Sinhgad Technical Education society’s, Smt. Kashibai Navale College of Pharmacy, Pune Saswad Road, Kondhwa (Bk), Pune-411048, Maharashtra, India.
Email: rajshama1@yahoo.com
Received: 26 Nov 2014 Revised and Accepted: 20 Dec 2014
ABSTRACT
Objective: Docking studies and synthesis of 4-aryl-5H-chromeno [4,3 -d]pyrimidine-2-amine derivatives to evaluate antimicrobial and in vitro cytotoxicity activity.
Methods: Docking studies were performed on Autodock Vina. Computational work was carried out with UCSF Chimera, Argus lab, Marvin beans. Antimicrobial activity was carried out with the agar cup plate method on two gram-positive organisms viz. Bacillus Subtilis and Staphylococcus Aureus and two gram-negative organisms viz. Escherichia Coli and Pseudomonas Aeruginosa. In vitro cytotoxicity was performed on HeLa cell lines with Sulfo Rhodamine B (SRB) assay method.
Results: In docking studies compounds CHR 7, CHR 8 and CHR 9 gave highest docking score (binding free energy) and moderate antimicrobial activity against gram positive organisms. All the synthesized compounds showed poor antimicrobial activity against gram negative organisms. In vitro cytotoxicity activity, in terms of growth inhibitory concentration 50 % (GI50) was in the range 37.9 - 57.1 µM. Though synthesised compounds possess moderate GI50, in comparison to standard Adrinamycin the compounds are inactive.
Conclusion: A series of 4-aryl-5H-chromeno[4,3 -d]pyrimidine-2-amine derivatives were synthesized and evaluated for antimicrobial and in vitro cytotoxicity studies. The compound CHR 9 was found most active among all the synthesised compounds.
Keywords: Chromenes, Chromeno[4,3-d]pyrimidine-2-amine, Antimicrobial, HeLa cell lines, Autodock Vina.
INTRODUCTION
Chromans, chromenes are important class of bioactive molecules consisting of benzene and pyran fused ring called benzopyrans. The flavones, isoflavones, flavanoids and coumarins have been extensively studied phyto constituents containing benzopyran ring. Chromene derivatives possess diverse pharmacological activities including antitumor [1, 2], antivascular [3], antimicrobial [4, 5], antioxidant [6], TNF-α inhibitor [7], antifungal [8], anticoagulant [9], antispasmolytic [10, 11], estrogenic [12, 13], antiviral [14], anthelminthic [15], anti-HIV [16], antitubercular [17, 18], anti-inflammatory [19, 20], herbicidal [21], analgesic [22] and anticonvulsant [23,24] activity.
The emergence of resistant strains of microorganisms has made the development of antimicrobial agents challenging. Amongst many antimicrobials, pyrimidines and their annelated derivatives are of particular importance being widely spread in nature in the form of nucleobases viz. cytosine, thymine, uracil, adenine and guanine. Aminocoumarin derivatives like novobiocin, coumermycin Al, clorobiocin and their analogues exert antibiotic effect by binding tightly to B subunit of bacterial DNA gyrase but show poor activity towards gram-negative bacterial pathogens [25, 26]. Many ring annelated chromene derivatives have been reported to possess cytotoxic effects [1, 27].
Two families of such ring annelated chromenes viz. 2,4-diaryl-4H,5H-pyrano[3,2-c]benzopyran-5-one derivatives and 1-benzopyrano[3,4-b][1,4]benzothiazine-6-one derivatives reported by Collota et al [28] possess potent cytotoxic effects. This prompted us to synthesize 4-phenyl-5H-chromeno[4,3-d]pyrimidin-2-amine derivatives in which chromene ring is annelated with pyrimidine-2-amine ring. Computer docking technique helps in finding the important binding modes of ligand with its target protein. The analysis of important interactions like hydrogen bonds formed with important residues, hydrophobic interactions facilitate drug design process. In the present paper, we report the synthesis, characterization and docking studies of 4-phenyl-5H-chromeno[4,3-d]pyrimidin-2-amine derivatives. The cytotoxicity of synthesized compounds was investigated on HeLa cell lines (human cervical adenocarsinoma cell lines) by Sulfo Rhodamine B (SRB) assay. The antimicrobial activity was investigated on two gram-positive organisms viz. Bacillus Subtilis and Staphylococcus Aureus and two gram-negative organisms viz. Escherichia Coli and Pseudomonas Aeruginosa.
MATERIALS AND METHODS
Docking studies
In the present study, the X-ray crystal structure of the antimicrobial agent Clorobiocin bound to topoisomerase II DNA gyrase was obtained from the RCSB Protein Data Bank (PDB ID: 1KZN). Resolution of protein structure with 205 amino acid residues was 2.30 A0. The protein was further processed by removing water and clorobiocin. The resulted clean protein was further refined by energy minimization in UCSF Chimera [29] with Amber ff12SB force field. Combination of 10,000 steepest descent and conjugate gradient steps with 0.02 A0 step size were used during energy minimization. The energy minimized protein structure was used for docking procedure. 2D structures of all the synthesized compounds (see scheme of synthesis) were drawn and converted to 3D structures using Marvin Sketch (a structure drawing program). Geometry optimization was carried out in ArgusLab 4.0.1 (from Thomson and Planaria Software LLC) on semi empirical quantum mechanical basis with parameterized model number 3 (PM3) hamiltonian, until restricted closed shell hartree-fock self consistent field formalism converses to 10-[10] kcal/mol and steepest descent geometry search criteria until gradient converses to 10-6 kcal/mol. Gasteiger partial atomic charges of optimized molecules were computed in UCSF chimera and were updated in 3D structures. Docking simulation was carried out in Autodock Vina [30]. Polar and aromatic hydrogens and gasteiger charges were added in the protein using MGLtools1.5.4 [31] and the pdb file was subsequently converted to pdbqt format. Pre-optimized compounds were also pre-processed similarly and converted to pdbqt format. All the torsion angles in the small-molecules were set free so as to perform flexible docking. Grid box of size 18 x 18 x 18 with 1 A0 spacing was defined along x, y and z axis. The defined grid box was large enough to cover an active site of protein. The analysis of binding free energy and interactions of ligands with residues at an active site was carried out by using Pymol and Discovery studio 3.5.
Chemistry
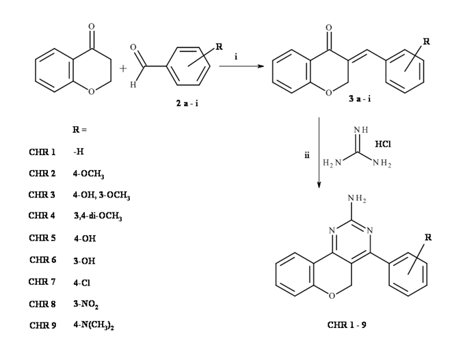
The reagents used for synthesis were of laboratory grade and solvents were of analytical grade obtained from Thomas Baker and Loba Chemie respectively. The melting point of the compound was determined by open capillary method, expressed in °C. The reactions were monitored by preparative TLC’s from Merck with the solvent system chloroform: methanol in the ratio of 9:1. Infra Red spectra were recorded on Shimadzu FT-IRAffinity-1 spectrophotometer by KBr pellet technique and are expressed in cm-1. 1H-NMR spectra were recorded on Bruker Avance 300 MHz FT-NMR spectrophotometer using CDCl3 as solvent and TMS as internal standard. The chemical shifts are expressed in δ ppm and splitting patterns are designated as s: singlet; d: doublet; q: quartet; m: multiplet. Mass spectra were recorded using Waters Quatropole Electrospray Mass Spectrophotometer. Scheme 1 depicts the strategy adopted to synthesize the compounds. The starting 4-chromanone, in presence of catalytic amount of piperidine, upon reaction with aryl aldehydes (2a-i) was converted to 3-arylmethylidene-4-chromanone derivatives (3a-k). The 4-aryl-5H-chromeno[4,3-d]pyrimidine-2-amine derivatives (CHR1-9) were synthesized by reaction of (3a-i) with guanidine hydrochloride.
General procedure for the synthesis of 3-arylmethylidene-4-chromanone (3a-k)
4-Chromanone (1 mmol) was dissolved in 10 ml ethanol and equivalent amount of aryl aldehydes (2a-i) was subsequently added. Catalytic amount of piperidine (0.2 ml) was added to the mixture at room temperature with continuous stirring. Stirring was continued until slight cloudiness appeared in the mixture and the mixture was cooled for 30 min. The precipitate obtained was filtered and was washed with water. The precipitate was dried to give compounds (3a-i) with yellowish shades in the yield 40-80%.
General procedure for the synthesis of 4-aryl-5H-chromeno [4,3 -d]pyrimidine-2-amine derivatives (CHR1-9)
The mixture of (1 mmol) 3a-i and (1 mmol) guanidine hydrochloride was refluxed for 5-6 hrs. The progress of reaction was monitored with TLC using chloroform: methanol (9:1) mobile phase. Upon cooling, the mixture was neutralized with aqueous ammonia or dil. HCl. The precipitate was filtered and recrystallized from methanol to afford CHR1-9 in the yield 48-80%.
4-phenyl-5H-chromeno[4,3-d]pyrimidin-2-amine (CHR 1)
Yield 55%, mp: 196-1980C; IR (KBr) ν (cm-1): 1015 (C-O-C, str.), 1600 (Ar C=C), 1668 (N-H, bend), 3011 (Ar C-H), 3250 (N-H).; 1H NMR (CDCl3): (ppm) 2.80 (2H, d, -NH2), 5.34 (2H, s, -O-CH2-), 6.95-8.03 (9H, m, Ar-H)

Scheme 1: Synthesis of 4-aryl-5H-chromeno [4,3-d]pyrimidine-2-amine derivatives (CHR1-9) (i) Piperidine, room temperature, stirring; (ii) Reflux, 5-6 hrs
4-(4-methoxyphenyl)-5H-chromeno[4,3-d]pyrimidin-2-amine (CHR 2)
Yield 50%, mp: 168-1700C; IR (KBr) ν (cm-1): 1030 (C-O-C, str.), 1418 (Ar C=C), 1666 (N-H, bend), 3011 (Ar C-H), 3250 (N-H).; 1H NMR (CDCl3): (ppm) 2.78 (2H, s, NH2), 3.86 (3H, s, -O-CH3), 5.43 (2H, s, -CH-), 6.91-8.06 (8H, m, Ar-H)
4-(4-hydroxy-3-methoxyphenyl)-5H-chromeno[4,3-d]pyrimidin-2-amine (CHR 3)
Yield 52%, mp: 146-1490C; IR (KBr) ν (cm-1): 1133 (C-O-C, str.), 1319 (-OH bend), 1427 (Ar C=C), 1648 (N-H, bend), 3178 (Ar C-H), 3178 (N-H), 3503 (-O-H str).; 1H NMR (CDCl3): (ppm) 3.708 (2H, s, NH2), 3.90 (3H, s, -O-CH3), 5.38 (2H, s, -CH-), 6.81-8.02 (7H, m, Ar-H), 7.99 (1H, s, OH); MS: m/z = 380.4 (M+, 61, isopropyl)
4-(3, 4-dimethoxyphenyl)-5H-chromeno[4,3-d]pyrimidin-2-amine (CHR 4)
Yield 62%, mp: 183-1850C; IR (KBr) ν (cm-1): 1130 (C-O-C, str.), 1425 (Ar C=C), 1635 (N-H, bend), 3170 (Ar C-H), 3170 (N-H).; 1H NMR (CDCl3): (ppm) 2.78 (2H, s, NH2), 3.91 (6H, s, -O-CH3), 5.39 (2H, s, -CH-), 6.97-7.90 (7H, m, Ar-H)
4-(4-hydroxyphenyl)-5H-chromeno[4,3-d]pyrimidin-2-amine (CHR 5)
Yield 80%, mp: 163-1650C; IR (KBr) ν (cm-1): 1147 (C-O-C, str.), 1427 (Ar C=C), 1648 (N-H, bend), 3121 (Ar C-H), 3129 (N-H), 3500 (-O-H).; 1H NMR (CDCl3): (ppm) 1.5 (2H, s, NH2), 3.50 (1H, s, -OH), 5.36 (2H, s, -CH-), 6.89-8.03 (8H, m, Ar-H); MS: m/z = 146.6 (M+2, H)
4-(3-hydroxyphenyl)-5H-chromeno[4,3-d]pyrimidin-2-amine (CHR 6)
Yield 64%, mp: 184-1860C; IR (KBr) ν (cm-1): 1275 (C-O-C, str.), 1453 (Ar C=C), 1608 (N-H, bend), 3152 (Ar C-H), 3471 (N-H), 3495 (O-H).; 1H NMR (CDCl3): (ppm) 1.5 (2H, s, NH2), 5.34 (2H, s, -CH-), 7.81 (1H, s, -OH),, 6.81-8.04 (8H, m, Ar-H); MS: m/z = 442.4 (M+, 4K)
4-(4-chlorophenyl)-5H-chromeno[4,3-d]pyrimidin-2-amine (CHR 7)
Yield 48%, mp: 146-1480C; IR (KBr) ν (cm-1): 1146 (C-O-C, str.), 1477 (Ar C=C), 1606 (N-H, bend), 3050 (Ar C-H), 3300 (N-H).; 1H NMR (CDCl3): (ppm) 1.8 (2H, s, NH2), 5.30 (2H, s, -CH-), 6.95-8.03 (8H, m, Ar-H); MS: m/z = 510.2 (M+, 5H, 5K)
4-(3-nitrophenyl)-5H-chromeno[4,3-d]pyrimidin-2-amine (CHR 8)
Yield 78%, mp: 192-1940C; IR (KBr) ν (cm-1): 1145 (C-O-C, str.), 1465 (Ar C=C), 1670 (N-H, bend), 3050 (Ar C-H), 3400 (N-H).; 1H NMR (CDCl3): (ppm) 1.8 (2H, s, NH2), 5.32 (2H, s, -CH-), 6.98-8.29 (8H, m, Ar-H); MS: m/z = 722.5 (2M+, 2K)
4-(4-dimethylaminophenyl)-5H-chromeno[4,3-d]pyrimidin-2-amine (CHR 9)
Yield 69%, mp: 155-1570C; IR (KBr) ν (cm-1): 1168 (C-O-C, str.), 1538 (Ar C=C), 1664 (N-H, bend), 3100 (Ar C-H), 33260 (N-H).; 1H NMR (CDCl3): (ppm) 2.77 (2H, s, NH2), 3.03 (6H, s, -CH3), 4.50 (2H, s, -CH2-), 6.67-7.90 (8H, m, Ar-H)
Evaluation of antimicrobial activity
The antimicrobial activity of all the synthesized compounds (CHR1-9) was examined against different Gram-positive (Bacillus subtilis and Staphylococcus aureus) and Gram-negative (Escherichia coli and Pseudomonas aeruginosa) by measuring zone of inhibition. The antimicrobial activity was carried out by agar cup plate method at the concentration level 25 µg/ml. Ofloxacin was used as standard at concentration 25 µg/ml. Nutrient agar was used as culture media for antibacterial activity. Twenty four hrs old cultures of bacterial pathogen were placed in nutrient agar and spread throughout the plate by spread plate technique. Wells were bored using sterile borer at equidistance. The plates were kept at room temperature for 30 minutes. The test compounds, standard and control were placed in the respective wells and plates were incubated at 370C for 36 hrs. Zone of inhibition was measured by zone reader.
In vitro cytotoxicity activity by SRB Assay
In vitro cytotoxicity activity of selected compounds was performed on HeLa cancer cell lines at Advanced Centre for Treatment Research and Education in Cancer (ACTREC) Mumbai, India. The cell viability was measured by SRB assay with triplicate measurements. Dimethylsulphoxide (DMSO) was used as a solvent. Briefly the SRB assay protocol included growing the cell lines in RPMI 1640 medium containing 10 % fetal bovine serum and 2 mM L-glutamine. Cells were inoculated into 96 well micro titer plates in 90 µl at plating densities. After cell inoculation, the micro titer plates were incubated at 37°C, 5 % CO2, 95 % air and 100 % relative humidity for 24 hr. Cell line was fixed with trichloroacetic acid (TCA) which represented a measurement of the cell viability at the time of compound addition (Tz). Compounds were dissolved in DMSO at 400-fold the desired final maximum concentration and stored frozen until use. An aliquot of frozen concentrate was thawed and diluted to 10 times the desired final maximum concentration with complete medium containing compounds at a concentration of 10-4. Additional three, 10-fold serial dilutions were made which include 10-5, 10-6, 10-7 concentrations. Aliquots of 10 µl of these solutions of compounds were added to the appropriate microtiter wells containing 90 µl of medium, resulting in the required final compounds concentrations. Plates were incubated at standard
condition for 48 hr and cold TCA was added to terminate the assay. Cells were fixed by the addition of 50 µl of cold 30 % (w/v) TCA and incubated for 60 minutes at 4°C. The supernatant was discarded and the plates were washed five times with tap water and air dried. Sulforhodamine B (SRB) solution (50 µl) at 0.4 % (w/v) in 1 % acetic acid was added to each of the wells, and plates were incubated for 20 minutes at room temperature. Unbound dye and residual dye was removed by washing five times with 1 % acetic acid. The plates were air dried and bound dye was subsequently solubilised with 10 mM unbuffered Tris base (pH 10.5). The absorbance was read on an Elisa plate reader at a wavelength of 540 nm. Percent growth was calculated for test wells relative to control wells. Percent Growth was expressed as the ratio of average absorbance of the test well to the average absorbance of the control wells x 100. Using the total six absorbance measurements viz. time zero (Tz), control growth (C) with adrinamycin, and test growth in the presence of test compounds at the four concentration levels (Ti), growth inhibitory (50%) concentration (GI50), concentration of compound that produces total inhibition of the cells (TGI) and concentration of compound that kills 50% of the cells (LC50) were calculated.
RESULTS AND DISCUSSION
Docking
The docking protocol adopted in this investigation was validated by docking of clorobiocin to energy minimized topoisomerase II DNA gyrase protein. The residues Arg136 and Asn76 are important in making hydrogen bonds. Arg136 makes two hydrogen bond interactions with clorobiocin. The best conformer generated in docking showed same interactions as shown in fig. 1. The RMSD between docked conformer and cocrystallized clorobiocin pose was below 10 A0 fig. 2. When the 4-aryl- 5H-chromeno[4,3-d]pyrimidin-2-amine derivatives were docked in to the active site of protein, N-3 of pyrimidine ring forms hydrogen bond with Asn46. Compounds CHR 1, CHR 2, CHR 6, CHR 7 and CHR 9 forms pi stacking interaction with basic Arg76 residue. The interaction with Arg136 was not observed, as it is inaccessible for all the compounds. The binding free energy is presented in table 1.
Antimicrobial activity
The compounds were evaluated for antibacterial activity using agar cup plate method. Ofloxacin, a well known topoisomerase II DNA gyrase inhibitor, was used as a standard. Few compounds showed moderate activity in comparison to the standard drug. The results are presented table 2. The results show that compounds CHR 7, CHR 8 and CHR9 exhibited moderate antibacterial activity against gram positive organisms. All the synthesised compounds exhibited poor activity against gram negative organisms as compared with standard drug ofloxacin. The docking results are in good agreement with the antibacterial activity against gram positive organisms.
In vitro cytotoxicity activity by SRB assay
Few compounds (CHR 3, CHR 6 and CHR 8) showed moderate cytotoxic activity against HeLa cell lines. The results are presented in table 3 and fig. 4. GI50 values ranged from 37.9 – 57.1 µM. Compounds CHR 3, CHR 6 and CHR 8 showed moderate activity against HeLa cell line growth, but none of the compound showed significant activity in comparison to standard Adrinamycin.

Fig. 1: Interactions of Clorobiocin (A) Co-crystallized ligand; (B) Docked ligand

Fig. 2: Poses of docked ligand and cocrystallized Clorobiocin

Fig. 3: Interactions of compounds with active site residues (1-9 represent compounds CHR 1-9)

Fig. 4: Plot of molar drug concentration against % control growth
Table 1: Docking score (Binding free energy in kcal/mol)
| S. No. | Compound | Docking score (Binding free energy) kcal/mol |
| 1 | CHR 1 | -8.5 |
| 2 | CHR 2 | -8.8 |
| 3 | CHR 3 | -8.6 |
| 4 | CHR 4 | -8.4 |
| 5 | CHR 5 | -8.5 |
| 6 | CHR 6 | -8.6 |
| 7 | CHR 7 | -8.9 |
| 8 | CHR 8 | -8.8 |
| 9 | CHR 9 | -9.2 |
| 10 | Clorobiocin | -9.4 |
Table 2: Antimicrobial activity of synthesized compounds
Zone of inhibition in mm (millimetre) |
||||
Compounds |
B. subtilis |
S. aureus |
E. coli |
P. aeruginosa |
CHR1 |
8.7 ± 0.608 |
8.0 ± 0.500 |
5.0 ± 0.115 |
5.1 ± 0.057 |
CHR2 |
10.0 ± 0.450 |
10.1 ± 0.346 |
7.4 ± 1.352 |
5.6 ± 0.763 |
CHR3 |
7.5 ± 0.5 |
8.4 ±0.529 |
5.8 ± 1.096 |
5.2 ± 0.264 |
CHR4 |
6.9 ± 0.793 |
7.0 ± 0.057 |
5.3 ± 0.416 |
5.2 ± 0.251 |
CHR5 |
7.8 ± 0.264 |
7.0 ± 0550 |
5.3 ±0.472 |
4.7 ± 0.665 |
CHR6 |
9.5 ± 0.513 |
8.3 ±0.838 |
5.2 ± 0.251 |
5.5 ± 0.5 |
CHR7 |
12.2 ± 1.159 |
12.1 ± 0.737 |
8.4 ± 1.320 |
6.6 ± 0.360 |
CHR8 |
11.4 ± 1.285 |
10.6 ± 0.568 |
7.5 ± 1.011 |
6.3 ± 0.608 |
CHR9 |
13.6 ± 0.650 |
12.5 ± 1.285 |
10.2 ± 1.311 |
6.8 ± 0.754 |
Ofloxacin |
31.0 ± 0.711 |
28.8 ± 0.849 |
28.2 ± 0.205 |
27.9 ± 0.216 |
Data presented in Mean ± SD (N=3)
Table 3: In vitro cytotoxicity of synthesized compounds against HeLa cells
| Compound | LC50 | TGI | GI50 |
| CHR 3 | > 100 | 76.8 | 40.6 |
| CHR 5 | > 100 | > 100 | 55.6 |
| CHR 6 | > 100 | 71.4 | 37.9 |
| CHR 7 | > 100 | > 100 | 57.1 |
| CHR8 | > 100 | 74.8 | 38.1 |
Adrinamycin (Standard) |
> 100 | 43.0 | < 0.1 |
Data re presented in µMolar concentrations. LC50: Concentration of compound that kills 50% of the cells; TGI: Concentration of compound that produces total inhibition of the cells; GI50: Growth inhibitory (50%) concentration.
CONCLUSION
Series of 5H-chromeno[4,3-d]pyrimidin-2-amine derivatives was synthesized. Docking studies in Autodock vina suggested hydrogen bond interaction between N-3 of compounds with key residue Asn46. Compounds CHR 7, CHR 8 and CHR9 exhibited moderate antibacterial activity against gram positive organisms. Compounds CHR 3, CHR 6 and CHR 8 showed moderate cytotoxic activity against HeLa cell lines. Modification of basic NH2 group and substitution on phenyl ring may lead to potential lead compounds for antimicrobial activity or cytotoxic activity.
ACKNOWLEDGEMENT
Authors are thankful to Prof. M. N. Navale, Founder President, Sinhgad Technical Education Society for constant encouragement. The authors thank Diya Labs, Mumbai for providing 1H NMR and ESI-Mass spectra. Authors are also thankful to Advance Center for Treatment, Research & Education in Cancer (ACTREC), Mumbai for in vitro cytotoxicity studies.
CONFLICT OF INTERESTS
Declared None
REFERENCES