aDepartment of Post Graduate Studies and Research in Chemistry, School of Chemical Sciences, Kuvempu University, P. G. Centre, Kadur, Karnataka 577548, India, bDepartment of Medicinal Chemistry, Scientific Bio-Minds, Bangalore 560092, Karnataka, India.
Email: mahadevan.kmm@gmail.com
Received: 01 Dec 2014 Revised and Accepted: 20 Dec 2014
ABSTRACT
Objective: Synthesis of 2-methoxy-4-(3-methyl-2-phenyl-1,2,3,4-tetrahydroquinolin-4-yl)phenol derivatives (4a-i) and to study their inhibitory effects towards inflammatory, cancer, retinoic acid, cholesterol esterase, parasitic and microbial proteins.
Methods: Various 2-methoxy-4-(3-methyl-2-phenyl-1,2,3,4-tetrahydroquinolin-4-yl)Phenols (4a-i) were synthesized via imino Diels-Alder reaction and were characterized by IR, 1H NMR, 13C NMR mass spectroscopy and elemental analysis. All 2-methoxy-4-(3-methyl-2-phenyl-1,2,3,4-tetrahydroquinolin-4-yl)Phenols (4a-i) and six FDA approved reference drugs were docked against inflammatory, cancer, retinoic acid, cholesterol esterase, parasitic and microbial protein receptors. The results were studied and validated based on molecular docking analysis.
Results: The compounds 4a-i were less toxic on internal tissues and show no side effect. The compounds 4c and 4f were strongly interacts with active site amino acids Arg210, His107, Ala197, Thr198 and Arg195 of binding energy -16.0728 kcal/mol and -56.5169 kcal/mol with inflammatory protein. The compound 4b and 4f binds with cancer protein shows -8.99845 and -5.70191 kcal/mol of energy exhibits significant anticancer properties. The compound 4a shows 7 hydrogen bonds with retinoic acid protein within amino acids Asn1185 and Arg1309 with energy of -47.423 kcal/mol than remaining compounds. The compound 4g shows 5 hydrogen bonds of energy -32.9844 kcal/mol with amino acids Arg155, Gln124, Leu122 with microbial protein. The compounds 4c, 4d and 4i exhibits 3 hydrogen bonds within active site amino acids of energy -8.29829 kcal/mol, against cholesterol esterase protein. Nevertheless, all 4a-i compounds shows strong interaction with parasitic protein.
Conclusion: The compounds 4a, 4c, 4f, 4g, and 4h were identified as multifunctional lead compounds hence; these compounds could be considered as potential lead molecules in the future study.
Keywords: Isoeugenol, Tetrahydroquinoline, Antimicrobial, Anticancer, Anti-inflammatory, Antiparasitic, Antiretinoic acid, Cholesterol esterase, Molecular docking.
INTRODUCTION
Isoeugenol is a natural flavoring agent occurs in various plants includes cloves, dill seeds, nutmeg and sandalwood [1]. Plants produce a monomeric group of phenylpropenes like chavicol, t-anol, eugenol, and isoeugenol is incorporated to inhibit microbial growth [2] and impart medicinal property. Free phenol functional group responsible for effective ranges of antimicrobial and anticancer properties [3]. It was reported that a combined action of Isoeugenol and tetrahydroquinoline derivates exhibited many biological properties include anticancer activity [4]. For example 4-hydroxy-3-methoxyphenyl substituted 3-methyl-tetrahydroquinolines were tested in human tumor cells MCF-7, SKBR-3, PC3, HeLa shows cytotoxic activity in early and later stages [5] and also exhibited antimalarial activity with malarial protein farnesyltransferase (PFT) [6]. The another property of tetrahydroquinoline derivates that shows effective interaction with RARβ, γ retinoic acid receptors exhibit tumor promoter induced ODC (ornithine decarboxylase) activity in hairless mouse skin and posses potential antiretinoic property [7].
Further, the tetrahydroquinoline containing sulphonamide moiety exhibited cytotoxic activity [8, 9] and potent, CRTH2 antagonists properties [10]. Cis-1-benzoyl-2-methyl-4-(phenylamino)-1,2,3,4-tetrahydroquinolines were found to be promising leads for use as inducers in systems to control gene expression based on AaEcR (Aedes aegypti Ecdysone receptor) [11], hence these properties reveals that the tetrahydroquinoline derivates possess diverge biological functions for the treatment of various disease. There were few synthetic methods which include Hetero-Diels–Alder reaction to obtain tetrahydroquinoline moieties [12-16].
Further interesting moiety 4-(p-methoxyphenyl)-3,4-tetra hydroquinolin-2(1H)-ones were found to occur in many natural products and reported to exhibit important biological properties (fig. 1), [17-21] i. e., Penigequinolones (1) isolated from the mycelial mats of Penicillium sp., No. 410 were reported as pollen-growth inhibitors [10].
But, the biological properties of tetrahydroquinolines coupled with isoeugenol moiety have still not been explored extensively. Keeping in view of natural occurrence of isoeugenol derivates coupled to tetra hydro qunolines and in continuation of our work on biological activity of heterocyclic compounds [22-30], herein, we report the study of a three-component condensation and cyclo addition reaction between anilines, benzaldehydes and trans-isoeugenol to furnish a new class of 2-methoxy-4-(3-methyl-2-phenyl-1,2,3,4-tetrahydroquinolin-4-yl)phenol derivatives (4a-i). To make this hetero Diels-Alder synthetic method more efficient, eco friendly high and yield we succeeded to use acetic acid, in which acetic acid served as both catalyst and solvent. This method is based on our earlier reports in generating novel tetrahydroquinolines for different biological trials [31-35]. All synthesized 2-methoxy-4-(3-methyl-2-phenyl-1,2,3,4-tetra hydroquinolin-4-yl) Phenols (4a-i) were subjected to molecular docking studies for antimicrobial, anticancer, retinoic acid receptor, anti-inflammatory, cholesterol ester transferases and antiparasitic activities.
MATERIALS AND METHODS
Chemistry
All chemicals were purchased from commercial sources and were used without further purifications. All the melting points were recorded in open capillaries and are uncorrected. Silica gel (60-120 mesh) was used for column chromatography and TLC analysis was performed on commercial plates coated with silica gel 60 F254. Visualization of the spots on TLC plates was achieved by UV irradiation.
Fig. 1: Naturally occurring 4-(p-methoxyphenyl)-3, 4-tetrahydroquinolin-2(1H)-one
Elemental analysis was recorded on vario MICRO CHNS. Mass spectra were recorded on Finnigan Mat 1020 C spectrometer using ionization energy of 70 eV. 1H and 13C NMR spectral analysis were performed on a spectrometer operating at 300 MHz, 400 MHz, and 75 MHz, 100 MHz, respectively in CDCl3 solutions unless otherwise stated. Chemical shifts are reported with respect to tetra methyl silane (TMS) for 1H NMR and the central line (77.0 ppm) of CDCl3 for 13C NMR. Coupling constants (J) are reported in Hz. Standard abbreviations s, d, t and m refer to singlet, doublet, triplet and multiplet respectively.
A typical procedure for the synthesis of 4-(6-chloro-3-methyl-2-phenyl-1,2,3,4-tetrahydroquinolin-4-yl)-2-methoxyphenol (4b)
A mixture of p-chloro aniline (0.5 g, 3.91 mmol) and benzaldehyde (0.41g, 3.91 mmol) in acetic acid (20 mL) was stirred at room temperature (25 °C) for 20 min. Finally, trans-isoeugenol (0.48 g, 2.93 mmol) was added and the reaction mixture was refluxed for 8-9 h. After the completion of reaction (as indicated by TLC), the reaction mixture was poured into water (50 mL) and extracted with ethyl acetate (3 x 30 mL). The ethyl acetate extract was washed with water, brine solution, dried over anhydrous Na2SO4 and concentrated under vacuum. The crude material was purified by column chromatography on silica gel (petroleum ether/ethyl acetate, 9∶1 v/v) to give 4-(6-chloro-3-methyl-2-phenyl-1,2,3,4-tetrahydroquinolin-4-yl)-2-methoxyphenol (4b) (Yield = 1.0 g, 68 %). Similarly other 2-methoxy-4-(3-methyl-2-phenyl-1,2,3,4-tetrahydroquinolin-4-yl)phenols (4a-i) were synthesized.
Spectral data
2-methoxy-4-(7-methyl-6-phenyl-5,6,7,8-tetrahydro-[1,3]dioxolo[4,5-g]quinolin-8-yl) phenol (4a)
White amorphous solid; m. p. 220-221 °C; 1H NMR (400 MHz, CDCl3): δ = 8.76 (s, 1 H), 7.45-7.43 (m, 2 H), 7.39-7.35 (m, 2 H), 7.32-7.28 (m, 1 H), 6.73-6.69 (m, 2 H), 6.60-6.58 (m, 1 H), 6.27 (s, 1 H), 5.86 (s, 1 H), 5.74 (d, J = 8.0 Hz, 2 H), 5.68 (s, 1 H), 3.98 (d, J = 9.6 Hz, 1 H), 3.72 (s, 3 H), 3.57 (d, J = 10.8 Hz, 1 H), 2.07-1.99 (m, 1 H), 0.43 (d, J = 6.4 Hz, 3 H) ppm; 13C NMR (100 MHz, CDCl3): δ = 147.53, 146.09, 145.49, 144.89, 143.07, 142.87, 140.68, 138.06, 135.62, 128.20, 127.42, 126.82, 121.44, 116.51, 115.33, 114.98, 112.70, 99.69, 95.43, 62.95, 55.63, 54.10, 51.21, 48.21, 16.22 ppm; MS: m/z = 390.2 (M+1). Anal. Calcd for C24H23NO4: C, 74.02, H, 5.95, N, 3.60. Found: C, 74.23, H, 6.18, N, 3.79.
4-(6-chloro-3-methyl-2-phenyl-1,2,3,4-tetrahydroquinolin-4-yl)-2-methoxyphenol (4b)
White amorphous solid; m. p. 155-156 °C; 1H NMR (400 MHz, CDCl3): δ = 7.44-7.42 (m, 2 H), 7.40-7.36 (m, 2 H), 7.35-7.33 (m, 1 H), 6.93 (dd, J = 2.4, 8.6 Hz, 1 H), 6.89 (d, J = 8.0 Hz, 1 H), 6.73 (dd, J = 1.6, 8.0 Hz, 1 H), 6.64 (d, J = 2.0 Hz, 1 H), 6.57 (s, 1 H), 6.45 (d, J = 8.8 Hz, 1 H), 5.58 (s, 1 H), 4.10 (d, J = 10.0 Hz, 1 H), 3.85 (s, 3 H), 3.66 (d, J = 10.8 Hz, 1 H), 2.18-2.15 (m, 1 H), 0.57 (d, J = 6.4 Hz, 3 H) ppm; 13C NMR (75 MHz, CDCl3): δ = 147.28, 144.86, 135.75, 130.04, 129.10, 128.55, 128.32, 127.34, 123.16, 114.65, 111.39, 64.36, 56.45, 52.51, 41.54, 16.87 ppm; MS: m/z = 380.1 (M+1). Anal. Calcd for C23H22ClNO2: C, 72.72, H, 5.84, N, 3.69. Found: C, 72.99, H, 6.12, N, 3.95.
4-(6-(3-chlorophenyl)-7-methyl-5,6,7,8-tetrahydro-[1,3]dioxolo[4,5-g]quinolin-8-yl)-2-methoxyphenol (4c)
White amorphous solid; m. p. 194-195 °C; 1H NMR (400 MHz, CDCl3): δ = 8.81 (s, 1 H), 7.48-7.42 (m, 4 H), 6.74-6.68 (m, 3 H), 6.61-6.55 (m, 2 H), 6.10-6.07 (m, 1 H), 5.96 (s, 1 H), 4.05 (d, J = 9.6 Hz, 1 H), 3.71 (s, 3 H), 3.65 (d, J = 11.2 Hz, 1 H), 2.10-2.03 (m, 1 H), 0.44 (d, J = 6.8 Hz, 3 H) ppm; 13C NMR (100 MHz, CDCl3): δ = 147.26, 146.78, 144.78, 136.72, 134.93, 130.25, 128.65, 128.42, 126.81, 123.08, 114.37, 111.29, 110.19, 100.95, 64.36, 56.49, 52.67, 42.27, 16.87 ppm; MS: m/z = 424.3 (M+1). Anal. Calcd for C24H22ClNO4: C, 68.00, H, 5.23, N, 3.30. Found: C, 68.28, H, 5.64, N, 3.55.
4-(2-(4-chlorophenyl)-6-fluoro-3-methyl-1,2,3,4-tetrahydroquinolin-4-yl)-2-methoxy phenol (4d)
Pale yellow amorphous solid; m. p. 190-191 °C; 1H NMR (400 MHz, CDCl3): δ = 7.27-7.24 (m, 3 H), 6.85 (d, J = 8.0 Hz, 1 H), 6.71 (dd, J = 2.0, 8.0 Hz, 1 H), 6.62 (d, J = 1.6 Hz, 1 H), 6.12-6.10 (m, 2 H), 5.77 (dd, J = 1.6, 9.2 Hz, 2 H), 5.50 (s, 1 H), 4.02 (d, J = 10.0 Hz, 1 H), 3.85 (s, 3 H), 3.78 (s, 1 H), 3.60 (d, J = 10.8 Hz, 1 H), 2.13-2.06 (m, 1 H), 0.57 (d, J = 6.4 Hz, 3 H) ppm; 13C NMR (100 MHz, CDCl3): δ = 147.29, 144.93, 135.82, 134.13, 131.99, 129.73, 129.24, 123.16, 116.89, 116.66, 114.58, 114.36, 114.13, 111.32, 63.97, 56.45, 52.70, 41.78, 16.82 ppm; MS: m/z = 398.2 (M+1). Anal. Calcd for C23H21ClFNO2: C, 69.43, H, 5.32, N, 3.52. Found: C, 69.60, H, 5.51, N, 3.73.
4-(6-chloro-2-(4-chlorophenyl)-3-methyl-1,2,3,4-tetrahydroquinolin-4-yl)-2-methoxy phenol (4e)
White amorphous solid; m. p. 192-193 °C; 1H NMR (400 MHz, CDCl3): δ = 7.42-7.37 (m, 2 H), 7.36-7.33 (m, 2 H), 6.97-94 (m, 1 H), 6.88 (d, J = 8.0 Hz, 1 H), 6.72 (dd, J = 1.6, 8.0 Hz, 1 H), 6.63-6.59 (m, 2 H), 6.52-6.48 (m, 1 H), 5.56 (s, 1 H), 4.08 (d, J = 10.4 Hz, 1 H), 3.88 (s, 1 H), 3.85 (s, 3 H), 3.64 (d, J = 11.2 Hz, 1 H), 2.20-2.05 (m, 1 H), 0.56 (d, J = 6.4 Hz, 3 H) ppm; 13C NMR (100 MHz, CDCl3): δ = 147.32, 144.99, 135.44, 134.42, 130.18, 129.80, 129.34, 127.46, 123.12, 114.67, 111.35, 63.86, 56.48, 52.39, 41.49, 32.03, 23.10, 16.79, 14.57 ppm; MS: m/z = 414.4 (M+1). Anal. Calcd for C23H21Cl2NO2: C, 66.67, H, 5.11, N, 3.38. Found: C, 66.98, H, 5.43, N, 3.60.
4-(8-chloro-2-(4-chlorophenyl)-3-methyl-1,2,3,4-tetrahydroquinolin-4-yl)-2-methoxy phenol (4f)
White amorphous solid; m. p. 185-186 °C; 1H NMR (400 MHz, CDCl3): δ = 7.41-7.35 (m, 4 H), 7.09 (dd, J = 2.0, 7.6 Hz, 1 H), 6.87 (d, J = 8.0 Hz, 1 H), 6.72 (dd, J = 2.0, 8.0 Hz, 1 H), 6.60 (d, J = 2.0 Hz, 1 H), 6.51-6.45 (m, 2 H), 5.52 (s, 1 H), 4.60 (s, 1 H), 4.14 (d, J = 10.0 Hz, 1 H), 3.83 (s, 3 H), 3.70 (d, J = 11.2 Hz, 1 H), 2.17-2.04 (m, 1 H), 0.57 (d, J = 6.8 Hz, 3 H) ppm; 13C NMR (100 MHz, CDCl3): δ = 146.83, 144.44, 140.79, 135.47, 133.79, 129.21, 128.88, 128.69, 128.46, 127.01, 122.78, 117.79, 117.21, 114.12, 110.93, 63.09, 56.02, 52.20, 41.16, 16.36 ppm; MS: m/z = 414.2 (M+1). Anal. Calcd for C23H21Cl2NO2: C, 66.67, H, 5.11, N, 3.38. Found: C, 66.98, H, 5.38, N, 3.62.
4-(2-(4-chlorophenyl)-8-fluoro-3-methyl-1,2,3,4-tetrahydroquinolin-4-yl)-2-methoxy phenol (4g)
White amorphous solid; m. p. 180-182 °C; 1H NMR (300 MHz, CDCl3): δ = 7.40-7.33 (m, 4 H), 6.88-6.78 (m, 2 H), 6.72 (dd, J = 1.8, 8.1 Hz, 1 H), 6.61 (d, J = 2.1 Hz, 1 H), 6.50-6.43 (m, 1 H), 6.37 (d, J = 7.8 Hz, 1 H), 5.55 (s, 1 H), 4.23 (s, 1 H), 4.10 (d, 9.9 Hz, 1 H), 3.83 (s, 3 H), 3.71 (d, J = 10.8 Hz, 1 H), 2.17-2.08 (m, 1 H), 0.58 (d, J = 6.6 Hz, 3 H) ppm; 13C NMR (100 MHz, CDCl3): δ = 151.55, 149.18, 146.77, 144.41, 140.78, 135.63, 133.73, 133.45, 129.23, 128.81, 125.13, 125.10, 122.72, 116.46, 116.39, 114.08, 112.41, 110.99, 62.74, 56.01, 51.97, 41.40, 16.37 ppm; MS: m/z = 398 (M+1). Anal. Calcd for C23H21ClFNO2: C, 69.43, H, 5.32, N, 3.52. Found: C, 69.71, H, 5.53, N, 3.78.
4-(6-bromo-2-(4-chlorophenyl)-3-methyl-1,2,3,4-tetrahydroquinolin-4-yl)-2-methoxy phenol (4h)
White amorphous solid; m. p. 187-188 °C; 1H NMR (400 MHz, CDCl3): δ = 7.38-7.32 (m, 4 H), 7.07-7.04 (m, 1 H), 6.88 (d, J = 8.0 Hz, 1 H), 6.71-6.67 (m, 2 H), 6.60 (d, J = 2.0 Hz, 1 H), 6.40 (d, J = 8.4 Hz, 1 H), 5.54 (s, 1 H), 4.07 (d, J = 9.6 Hz, 1 H), 4.02 (s, 1 H), 3.85 (s, 3 H), 3.64 (d, J = 10.8 Hz, 1 H), 2.11-2.04 (m, 1 H), 0.55 (d, J = 6.4 Hz, 3 H) ppm; 13C NMR (100 MHz, CDCl3): δ = 146.85, 144.52, 143.74, 140.86, 135.07, 133.75, 132.45, 129.80, 129.15, 128.81, 127.69, 122.68, 115.24, 114.29, 110.98, 109.41, 63.22, 56.03, 51.94, 41.25, 16.32 ppm; MS: m/z = 458 (M+1); Anal. Calcd for C23H21BrClNO2: C, 60.21, H, 4.61, N, 3.05. Found: C, 60.43, H, 4.86, N, 3.29.
4-(2-(4-chlorophenyl)-3,6-dimethyl-1,2,3,4-tetrahydroquinolin-4-yl)-2-methoxy phenol (4i)
White amorphous solid; m. p. 186-187 °C; 1H NMR (400 MHz, CDCl3): δ = 7.38-7.32 (m, 4 H), 6.87 (d, J = 8.0 Hz, 1 H), 6.80 (d, J = 8.0 Hz, 1 H), 6.73 (dd, J = 1.6, 8.0 Hz, 1 H), 6.64 (d, J = 1.6 Hz, 1 H), 6.46 (d, J = 8.0 Hz, 1 H), 6.41 (s, 1 H), 5.52 (s, 1 H), 4.06 (d, J = 10.0 Hz, 1 H), 3.89 (s, 1 H), 3.84 (s, 3 H), 3.66 (d, J = 10.8 Hz, 1 H), 2.14-2.08 (m, 4 H), 0.55 (d, J = 6.4 Hz, 3 H) ppm; 13C NMR (100 MHz, CDCl3): δ = 146.71, 144.21, 142.49, 141.44, 136.32, 133.45, 130.43, 129.23, 128.68, 127.61, 127.06, 125.62, 122.81, 113.99, 113.81, 111.13, 63.53, 56.04, 52.27, 41.96, 20.52, 16.44 ppm; MS: m/z = 394.6 (M+1). Anal. Calcd for C24H24ClNO2: C, 73.18, H, 6.14, N, 3.56. Found: C, 73.40, H, 6.36, N, 3.79.
ADME-Toxicity prediction
The molecular descriptors of synthesized compounds 4a-i are optimized using QSAR properties. The SAR activity of these compounds is significantly helps to understand pharmacokinetics to derive physicochemical properties and predict biological activity such as absorption, distribution, metabolism, excretion and toxicity (ADMET). The AdmetSAR [36] helps to evaluate biologically active molecules and eliminate the biologically poor active lead molecules which contain undesirable functional groups based on Lipinski rule. The statistical calculation for lead molecules includes surface area, geometry and fingerprint properties which help to understand biologically important end points. Aqueous solubility (PlogS), Blood-Brain Barrier Penetration (QPlogBB), intestinal absorption (logHIA) [37], Hepatotoxicity, Caco-2 cell permeability (QPPCaco) also helps to understand drug metabolism for top docking lead molecules [38]. Further, to predict the toxicity of lead molecules with intraperitoneal, oral, intravenous and subcutaneous toxic effects of blood, cardiovascular system, gastrointestinal, kidney, liver and lungs to calculate sensitivity, specificity and area under the curves (AUC) that will predicts the linearity of compounds.
Selection of target protein
The disease target 3D crystal protein structures are directly downloaded from the Protein data bank (PDB). The inflammatory protein (PDBID: 4EJ4), cancer protein (PDB ID: 1S63), retinoic acid receptor (PDB ID: 1DSZ), microbial response protein (PDBID: 1C4K), parasitic response receptor (PDB ID: 4AIB) and cholesterol esterase protein (PDBID: 2OBD) is biological inactive proteins helps for disease targets. The conformational protein structure is modeled and visualized using Swiss PDB Viewer. The quality of 3D protein structures of residue-by-residue geometry with stereo chemical parameters is evaluated using PROCHECK, WHATCHECK, ERRAT and Verify3D. The reference compounds such as Indomethacin, Camptothecin, Tretinoin, tetracycline, Lovastatin, and metronidazole are directly downloaded from DrugBank 2.5 database [39] and they are potential competitive inhibitor against target proteins. The pharmacological activity and molecular optimization were calculated using Hyperchem 7.0 Professional [40].
Active site prediction
A prediction of an active site and ligand binding sites of evaluated 3D protein structure by using CastP web server and this helps to calculate topological surface area and surface volume of predicted pockets. These pockets contain electrostatic and van-der-waals forces that locate energetically binding ligands based on ranks of energetical clusters. These probable ligand binding pockets are calculated accordingly with geometric accuracy of RMSD and superimposition of the target to its native structure. RMSD depends on the number of equivalent atom pair of both proteins was compared, which in turn depends upon the maximum allowed distance between atom pairs.
Molecular docking
Molecular docking studies of biologically inactive protein with synthesized lead compounds were carried out by using AutoDock 4.2 and Auto Dock Tools (ADT) v 1.5.4 from the Scripps Research Institute. The AutoDock helps to add hydrogen to polar hydrogens those are bonded to electronegative atoms like nitrogen and oxygen. Detection of Gasteiger charges within active sites of amino acids was computed and the charges are spread across total residue of polar and non-polar hydrogen bonds. Through selecting a flexible and rigid molecule to create grid map of size 80x80x80 from x, y and z-axis for different grid parameters and the resultant compounds were used to compute molecular stimulation parameters like Lamarckian genetic algorithm of population size 150, the mutation rate of 0.02 and crossover rate of 0.8, these simulations were performed up to 2.5 million energy and the evaluations were maximum at 27000 generations. Each simulation was carried about 10 times which ultimately yielded 10 docked conformations. From this, the lowest energy conformations were regarded as the best binding conformations. The results were analyzed based on clusters of RMSD, SAR activity and hydrogen bonding interactions. At the end, the reverse validation processes ensured the identified hits that fitted with generated Pharmacological models and active sites target proteins. Since all the parameters were required for molecular docking, the Pharmacophore mapping were consequently fixed and used in regular process.
RESULTS AND DISCUSSION
Chemistry
Initially, a mixture of p-chloro aniline (1 mmol) and benzaldehyde (1 mmol) in acetic acid was stirred at room temperature (25 °C) for 20 min. To this stirred mixture, the trans-isoeugenol was added and the reaction mixture was refluxed for 10 hr, in which the reaction occurred smoothly to generate 4-(6-chloro-3-methyl-2-phenyl-1,2,3,4-tetrahydroquinolin-4-yl)-2-methoxyphenol (4b) in 70 % yield. The result of the reactions of different anilines (1a-i) and benzaldehydes (2a-i) with trans-isoeugenol (3) to get novel 2-methoxy-4-(3-methyl-2-phenyl-1,2,3,4-tetrahydroquinolin-4-yl) phenol derivatives (4a-i) are summarized in scheme 1 and table 1. The yields of the products were found to be in the range of 60-70 %. The progress of the reaction was continuously monitored by TLC (petroleum ether/ethyl acetate, 9:1 v/v) and the products were subsequently identified by LC-MS analysis. The substitution F, Cl, Br, Me, -O-CH2O- in all new 2-methoxy-4-(3-methyl-2-phenyl-1,2,3,4-tetrahydroquinolin-4-yl)phenol derivatives (4a-i) were varied appropriately on phenyl ring at 2nd position of tetrahydroquinoline and phenyl ring fused with piperdinyl ring to find out their ability to dock with selected proteins. Thus this procedure can be applied to generate large variety of isoeugenol coupled tetrahydroquinolines, which resembles the structure of naturally occurring tetrahydroquinolines possesses diverse biological properties [10].
Scheme 1: Synthesis of 2-methoxy-4-(3-methyl-2-phenyl-1,2,3,4-tetrahydroquinolin-4-yl)phenols (4a-i)
Table 1: Reaction of anilines, benzaldehydes and trans-isoeugenol in acetic acid at reflux temperature
| Entry | Anilines | Products | Time | Yields (%)a | m. p.(°C) |
| 4a | ![]() |
![]() |
12 hr | 65 | 220-221 |
| 4b | ![]() |
![]() |
10 hr | 70 | 155-156 |
| 4c | ![]() |
![]() |
14 hr | 70 | 194-195 |
| 4d | ![]() |
![]() |
8 hr | 60 | 190-191 |
| 4e | ![]() |
![]() |
10 hr | 65 | 192-193 |
| 4f | ![]() |
![]() |
14 hr | 60 | 185-186 |
| 4g | ![]() |
![]() |
12 hr | 65 | 180-182 |
| 4h | ![]() |
![]() |
10 hr | 65 | 187-188 |
| 4i | ![]() |
![]() |
16 hr | 70 | 186-187 |
The prediction of 1H NMR spectrum of compound 4g exhibited doublet at δ = 0.58 corresponds to C3-CH3 protons, multiplet at δ = 2.08-2.17 corresponds to C3-H proton, doublet at δ = 3.71 corresponds to C2-H, Singlet at δ = 3.83 corresponds to C3’- OCH3 protons, doublet at δ = 4.10 corresponds to C4-H, singlet at δ = 4.23 corresponds to -NH, singlet at δ = 5.55 corresponds to -OH. The peaks of 10 aromatic protons have appeared in the expected region of δ = 6.36-7.40 and the number of protons is in accordance with the expected structure.
Additional support to elucidate the structures is obtained from 13C NMR spectrum of these compounds. The appearance of peaks at δ = 16.37, 41.40, 51.97, 56.01, 62.74, 112.23, 112.41, 114.08, 116.39, 116.46, 122.72, 125.10, 125.13, 128.81, 129.23, 133.45, 133,73, 135.63, 140.78, 144.41, 146.77, 149.18, 151.55 corresponds to –CH3, C3, C4, -OCH3, C2, C2’, C7, C5’, C6, C10, C6’, C5, C13, C15, C12, C16, C14, C9, C1’, C11, C4’, C3’, C8 carbon atoms respectively. The mass spectrum of 4g was recorded as additional evidence to authenticate the structure assign to compound 4g. The compound 4g exhibited M+1 peak at m/z = 398. From all these spectral evidences the structure of 4g has been confirmed. Similarly structures of all other derivatives were established and presented in an experimental section.
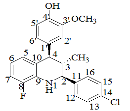
4-(2-(4-chlorophenyl)-8-fluoro-3-methyl-1,2,3,4-tetrahydroquinolin-4-yl)-2-methoxy-phenol(4g)
The stereochemical relationship between C2, C3 and C4 substituents was determined using 1H NMR spectrum. The 1H NMR spectral analysis of compound 4g shows the appearance of three doublets assignable to the protons of C2-H (δ = 3.71, J = 10.8 Hz), C4-H (δ = 4.10, J = 9.9 Hz), and C3-CH3 (δ = 0.58, J = 6.6 Hz). These 1H NMR coupling constants indicated that the C2-H and C4-H are diaxial to each other (Structure 2, fig. 2).
Thus the aryl groups on C-2 and C-4 are both pseudo-equatorial and hence they are cis to each other (Structure 1, fig. 2) [41-43]. Similarly the stereochemical relations of all other compounds were established.
Fig. 2: 4-(2-(4-chlorophenyl)-8-fluoro-3-methyl-1,2,3,4-tetrahydroquinolin-4-yl)-2-methoxy-phenol(4g)
In silico pharmacophore analysis of target protein based on lead molecule activity
The microbial, cancer, retinoic acid receptor, inflammatory, cholesterol ester transferases and parasitic protein receptor structures were directly used for molecular docking. The 3D x-ray crystal structure of analgesic and inflammatory proteins such as 4EJ4 has 3.40 Å resolutions contain signaling protein of opioid receptor has been a excellent target for analgesic and inflammatory disease [44]. Another protein such as Human protein farnesyltransferase complexes with L-778,123 and FPP acts as anticancer, the crystal structures of this protein is 1S63 with 1.90Å. The protein FTase inhibitors of cancer are significant target for development anticancer and antimalarial therapeutics.
Another protein such as assays of retinoid-like receptors (PDB ID: 1C4K, 1DSZ) activates the retinoic acid receptor on ornithine decarboxylase enzyme helps in lactobacillus bacterial growth and disease progression. The correlation between retinoic acid and ornithine decarboxylase shows decrease in cell proliferation and helps for antimicrobial activity within retinal cells [45, 46]. Structural insight of tetrahydroquinolines resistant ornithine decarboxylase from Entamoeba histolytica shows antiinfectious diseases (PDBID: 4AIB) [47].
Another protein such as Cholesteryl ester transfer protein (CETP) (PDBID: 2OBD) [48] shuttles various lipids between lipoproteins, resulting in the net transfer of Cholesteryl esters from atheroprotective, high-density lipoproteins (HDL) to atherogenic, lower-density species. Inhibition of CETP raises HDL cholesterol and may potentially be used to treat cardiovascular disease [49].
The selected protein structures are validated using SAVS. Thus, stereo-chemical activity and quality were presented in table 2. The resultant overall modeled structures are potentially used for rigid docking against 2-methoxy-4-(3-methyl-2-phenyl-1,2,3,4-tetra hydroquinolin-4-yl)phenol (4a-i) [50].
Table 2: Geometry optimization of 3D modeled protein using the Swiss PDB viewer and the resultant quality was predicted using SAVS
| Proteins | Procheck | Overall Quality factor | RMSD | Q-score | Average Z-score | SDM | Ramachandran Plot |
| 1S63 | 100% | 100 | 0.1 | 0.702 | -0.664 | 0.85 | 96.3% |
| 1C4K | 91.36% | 86.533 | 0.7 | 0.654 | -1.202 | 0.07 | 87.9% |
| 1DSZ | 95.63% | 100% | 1.6 | 0.694 | -0.782 | 2.77 | 90.3% |
| 4AIB | 96.47 | 83.851 | 1.9 | 0.626 | -1.683 | 0.67 | 88.9% |
| 4EJ4 | 62.98 | 96.172 | 0.9 | 0.567 | -2.372 | -3.96 | 91.6% |
| 2OBD | 86.26 | 96.983 | 0.3 | 0.599 | -1.993 | -0.83 | 90.9% |
The Quality assessment of modeled proteins Q-score ranges from zero to one where 1 represented the identical structures and 0 represented the dissimilar structure, Z-score is to identify the protein fold from native structure and ranges from 0 to 1 (0-native protein model, 1 is poor structure that is not used for model). SDM is ranges from 0 to 1 (0 is highly significant with the native structure, 1 is less significant has less model) RMSD shows the significant difference of target and template modeling.
The biological property of all modeled protein structures are used to predict ligand binding and active site amino acids using CastP. The amino acids involved in dimerization with different disease shows strong structural insight into its mechanism of drug interaction. The active site amino acids and the surface area were listed in table 3. The surface energy of active site amino acids that shows minimized free energy was calculated from electrostatic and Vander-Waals interactions between residues of complex proteins.
Table 3: Active site and ligand binding site prediction using Q-site Finder
| Protein ID | Active site amino acids | Surface Area | Surface volume |
| 1S63 | Gln233, Asn234, Trp235, TYR241, Asn269, Ser272, Gln285, Asp286, Ala330, Gly337, | 635.5 | 810.3 |
| 1C4K | Ser198, Ser199, Asn202, Sis223, Gln288, Gly295, Asn316, Ala318, Ser352, His354, Lys355 | 721.4 | 1990.3 |
| 1DSZ | Cys1171, Cys1177, Cys1187, Cys1190 | 579.3 | 941.4 |
| 4AIB | Arg51, Cys53, Lys74, Glu94, Asp95, Ile96, Thr97, His118, Met140, Tyr218, Leu219, Ile255 | 1049.4 | 715.7 |
| 4EJ4 | Asp128, Tyr129, Met132, Lys214, Val217, Trp274, Ile277, Val281, Trp284, Leu300, Ile304, Tyr308 | 1526.3 | 3133.6 |
| 2OBD | Asn296, Leu397, Thr398, Glu399, Ser401, Ser402, Glu403, | 3303 | 5519 |
Pharmaco Kinetics properties
In silico screening ADMET (Absorption, Distribution, Metabolism, Excretion and Toxicity) profiles
There are many compounds with poor bioavailability shows less effective against disease. To solve this problem, predicting bioavailability properties will be great advantage for drug development. Hence using computer based methods like ADMET and SAR tools the molecular descriptors and drug likeliness properties was studied.
The pharmacokinetic properties are represented in table 5. The coefficient of blood/brain barrier penetration (logB/B) was computed and access with central nervous system (CNS). The CNS activity was computed on -2 (inactive) to +2 (active) scales which show all the molecules are displayed within acceptable range.
The interpretation of test compounds with references shows that the compounds 4b, 4d, 4e, 4f, 4g, 4h and 4i were in good acceptable range and hence, they can be used to make an oral absorption and transport proteins and metabolizing enzymes and maintain homeostatic condition of CNS by separating blood/brain barrier. The intestinal absorption (logHIA) and Caco-2 cell permeability (PCaco-2) within the range of -2 poor absorption and +2 more absorption the compounds are more permeable in intestine and helps for good transport of drug metabolic compounds. It was noticed that the reference molecules enhance the bioavailability properties that leads to less toxic effects against the target protein. The functional groups of compounds such as Br, Cl, F, Me, -O-CH2-O- had more logP values with partial co-efficient of drug has greatest retention with in human intestine and also has string involvement in drug metabolism.
The logPGI (substrate) and non-inhibitors has drug-drug interaction within tissue that transforms xenobiotics of vigorous reduction of drug absorption and released more bile (liver) and urine (kidney) [45].
The reference range of -5 (poor) to +1 (good) and substrate inhibitor from 0 to 1 in which the reference and test compounds (4a-i) shows good activity with human intestinal absorption and metabolism. The aqueous solubility of compounds lies with range of 0 (poor) to 2 (good), showed that all the molecules had good solubility and logPapp stated that butein and butin had good permeability on lipid absorption and metabolism. While the reference compounds were came within acceptable range and all test compounds also have acceptable range (Table 4).
From the overall results it was predicted that test compounds have good drug like, lead like and fragment like properties which are strongly accepts for pharmacokinetic and toxicity properties (fig. 2a-g).
Table 4: ADME and pharmacological parameters prediction for the ligands 4a-i using admet SAR toolbox
| Ligand | PlogBBa | logHIAc | PCacob | logpGI (substrate)d | logpGI (non-Inhibitor)e | PlogSf | logpappg |
| 4a | 0.5847 | 0.9514 | 0.5955 | 0.6024 | 0.8148 | -3.6508 | 1.0260 |
| 4b | 0.8939 | 0.9941 | 0.7395 | 0.5160 | 0.8299 | -4.5040 | 1.5530 |
| 4c | 0.5486 | 0.9585 | 0.5754 | 0.6146 | 0.8822 | -4.3697 | 1.0631 |
| 4d | 0.9173 | 0.9972 | 0.7179 | 0.5156 | 0.7688 | -4.3746 | 1.5189 |
| 4e | 0.8939 | 0.9941 | 0.7395 | 0.5160 | 0.8299 | -4.5040 | 1.5530 |
| 4f | 0.8939 | 0.9941 | 0.7395 | 0.5160 | 0.8299 | -4.5040 | 1.5530 |
| 4g | 0.9173 | 0.9972 | 0.7179 | 0.5156 | 0.7688 | -4.3746 | 1.5189 |
| 4h | 0.8880 | 0.9959 | 0.7076 | 0.5751 | 0.7950 | -4.6033 | 1.5185 |
| 4i | 0.8948 | 0.9935 | 0.7387 | 0.5225 | 0.7513 | -4.5805 | 1.6586 |
| Indomethacin | 0.9381 | 0.9509 | 0.5857 | 0.6360 | 0.9313 | -4.6825 | 0.6287 |
| camptothecin | 0.6345 | 0.8410 | 0.5555 | 0.6039 | 0.7852 | -3.0369 | 1.1839 |
| Tetracycline | 0.9841 | 0.8006 | 0.7439 | 0.7910 | 0.8025 | -3.0575 | 0.7655 |
| Tretinoin | 0.9311 | 0.9925 | 0.7603 | 0.6144 | 0.8912 | -3.0895 | 1.7734 |
| Levostatin | 0.9287 | 0.9452 | 0.5484 | 0.7861 | 0.7046 | -5.9475 | 0.8127 |
| Metronidazole | 0.9297 | 0.9805 | 0.5365 | 0.5141 | 0.8954 | -1.3229 | 0.8033 |
aPredicted blood/brain barrier partition coefficient (1-high penetration, 2- medium penetration and 3- Low penetration). bPredicted Caco-2 cell permeability in nm/s (acceptable range: -1 is poor, 1is great). cPredicted Human intestinal absorption in nm/s (acceptable range: 0 poor, >1 great). dPredicted P-glycoprotein substrate in nm/s (acceptable range of -5 is poor, 1 is great). ePredicted P-glycoprotein inhibitor in nm/s (accepted range: 0 to 1), fPredicted aqueous solubility, (Concern value is 0-2 highly soluble). gPredicted probability of Caco-2 cell permeability in cm/s (Concern value is -1 to 1).
![]() |
![]() |
| 2a | 2b |
![]() |
![]() |
| 2c | 2d |
![]() |
![]() |
| 2e | 2f |
![]() |
|
| 2g |
Fig. 2a-g: ADME and Pharmacological parameters of 2-methoxy-4-(3-methyl-2-phenyl-1,2,3,4-tetrahydroquinolin-4-yl)phenols (4a-i) using isoeugenol through admet SAR tool box against reference drugs
Table 5: LD50 and probability of health effects of 2-methoxy-4-(3-methyl-2-phenyl-1,2,3,4-tetrahydroquinolin-4-yl)phenols (4a-i) using ACD/ I-Lab 2.0
| ADME-TOX Parameters | 4a | 4b | 4c | 4d | 4e | 4f | 4g | 4h | 4i |
| Intraperitoneala | 340 (0.40) | 280 (0.18) | 380 (0.46) | 350 (0.16) | 260 (0.14) | 230 (0.1) | 140 (0.24) | 230 (0.15) | 160 (0.26) |
| Orala | 390 (0.27) | 630 (0.23) | 390 (0.28) | 520 (0.23) | 430 (0.18) | 420 (0.25) | 340 (0.15) | 690 (0.28) | 460 (0.19) |
| Intravenousa | 45 (0.37) | 25 (0.22) | 47 (0.39) | 26 (0.25) | 26 (0.2) | 23 (0.39) | 16 (0.23) | 33 (0.14) | 18 (0.02) |
| Subcutaneousa | 120 (0.22) | 130 (0.26) | 86 (0.15) | 120 (0.37) | 100 (0.34) | 61 (0.15) | 110 (0.18) | 140 (0.15) | 82 (0.16) |
| Blood effectb | 0.87 | 0.33 | 0.94 | 0.44 | 0.43 | 0.34 | 0.35 | 0.25 | 0.59 |
Cardiovascular system effectb |
0.68 | 0.71 | 0.69 | 0.76 | 0.73 | 0.73 | 0.76 | 0.73 | 0.67 |
Gastrointestinal system effectb |
1 | 0.65 | 1 | 0.98 | 0.98 | 0.98 | 0.98 | 0.98 | 0.98 |
| Kidney effectb | 0.71 | 0.49 | 0.78 | 0.74 | 0.54 | 0.54 | 0.7 | 0.59 | 0.59 |
| Liver effectb | 0.95 | 0.45 | 0.96 | 0.49 | 0.49 | 0.49 | 0.49 | 0.47 | 0.47 |
| Lung effectb | 0.91 | 0.44 | 0.91 | 0.93 | 0.92 | 0.92 | 0.93 | 0.92 | 0.91 |
aEstimated LD50-mouse value in mg/kg after intraperitoneal, oral, intravenous and subcutaneous administration, bEstimated probability of blood, gastrointestinal system, kidney, liver and lung effect at therapeutic dose range of compounds 4a-i. The drugs with moderate effect on reliability index (>0.5). The drugs with border line effect on reliability index (>0.3, <0.5).
The toxicity of the 2-methoxy-4-(3-methyl-2-phenyl-1,2,3,4-tetrahydroquinolin-4-yl)Phenols (4a-i) were predicted based on lethal dosages and functional ranges in different tissues. The LD50 mouse and probability of health effects were predicted using ACD/ I-Lab 2.0 (guest).
The toxicity of selected compounds was listed in table 5. The LD50 of potential compounds detects the cumulative potential of acute toxicity that administered through oral, intraperitonial, intravenous and subcutaneous on mouse models. The comparative analysis of reference compounds with test compounds on oral, subcutaneous, intraperitonial and intravenous is lowers when compared to reference molecules.
The toxicity results suggests that the compounds 4a-i have less toxic effect in internal tissues and no side effect was observed in the tested dosages (Table 5).
Further the toxicity was tested with different organs to check adverse effects of organs and their systems (blood, cardiovascular system, gastrointestinal system, kidneys, liver, and lungs) within the therapeutic dose range. The probability of health effects revealed that the 2-methoxy-4-(3-methyl-2-phenyl-1,2,3,4-tetra hydro quinolin-4-yl)Phenols (4a-i) had very less toxic effect on blood, cardiovascular, gastrointestinal, kidney, liver and lung respectively.
Molecular docking studies of synthesized 2-methoxy-4-(3-methyl-2-phenyl-1,2,3,4-tetrahydroquinolin-4-yl)phenols (4a-i)
The docking simulation technique was considered as direct study on 3D structures of known functional characteristic proteins, which is a detailed study of intermolecular interaction with the ligands. The different functional characteristic of inflammatory, malarial, microbial, parasitic, tumor and retinoic acid receptor (RARβ) proteins was performed to predict active sites of 4EJ4, 1S63, 1DSZ, 2ON3, 1C4K, 4AIB and 2OBD through Auto dock program. The experimental values were observed based on hydrogen bonds, inhibitory constant and docking scores of compounds 4a-i as predicted in table 6.
Molecular docking of compounds 4a-i with inflammatory protein using reference drug Indomethacin
The reference molecule such as Indomethacin was strongly interacting with inflammatory protein. The 3D protein structure with reference drug has 3 hydrogen bonds with active site amino acids Gln203 and Tyr262. The protein structure shows strong interactions with test drugs 4c and 4f with active site amino acids Arg 210, His107, Ala197, Thr198 and Arg195 of binding energy -16.0728 kcal/mol and -56.5169 kcal/mol respectively (fig. 3a). The less toxicity and LD50 of pharmacokinetics of anti-inflammatory property suggest the synthesized ligands 4a-i could be a potential drug for the treatment of inflammatory diseases (Table 6a).
Table 6a: Molecular docking results of Indomethacin and compounds 4a-i with inflammatory protein
| Ligands | H Bonds | Docking Score | IC50 | Amino acids |
| 4a | 3 | -16.7112 | 85.98 | Ser266, Lys210 |
| 4b | 3 | -14.8443 | 51.98 | His107, Arg170 |
| 4c | 4 | -16.0728 | 83.11 | Arg210, His107 |
| 4d | 3 | -33.352 | 51.14 | Tyr183, Tyr184, Arg170 |
| 4e | 3 | -23.5806 | 50.24 | Ser209, Tyr166 |
| 4f | 4 | -56.5169 | 41.11 | Ala197, Thr198, Arg195 |
| 4g | 2 | -30.8435 | 57.66 | Arg195, Arg175 |
| 4h | 2 | -14.3566 | 58.09 | Ser291 |
| 4i | 3 | -43.6456 | 47.78 | Thr198, Arg195 |
| Indomethacin | 3 | -13.9304 | 19.181 | Gln203, tyr262 |

Fig. 3a: Molecular docking images of Indomethacin and compounds 4c with inflammatory protein
Molecular docking of compounds 4a-i with cancer protein using reference drug Camptothecin
The reference drug such as Camptothecin strongly interacts with cancer protein shows 3 hydrogen bonds with interaction energy of -13.5327 kcal/mol within active site amino acids of Glu107 and Arg112. The compounds 4b and 4f binds with energy of -8.99845 and -5.70191 kcal/mol (fig. 3b) hence are more effective against tumor causing proteins than remaining derivatives (Table 6b).
Molecular docking of compounds 4a-i with retinoic acid protein using reference drug Tretinoin
The retinoic protein is interacts with existing reference drug Tretinoin form 3 hydrogen bonds within active site amino acids Asn1185 and Arg1186, the interaction energy shows -7.84425 kcal/mol.

Fig. 3b: Molecular docking images of Camptothecin and compound 4b with cancer protein
The compounds such as 4a have 7 hydrogen bonds with strong interactions within active site amino acids Asn1185 and Arg1309 with interaction energy of -47.423 kcal/mol (fig. 3c). The other compounds such as 4c, 4g and 4h have 4 hydrogen bonds were also shows good binding energy between protein and ligands. Thus, overall results shows that the 2-methoxy-4-(3-methyl-2-phenyl-1,2,3,4-tetrahydroquinolin-4-yl)phenols (4a-i) could be a good target drugs against retinoic disorders (Table 6c).
Molecular docking of compounds 4a-i with microbial protein using reference drug Tetracycline
The microbial protein is interacts with tetracycline drug has 8 hydrogen bonds of energy -19.6519 kcal/mol within active site amino acids Glu532, Pro531, Arg525, Ser534 and Tyr292 (fig. 3d). The ligand 4g shows only 5 hydrogen bonds of energy -32.9844kcal/mol within active site amino acids Arg155, Gln124, Leu122. The overall results suggest that the reference drug and 4g compound only exhibits strong interaction with microbial protein (Table 6d).

Fig. 3c: Molecular docking images of Tretinoin and compound 4a, 4c with retinoic acid protein
Table 6b: Molecular docking results of Camptothecin and compounds 4a-i with cancer protein
| Ligands | H Bonds | Docking Score | IC50 | Amino acids |
| 4a | 3 | -10.7544 | 114.816 | Trp228, Ser190, Arg173 |
| 4b | 5 | -8.99845 | 73.7759 | Asp286, Gln285, Gly282 |
| 4c | 2 | -18.9507 | 88.8607 | Phe55, Lys118 |
| 4d | 4 | -8.21431 | 106.005 | Asp147, Lys146, Glu151 |
| 4e | 2 | -20.0888 | 113.086 | Arg32 |
| 4f | 5 | -5.70191 | 87.2604 | Lys346, Tyr24, Glu33, Thr350, Glu29 |
| 4g | 4 | -6.11935 | 123. | Arg231, Trp228, Asp188, Ser190 |
| 4h | 2 | -13.3528 | 80.0437 | Lys146, Arg121 |
| 4i | 2 | -5.25854 | 141.274 | Asp188,Arg173 |
| Camptothecin | 4 | -13.5327 | 82.5153 | Glu107, Arg112 |
Table 6c: Molecular docking results of Tretinoin and compounds 4a-i with retinoic acid protein
| Ligands | H Bonds | Docking Score | IC50 | Amino acids |
| 4a | 7 | -47.423 | 7989.09 | Asn1185, Arg1309 |
| 4b | 2 | -14.7875 | 4997.88 | Gln1164, Tyr1147 |
| 4c | 4 | -29.1262 | 8018.13 | Glu1253, Ser1243 |
| 4d | 2 | -45.9827 | 4942.04 | Asn1185 |
| 4e | 3 | -25.4405 | 4984.89 | Ser1242, Arg1241 |
| 4f | 3 | -22.5136 | 4991.51 | Ser1243, Glu1253 |
| 4g | 4 | -32.2036 | 4996.67 | Lys1194, Ile1179 |
| 4h | 4 | -17.4822 | 4996.1 | Ser1162, Tyr1169 |
| 4i | 2 | -67.9766 | 5015.48 | Arg1264, Gln1306 |
| Tretinoin | 3 | -7.84429 | -89.150 | Asn1185, Arg1186 |
Table 6d: Molecular docking results of Tetracycline and compounds 4a-i with microbial protein
| Ligands | H Bonds | Docking Score | IC50 | Amino acids |
| 4a | 2 | -17.4333 | 8025.21 | Tyr240, Arg618 |
| 4b | 3 | -24.4834 | 5001.5 | Trp319, Gln288 |
| 4c | 2 | -18.517 | 7997.09 | Tyr292 |
| 4d | 3 | -16.5024 | 4982.45 | Lys270, Gln624 |
| 4e | 3 | -29.5001 | 4996.25 | Trp319, Lys355 |
| 4f | 3 | -40.9468 | 5010.31 | Thr518, Ser534 |
| 4g | 5 | -32.9844 | 4945.83 | Arg155, Gln124, Leu122 |
| 4h | 1 | -25.4518 | 5009.09 | Arg418 |
| 4i | 2 | -18.9203 | 5001.21 | Gln131, Arg155 |
| Tetracycline | 8 | -19.6519 | 140.114 | Glu532, Pro531, Arg525, Ser534, Tyr292, |

Fig. 3d: Molecular docking images of Tretinoin and compounds 4g with microbial protein
Table 6e: Molecular docking results of Lovastatin and compounds 4a-i with cholesterol esterase protein
| Ligands | H Bonds | Docking Score | IC50 | Amino acids |
| 4a | 2 | -7.26397 | 108.778 | Cys325, Met284 |
| 4b | 2 | -7.96008 | 121.093 | Val323, Ser342 |
| 4c | 3 | -8.29829 | 20.1631 | Ser342, Cys325 |
| 4d | 3 | -10.1056 | 121.364 | Cys325 |
| 4e | 1 | -7.53544 | 85.8409 | Ile205 |
| 4f | 2 | -7.63279 | 84.1989 | Ser342, Thr369 |
| 4g | 2 | -7.08915 | 85.8348 | Thr369, Ser342 |
| 4h | 2 | -9.28919 | 79.4015 | Arg282, Asp208S |
| 4i | 3 | -9.07913 | -110.09 | Val232, Ser342, |
| Lovastatin | 1 | -20.9465 | 111.037 | Arg282 |

Fig. 3e: Molecular docking images of Lovastatin and compounds 4c with cholesterol esterase protein
Molecular docking of compounds 4a-i with cholesterol ester transferases using reference drug Lovastatin
The Lovastatin shows weekly interaction with cholesterol esterase protein with 1 hydrogen bond. However, the compounds 4c, 4d and 4i show 3 hydrogen bonds within active site amino acids of energy -8.29829 kcal/mol (fig. 3e).
Hence the result shows that the test compounds are moderately active against cholesterol esterase protein receptor (Table 6e).
Molecular docking of compounds 4a-i with parasitic protein using reference drug Metronidazole
The Antiparasitic protein is strongly interacts with Metronidazole compound with active site amino acids of 5 hydrogen bonds of energy -11.4869 kcal/mol (fig. 3f). The all compounds 4a-i shows strong interaction with parasitic protein. The overall results show that the 2-methoxy-4-(3-methyl-2-phenyl-1,2,3,4-tetrahydro quinolin-4-yl)Phenols (4a-i) are found to be the good activators of antiparasitic properties (Table 6f).
Table 6f: Molecular Docking results of Metronidazole and compounds 4a-i with parasitic protein
| Ligands | H Bonds | Docking Score | IC50 | Amino acids |
| 4a | 6 | -20.7946 | 101.494 | Phe226, Gly259, Arg260 |
| 4b | 4 | -12.1015 | 92.9308 | Arg142, Gln100, Thr101 |
| 4c | 7 | -1.75917 | 125.134 | Ser188, Phe266, Tyr261, Gly259, Arg260 |
| 4d | 4 | -9.17663 | 84.5873 | Glu257, Glu259, Arg260, Ser188 |
| 4e | 5 | -3.89349 | 113.675 | Tyr363, Lys157, His185, Arg142 |
| 4f | 3 | -9.83094 | 78.4661 | Ser5, Asn359 |
| 4g | 3 | -8.00873 | 68.3715 | Gly225, Phe226 |
| 4h | 4 | -16.2947 | 109.784 | Asp76, Ser99, Tyr363 |
| 4i | 3 | -12.1383 | 88.9163 | Arg142, Lys157, Tyr363 |
| Metronidazole | 5 | -11.4869 | 134.649 | Arg260, Gln228, Ser188, Gly259, Tyr363 |

Fig. 3f: Molecular docking images of Metronidazole and compounds 4c with parasitic protein
CONCLUSION
A straight forward, multi component, high yielding, eco friendly, one pot synthesis of novel 2-methoxy-4-(3-methyl-2-phenyl-1,2,3,4-tetrahydroquinolin-4-yl)phenols was described via imino Diels-Alder reaction between anilines, benzaldehydes and trans-isoeugenol using acetic acid as catalyst and solvent. This procedure was very simple in which one can couple trans-isoeugenol into tetrahydroquinoline moiety which resembles the structures of many naturally occurring bioactive tetrahydroquinolines.
The toxicity results suggests that the compounds 4a-i have less toxic effect in internal tissues and no side effect was observed in the test dosages. The docking analysis shows that the compounds 4c and 4f were strongly interacts with active site amino acids Arg210, His107, Ala197, Thr198 and Arg195 of binding energy -16.0728 kcal/mol and -56.5169 kcal/mol with inflammatory protein PDB ID: 4EJ4 for anti-inflammatory properties. The compound 4b and 4f binds with cancer protein PDB ID: 1S63 within active site that shows -8.99845 and -5.70191 kcal/mol of energy and hence these compounds are more effective for antitumor properties. The compound 4a shows 7 hydrogen bonds with retinoic acid protein PDB ID: 1DSZ within active site amino acids Asn1185 and Arg1309 with interaction energy of -47.423 kcal/mol compared to remaining compounds. The compound 4g shows 5 hydrogen bonds with energy -32.9844 kcal/mol within active site amino acids Arg155, Gln124, Leu122 with microbial protein within 1C4K. The compounds 4c, 4d and 4i exhibits 3 hydrogen bonds within active site amino acids of energy -8.29829 kcal/mol, with cholesterol esterase protein PDB ID: 2OBD. Whereas all 4a-i compounds shows strong interaction with parasitic protein PDB ID: 4AIB. In conclusion since all the compounds 4a, 4c, 4f, 4g and 4h were found to exhibits multifunctional activities they can be considered for further clinical trials to prove them as lead molecules to act against microbial, cancer, retinoic acid receptor, inflammatory, cholesterol ester transferases and parasitic diseases.
ACKNOWLEDGMENT
The authors thank Department of Post Graduate Studies and Research in Chemistry, Kuvempu University for providing laboratory facilities and IISc Bangalore for providing spectral data.
CONFLICT OF INTERESTS
Declared None
REFERENCES