory activity of the CMC capsule formulation of the standardized extract of A. lancea has been conducted in 48 healthy Thai subjects following 1,000 mg/kg body weight given as a single oral dose or as daily doses for 14 d [10]. This starting dose in human (1,000 mg/kg body weight) is about 50% of the maximum recommended starting dose (MRSD) [11] initially estimated from animal toxicology data [6, 7]. Capsule formulation of the standardized extract of A. lancea was shown to be well tolerated. Atractylodin was rapidly absorbed but with low systemic exposure and residence time. A maximum plasma concentration of 46-51 ng/ml was achieved at 0.5-2 h of dosing. The terminal elimination half-life was approximately 1 h.
Physiologically based pharmacokinetic (PBPK) modeling is a useful computational tool to accurately simulate concentration-time profiles of drugs or drug candidates in blood or other biological fluids. The approach has been recommended by the US FDA to support decision-making during the drug discovery phase to select candidate compounds for further preclinical and clinical development, particularly first-in-human (FIH) dose extrapolation [12]. PBPK models are parameterized with both physiological parameters (e. g., blood flow, organ weight, and organ volume), as well as drug-specific parameters (e. g., solubility, partition coefficients, permeability, intrinsic clearance, and fraction of unbound drug). Both have profound impacts on the biopharmaceutical and pharmacokinetic properties of the candidate compounds. As a prerequisite step before the application of PBPK modeling, information on drug-specific parameters as input parameters is essential to ensure accurate results of the modeling [13-15]. PBPK modeling approach provides a more precise estimation of the human MRSD of the candidate drugs for FIH doses than the conventional animal toxicology approach [16]. The present study aimed to investigate the key physicochemical parameters (aqueous solubility, lipophilicity, and degree of ionization) of atractylodin and β-eudesmol using in vitro testing.
Chemicals and reagents
Atractylodin and β-eudesmol were purchased from Wako Pure Chemical Industries (Osaka, Japan). Dimethyl sulfoxide (DMSO) and n-octanol were purchased from Sigma-Aldrich Chemical Co. Ltd. (St. Louis, MO, USA). Hydrochloric acid, potassium hydroxide and potassium chloride were of analytical grade supplied by JT Baker (Phillipsburg, USA). Methanol and acetonitrile (HPLC grade) were obtained from Fisher Scientific (MA, USA), and the deionized water was generated in-house using a Milli-Q system (Millipore, MA, USA).
Instrumentation and analytical conditions
Concentrations of atractylodin and β-eudesmol in media were quantified using an Agilent 1200 Quaternary HPLC System (Agilent Technologies, Waldbronn, Germany) equipped with a diode array detector. The chromatographic separation was performed on a Hypersil GOLDTM C18 column (particle size 5 μm, 250 mm × 4.6 mm I.D., Thermo Scientific, Runcorn, UK) and an isocratic separation mode with the mobile phase consisting of 70% acetonitrile and 30% distilled water (1.0 ml/min flow rate). The column oven temperature was maintained at 40 °C. The injection volume was 20 µl. The effluent was monitored by UV spectroscopy at the wavelengths of 203 and 430 nm for atractylodin and β-eudesmol, respectively. Calibration curves were constructed from peak area ratios using standard solutions of atractylodin and β-eudesmol at known concentrations. The retention time of atractylodin and β-eudesmol was 11.07, and 10.63 min, respectively. Linearity was demonstrated at the concentration range of 0.05-200 µg/ml (r2 ≥ 0.99) and 0.25-200 µg/ml (r2 ≥ 0.99 for atractylodin and β-eudesmol, respectively. The limits of quantification (LOQ) were 0.05 µg/ml and 0.25 µg/ml, respectively.
Shake-flask method
The lipophilicity of the test compounds as reflected by the partition coefficient (Log P) and distribution coefficient (Log D) was determined by the shake-flask method [17, 18]. Atractylodin and β-eudesmol were dissolved in DMSO to obtain a stock solution of 200 µg/ml. The stock solution (10 µl) was diluted with the pre-saturated mixture containing 100 µl of n-octanol and 990 µl of aqueous phase (water/PBS pH 7.4), and followed by rotary mixing at 30 rpm for 1 h at 25 °C. The organic phase (upper layer) and the aqueous phase (lower layer) were separated through centrifugation at 10,000×g for 20 min. The concentrations of atractylodin and β-eudesmol in each layer were analyzed by HPLC. Log P and Log D were calculated from the ratio of the logarithm of atractylodin or β-eudesmol concentration in aqueous and octanol phase as follows:
![]()
![]()
Results are expressed as mean+SD of three separate experiments.
Kinetic solubility assay
The aqueous solubility of the test compounds was determined by kinetic solubility assay, which is based on the detection of precipitation of the test compounds in aqueous solutions [19-22]. DMSO stock solution (10 mg/ml) of atractylodin or β-eudesmol was prepared by weighing 10 mg of each compound in 1 ml of DMSO. The DMSO stock solution (10 µl) of each compound was diluted with 500 µl of the solution mixture containing 0.1 N HCl (pH 1.2), 0.01 N HCl, and phosphate buffer (pH 4.5, pH 5.8, pH 6.8, and pH 7.4). All samples were sonicated for 20 min and filtered through a syringe filter (0.22 µm). Triplicate aliquots of the medium were analyzed by HPLC.
Potentiometric titration method
The degree of ionization of atractylodin and β-eudesmol as reflected by acid-base dissociation constant (pKa) was determined by the potentiometric titration method [23]. The solutions of each compound (30%, 40%, 50% and 60% w/v) was prepared in the acetonitrile-water mixture containing 0.15 M KCl. The cosolvent dissociation constants (psKa) of the compounds were also determined in various acetonitrile-water mixtures at the same concentrations. The aqueous solution of each compound (1 mmol, 10 ml) was acidified to pH 1.8-2.0 with 0.5 mol HCl and titrated with 0.5 mol KOH to obtain a solution with high pH (usually 12). For acidic compounds, the titration was performed in the opposite direction. The titration was carried out at constant ionic strength (I = 0.15 mol KCl) and temperature t = 25.0±0.5 °C. The Yasuda-Shedlovsky extrapolation was applied to obtain the accurate aqueous pKa value from the psKa data. The relationship between psKa and the dielectric constant was established according to the equation:
psKa+log[H2O] = [a/ε+b]
Where log [H2O] is the molar water concentration of the given solvent mixture. This method is the most widely used procedure in cosolvent techniques [24, 25]. The experimental values of the dielectric constants of acetonitrile-water mixtures (30%, 40%, 50%, and 60%) were obtained, and interpolation was used for the calculation of the dielectric constants of other acetonitrile-water mixtures [23].
Lipophilicity
Lipophilicity is the physicochemical property of the compounds, which indicates permeability of the compounds across biological membranes to reach the target tissue and estimation of compound distribution within the body [26]. The lipophilicity is reflected by the partition coefficient (Log P) and distribution coefficient (Log D) values. Log P generally refers to the concentration ratio of un-ionized species of the compound in organic (1-octanol) and aqueous phases. On the other hand, Log D is applied for ionizable compounds and refers to the equilibrium concentration ratio of the unionized compound in the 1-octanol phase [27]. Log D of a compound is commonly determined using an aqueous phase buffered to pH 7.4 (physiological pH), which is referred to as Log D7.4. Several existing methods are available for the determination of Log P and Log D, including shake-flask, separating funnel, reversed-phase HPLC, and pH-metric methods [28, 29]. The traditional shake-flask method is considered the gold standard method for determining lipophilicity of the compounds with Log P and Log D ranging from-2 to 4 [30]. Despite its time-consuming and tedious nature and requirement of large amounts of test materials, the method is the most reliable and accurate. In this study, the miniaturized shake-flask method (in a microcentrifuge tube) was applied to determine Log P and Log D of atractylodin and β-eudesmol to improve sample throughput.
Both compounds exhibited moderate lipophilicity with Log P and Log D>3 (table 1). The Log P values of both compounds obtained from the experiment (observed values) were compared with those predicted by the three calculation platforms ACD/labsTM, EPISuiteTM, and XLogP3TM (table 1). Comparison of Log D values obtained from experimental data and the in silico platforms was possible only with the ACD/labsTM. Results suggested that certain platforms underestimated or overestimated the Log P and/or Log D values of the test compounds. Log P of β-eudesmol estimated from all platforms were generally in good agreement with the experimental values (3.70-4.88), of which that predicted by the ACD/labsTM platform providing the most accurate prediction. The predicted Log D of β-eudesmol by ACD/labsTM platform (4.18) was higher than the experimental value (3.92). For atractylodin, the predicted Log P values from the EPISuiteTM platform provided the closest estimation. Both ACD/labsTM and XLogP3TM platforms did not provide an accurate prediction of the Log P value of atractylodin (6.38 and 3.5, respectively, compared with the mean experimental value of 4.89). The predicted Log D of atractylodin by ACD/labsTM platform (4.79) was comparable with the experimental value (mean value of 4.91). It has recently been argued that the accuracy of the available in silico lipophilicity predictions is unacceptably poor, with an average error above 1 log unit [31]. Log P and Log D values of other sesquiterpene lactones predicted by the ACD/labsTM platform have also been reported, i.e., hinesol (4.67 vs. 4.74) [32], zingiberene (6.60 vs. 5.63) [33], δ-cadinene (6.54 vs. 5.89) [34], humulone (5.14 vs. 0.79) [35], and artemisinin (2.27 vs. 2.79) [36].
Table 1: Experimental Log P and Log D values of atractylodin and β-eudesmol determined by shake-flask method and comparison with the available predicted values from the three in silico platforms ACD/labsTM, EPISuiteTM, and XLogP3TM
| Analyte | Experimental values | Predicted values | ||||||
| ACD/labsTM [37, 38] | EPISuiteTM [37, 38] | XLogP3TM [39, 40] | ||||||
| Log P (man±SD) | Log D (mean±SD) | Log P | Log D | Log P | Log D | Log P | Log D | |
| Atractylodin | 4.89±0.04 | 4.91±0.02 | 6.38 | 4.79 | 4.51 | ND | 3.50 | ND |
| β-Eudesmol | 4.38±0.04 | 3.92±0.04 | 4.68 | 4.18 | 4.88 | ND | 3.70 | ND |
Experimental data are summarized as mean+SD of three independent experiments. ND = No data available
Aqueous solubility
Aqueous solubility is one of the important physicochemical properties that influence the bioavailability and systemic exposure of the compounds in the body and, thus, their therapeutic effects. The establishment of appropriate pharmaceutical formulation and route of administration (especially with oral dosing) are challenging for poorly water-soluble drugs, as it limits the absorption of the compound from the gastrointestinal tract [41]. The conventional method for the determination of compound aqueous solubility, where a solid compound is allowed to equilibrate with an aqueous medium, is time-consuming and requires a large amount of sample. In this study, the kinetic solubility assay was applied to measure the aqueous solubility of atractylodin and β-eudesmol in seven selected media with different pH that mimic the gastrointestinal tract environment. Due to the poor water-solubility nature of both compounds, the DMSO solution of each compound was gradually added to an aqueous medium and the solubility determined as the concentration at which precipitation is formed as detected by light scattering. The advantages of the kinetic method are its relative rapidity, the requirement of a small amount of sample, and simplicity of automated adaptation [42]. The disadvantages include the presence of DMSO in the final medium (frequently 0.5-5% v/v) and the potential formation of supersaturated solutions [43]. Results indicated low solubility of both compounds in all media (table 2). The relationship between the pH of the medium and the solubility of each compound was investigated (fig. 1). Atractylodin provided the highest solubility at pH 5.8 and 6.1 (0.93 and 0.87 µg/ml, respectively), while providing the lowest solubility at other pH (1.1, 1.8, 4.5, 6.8, and 7.4). β-Eudesmol provided the highest solubility at the intestinal pH environment (28.64 and 32.48 µg/ml for pH 5.8 and 6.1, respectively), while providing the lowest solubility at the gastric pH environment (1.97 µg/ml at pH 1.1). Based on the TGSC Information System database, the aqueous solubility of atractylodin and β-eudesmol were reported at 7.541 µg/ml [44] and 7.29 µg/ml [45], respectively. The aqueous solubility of atractylodin observed in the present study at various pH was markedly lower than the reported value, while that of β-eudesmol was higher than the reported value. It was noted that the experimental aqueous solubility of both compounds could be improved by the addition of DMSO. The aqueous solubility of atractylodin predicted by EPISuiteTM platform was lower than other sesquiterpene lactones (hinesol = 2.22 µg/ml [32], zingiberene = 0.01 µg/ml [33], δ-cadinene = 0.05 µg/ml [34], humulone = 2.09 µg/ml [35], and artemisinin = 51.85 µg/ml [36]. The predicted values of most of these compounds, except artemisinin, were lower than β-eudesmol. In the previous study [46], the dissolution profile of the CMC capsule formulation of the standardized extract of A. lancea was found to be an acceptable limit according to the US Pharmacopoeia. Atractylodin dissolution in phosphate buffer pH 6.8 range of about 87.1% was achieved within 45 min. In another study, the solubility and pharmacokinetic profile of atractylodin were shown to be significantly improved with PLGA-loaded atractylodin nanoparticle [9, 47]. The experimental pKa values obtained from the study could be used together with Log P/log D and other physicochemical properties, including molecular weight, the number of hydrogen bond donors and acceptors, and polar surface area (PSA) for the prediction of the ADME properties of both compounds [48].
Table 2: Buffer effects on the aqueous solubility of atractylodin and β-eudesmol
| Media | pH of media | Aqueous solubility (µg/ml) | |
| Atractylodin | β-Eudesmol | ||
| 1. 0.1 N HCl | 1.1 | 0.08±0.005 | 1.97±0.318 |
| 2. 0.01 N HCl (SGF) | 1.8 | 0.26±0.005 | 17.78±0.257 |
| 3. PBS pH 4.5 | 4.5 | 0.13±0.004 | 17.76±1.699 |
| 4. PBS pH 5.8 | 5.8 | 0.93±0.002 | 28.64±0.232 |
| 5. water | 6.1 | 0.87±0.001 | 32.48±0.387 |
| 6. PBS pH 6.8 (SIF) | 6.8 | 0.11±0.003 | 20.29±0.065 |
| 7. PBS pH 7.4 | 7.4 | 0.14±0.004 | 18.76±0.227 |
Data are presented as mean+SD of three independent experiments.


(a) (b)
Fig. 1: Effects of pH on the aqueous solubility of (a) atractylodin and (b) β-eudesmol, data are presented as mean+SD of three independent experiments
Degree of ionization
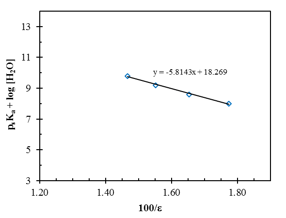
The degree of ionization of the acidic or basidic compounds is reflected by the acid-base dissociation constant (pKa). The experimental determination of the pKa is generally performed by the mean of the test compound in a medium of high ionic strength and at constant temperature [49]. Due to the poor water-solubility of atractylodin and β-eudesmol, the pKa of both compounds were evaluated in this study using potentiometric titration with Yasuda–Shedlovsky extrapolation. The estimates of the psKa values, which are the apparent ionization constants of the compounds in the mixed solvent were obtained from the titration curve fitting. The pKa of each compound was then obtained using the Yashuda-Shedlovsky extrapolation to pure water solvent by plotting psKa+log [H2O] vs. 100/dielectric constant. The extrapolation resulted in a linear straight-line graph with relatively accurate pKa values [24, 25]. The aqueous pKa was estimated using log 55.5 and 100/78.5 (the logarithm of the molar concentration and the inverse of the dielectric constant of pure water). The Yasuda-Shedlovsky plots of atractylodin and β-eudesmol are presented in fig. 2. The pKa values of atractylodin and β-eudesmol were 9.63 and, 9.12, respectively. These experimental pKa values were markedly overestimated by ChemAxonTM platform (pKa =19.32) [50]. Estimation of the pKa of hinesol by this in silico platform also yielded a high pKa value (15.14) [51].


(a) (b)
Fig. 2: Yasuda–Shedlovsky extrapolation plots for determination of the pKa values of (a) atractylodin and (b) β-eudesmol in various concentration ratio of acetonitrile-water mixtures. Each point represents the mean value obtained from three independent experiments
Compounds with Log D ranging from 3 to 5 have been shown to significantly impact their solubility (low) and permeability (high) [52]. Both compounds are, therefore, classified as BCS II (biopharmaceutic classification scheme II) with low solubility and high permeability characteristics. Dissolution is pH-dependent. The rate-limiting step of drug absorption of such compounds is solubility-limited. Examples of commercially available drugs include ibuprofen, naproxen, ketoprofen, and carbamazepine [53]. Oral absorption of actractylodin and β-eudesmol are expected to be relatively poor and erratic and are influenced by drug pharmaceutical formulations as well as in vivo factors [54]. The in vitro-in vivo relationship is predictable, which is supported by the results of phase I pharmacokinetic study of atractylodin by compartmental analysis (1-compartment) [10]. The absorption rate constant (Ka) was approximately 0.8 l/h, and the membrane permeability obtained from back-calculation of the Ka suggested compounds to be moderately permeable.
Results of the study suggested that both actractylodin and β-eudesmol are basidic compounds with pKa of 9.63 and 9.12, respectively. The aqueous solubility in biorelevant media (pH 1.1−7.4) was low. The lipophilicity was moderate (Log P and Log D ranging from 3 to 5). These physicochemical parameters will be further used for in silico prediction of their ADME (absorption, distribution, metabolism, and excretion) properties. In addition, PBPK modeling will be applied for the prediction of optimal dose regimens of the capsule formulation of the standardized extract of A. lancea for FIH and phase II study in patients with cholangiocarcinoma.
We thank the staff of Drug Discovery and Development Center, Thammasat University, for their technical supports.
The study received funding from Thammasat University under the project Center of Excellence in Pharmacology and Molecular Biology of Malaria and Cholangiocarcinoma (No. 1/2556, dated 12 October 2013), and the National Research Council of Thailand (No. 45/2561, dated 10 September 2018). Kesara Na-Bangchang is supported by the National Research Council of Thailand under the Research Team Promotion grant (grant number NRCT 820/2563, dated 12 November 2020).
Both authors were contributed to the idea, design the study, draft the article, review the data, and edit the article.
The authors declare no conflict of interest.
Khan SA, Thomas HC, Davidson BR, Taylor Robinson SD. Cholangiocarcinoma. Lancet 2005;366:1303-14.
National Cancer Institute. Cancer incidence in Thailand 2016. Bangkok: National Cancer Institute; 2018.
Forner A, Vidili G, Rengo M, Bujanda L, Ponz Sarvise M, Lamarca A. Clinical presentation, diagnosis and staging of cholangiocarcinoma. Liver Int 2019;39 Suppl 1:98-107.
Xu K, Jiang JS, Feng ZM, Yang YN, Li L, Zang CX, et al. Bioactive sesquiterpenoid and polyacetylene glycosides from atractylodes lancea. J Nat Prod 2016;79:1567-75.
Jun X, Fu P, Lei Y, Cheng P. Pharmacological effects of medicinal components of Atractylodes lancea (Thunb.) DC. Chin Med 2018;13:59.
Plengsuriyakarn T, Viyanant V, Eursitthichai V, Picha P, Kupradinun P, Itharat A, et al. Anticancer activities against cholangiocarcinoma, toxicity and pharmacological activities of Thai medicinal plants in animal models. BMC Complement Altern Med 2012;12:23.
Plengsuriyakarn T, Karbwang J, Na-Bangchang K. Anticancer activity using positron emission tomography-computed tomography and pharmacokinetics of beta-eudesmol in human cholangiocarcinoma xenografted nude mouse model. Clin Exp Pharmacol Physiol 2015;42:293-304.
Martviset P, Chaijaroenkul W, Muhamad P, Na-Bangchang K. Bioactive constituents isolated from atractylodes lancea (Thunb.) DC. rhizome exhibit synergistic effect against cholangiocarcinoma cell. J Exp Pharmacol 2018;10:59-64.
Omar AI, Plengsuriyakarn T, Chittasupho C, Na-Bangchang K. Enhanced oral bioavailability and biodistribution of atractylodin encapsulated in PLGA nanoparticle in cholangiocarcinoma. Clin Exp Pharmacol Physiol 2021;48:318-28.
Na-Bangchang K, Kulma I, Plengsuriyakarn T, Tharavanij T, Kotawng K, Chemung A, et al. Phase I clinical trial to evaluate the safety and pharmacokinetics of capsule formulation of the standardized extract of Atractylodes lancea. J Trad Complement Med 2021. https://doi.org/10.1016/ j.jtcme.2021.02.002
US Food, Drug Administration. Guidance for industry: estimating the maximum safe starting dose in an adult healthy volunteer. US Food and Drug Administration, Rockville MD; 2005.
US Food, Drug Administration. Physiologically based pharmacokinetic analyses-format and content guidance for industry. Center for Drug Evaluation and Research, Silver Spring, MD; 2018.
Sager JE, Yu J, Ragueneau Majlessi I, Isoherranen N. Physiologically based pharmacokinetic (PBPK) modeling and simulation approaches a systematic review of published models, applications, and model verification. Drug Metab Dispos 2015;43:1823-37.
Jones H, Rowland Yeo K. Basic concepts in physiologically based pharmacokinetic modeling in drug discovery and development. CPT Pharmacometrics Syst Pharmacol 2013;2:e63.
Quignot N. Modeling bioavailability to organs protected by biological barriers. In Silico Pharmacol 2013;1:8.
Loftsson T. Physicochemical properties and pharmacokinetics. In: Loftsson T. editor. Essential Pharmacokinetics. Boston: Academic Press; 2015. p. 85-104.
Jain N, Verma A. Preformulation studies of pilocarpine hydrochloride as niosomal gels for ocular drug delivery. Asian J Pharm Clin Res 2020;13:149-55.
Sobolev VS. Determination of ionization constant (pKa) and octanol-water partition coefficient (Log P) of cyclopiazonic acid. J AOAC Int 2005;88:1367-70.
Maes E, Nikolaev V, Patek M. Kinetic solubility: measurement and data processing. Oro Valley: Analytical Department, Icagen-T Inc; 2017.
Alsenz J, Kansy M. High throughput solubility measurement in drug discovery and development. Adv Drug Delivery Rev 2007;59:546-67.
Anilkumar S, Namdeo J, Ojas S, Pravin P. Enhancement solubility and dissolution rate of paracetamol and ibuprofen by coamorphous particles using microwave technique. Asian J Pharm Clin Res 2019;12:155-62.
Hiendrawan S, Veriansyah B, Tjandrawinata RR. Solid-stateE properties and solubility studies of novel pharmaceutical cocrystal of itraconazol. Int J Appl Pharm 2018;10:97-104.
Volgyi G, Ruiz R, Box K, Comer J, Bosch E, Takacs Novak K. Potentiometric and spectrophotometric pKa determination of water-insoluble compounds: Validation study in a new cosolvent system. Anal Chem Acta 2007;583:418-28.
Avdeef A, Comer JEA, Thomson SJ. pH-metric log P. 3. Glass electrode calibration in methanol-water applied to pKa determination of water-insoluble substances. Anal Chem 1993;65:42-9.
Takacs Novak K, Box KJ, Avdeef A. Potentiometric pKa determination of water-insoluble compounds: validation study in methanol/water mixtures. Int J Pharm 1997;151:235-48.
Shargel L, Wu Pong S, Yu ABC. Chapter 10. Physiologic drug distribution and protein binding. Applied Biopharmaceutics andamp; Pharmacokinetics, 6e. New York, NY: The McGraw-Hill Companies; 2012.
Kwon Y. Handbook of essential pharmacokinetics, pharmacodynamics and drug metabolism for industrial scientists. New York: Kluwer; 2002.
Comer J, Tam K. Lipophilicity profiles: theory and measurement. In: van de Waterbeemd H, Folkers G, Guy R. editors. Pharmacokinetic optimization in drug research: Biological, physicochemical, and computational strategies. Weinheim: John Wiley and Sons; 2001. p. 275-304.
Valko K. Application of high-performance liquid chromatography-based measurements of lipophilicity to model biological distribution. J Chromatogr A 2004;1037:299-310.
Andres A, Roses M, Rafols C, Bosch E, Espinosa S, Segarra V, et al. Setup and validation of shake-flask procedures for the determination of partition coefficients (logD) from low drug amounts. Eur J Pharm Sci 2015;76:181-91.
Tetko I, Poda G, Ostermann C, Mannhold R. Accurate in silico log P predictions: one can't embrace the unembraceable. QSAR Com Sci 2009;28. https://doi.org/10.1002/qsar.200960003
ChemSpider. Cambridge: Royal Society of Chemistry; c2021. Available from: http://www.chemspider.com/Chemical-Structure.9054030.html. [Last accessed on 15 Feb 2021]
ChemSpider. Cambridge: Royal Society of Chemistry; c2021. Available from: http://www.chemspider.com/Chemical-Structure.83751.html. [Last accessed on 15 Feb 2021]
ChemSpider. Cambridge: Royal Society of Chemistry; c2021. Available from: http://www.chemspider.com/Chemical-Structure.389830.html. [Last accessed on 15 Feb 2021]
ChemSpider. Cambridge: Royal Society of Chemistry; c2021. Available from: http://www.chemspider.com/Chemical-Structure.391214.html. [Last accessed on 15 Feb 2021]
ChemSpider Cambridge: Royal Society of Chemistry; c2021. Available from: http://www.chemspider.com/Chemical-Structure.62060.html. [Last accessed on 15 Feb 2021]
ChemSpider. Cambridge: Royal Society of Chemistry; c2021. Available from: http://www.chemspider.com/Chemical-Structure.4478932.html. [Last accessed on 15 Feb 2021]
ChemSpider. Cambridge: Royal Society of Chemistry; c2021. Available from: http://www.chemspider.com/Chemical-Structure.82584.html. [Last accessed on 15 Feb 2021]
PubChem. Bethesda (MD): National Library of Medicine (US), National Center for Biotechnology Information; c2004. Available from: https://pubchem.ncbi.nlm.nih.gov/compound/beta-Eudesmol. [Last accessed on 15 Feb 2021]
PubChem. Bethesda (MD): National Library of Medicine (US), National Center for Biotechnology Information; c2004. Available from: https://pubchem.ncbi.nlm.nih.gov/compound/Atractylodin. [Last accessed on 15 Feb 2021]
Siew A. Dissolution testing. Pharm Technol Euro 2016;40:56-64.
Dehring K, Workman H, Miller K, Mandagere A, Poole S. Automated robotic liquid handling/laser-based nephelometry system for high throughput measurement of kinetic aqueous solubility. J Pharm Biomed Anal 2004;36:447-56.
Saal C, Petereit A. Optimizing solubility: kinetic versus thermodynamic solubility temptations and risks. Eur J Pharm Sci 2012;47:589-95.
TGSC Information System. The Good Scents Company; c1980. Available from: http://www.thegoodscentscompany.com/ data/rw1539051.html. [Last accessed on 15 Feb 2021]
TGSC Information System. The Good Scents Company; c1980. Available from: http://www.thegoodscentscompany.com/ data/rw1054041.html. [Last accessed on 15 Feb 2021]
Rattanathada T, Plengsuriyakarn T, Asasujarit R, Cheoymang A, Karbwang J, Na-Bangchang K. Development of oral pharmaceutical formulation of standardized crude ethanolic extract of atractylodes lancea (Thunb) DC. J Chin Pharm Sci 2020;29:280-93.
Muhamad N, Plengsuriyakarn T, Chittasupho C, Na-Bangchang K. The potential of atractylodin-loaded PLGA nanoparticles as chemotherapeutic for cholangiocarcinoma. Asian Pac J Cancer Prev 2020;21:935-41.
Hou T, Wang J, Zhang W, Wang W, Xu X. Recent advances in computational prediction of drug absorption and permeability in drug discovery. Curr Med Chem 2006;13:2653-67.
Martell AE, Motekaitis RJ. Determination and use of stability constants; 1992.
FooDB. The metabolomics innovation centre; c2021. Available from: https://foodb.ca/compounds/FDB003839. [Last accessed on 15 Feb 2021].
ChemicalBook. ChemicalBook Inc; c2017. Available from: https://www.chemicalbook.com/ChemicalProductProperty_EN_CB6135964.htm. [Last accessed on 15 Feb 2021]
Stocks M. Chapter 3-the small molecule drug discovery process–from target selection to candidate selection. In: Ganellin R, Roberts S, Jefferis R. editors. Introduction to Biological and Small Molecule Drug Research and Development. Oxford: Elsevier; 2013. p. 81-126.
World Health Organization. WHO expert committee on specifications for pharmaceutical preparations. Fortieth report. World Health Organ Tech Rep Ser 2006;937:1-461.
Amidon GL, Lennernas H, Shah VP, Crison JR. A theoretical basis for a biopharmaceutic drug classification: the correlation of in vitro drug product dissolution and in vivo bioavailability. Pharm Res 1995;12:413-20.