Aversi-Rational Ltd, Quality Control Laboratory, 14 Chirnakhuli street, 0198 Tbilisi, Georgia
Email: rubashvili@yahoo.fr
Received: 02 Feb 2015 Revised and Accepted: 28 Feb 2015
ABSTRACT
Objective: The validation of HPLC methods for residual estimation of pyrantel and mebendazole in swab samples from equipment surfaces after manufacturing of Vicazid uncoated tablets and the demonstration of the efficiency of the cleaning procedure.
Methods: For pyrantel residues: Column-Luna Silica 250×4.6 mm, 5 µm; Mobile phase-a mixture of acetonitrile, acetic acid, diethyl amine and water (92.8:3:1.2:3); The flow rate-1.0 ml/min; The detector wavelength-288 nm; The injection volume-20 μl. For mebendazole residues: Column-Luna C18(2) 150×4.6 mm, 5 µm; Mobile phase-a mixture of methanol and 0.05 M monobasic potassium phosphate solution (60:40) pH 5.5; The flow rate-1.5 ml/min; The detector wavelength-247 nm; The injection volume-15 μl.
Results: The calibration curve is linear (the correlation coefficient>0.999) over a concentration range 0.04-80μg/ml (pyrantel pamoate) and 0.005-50μg/ml (mebendazole); The limit of detection and limit of quantitation-0.04 (pyrantel pamoate)/0.005 (mebendazole) and 0.08 (pyrantel pamoate)/0.0125μg/ml (mebendazole), respectively; The mean recovery is>90 %; No interference from swab solution was observed and samples were stable for 24 h. The determined amounts (varying 0.02–9.74 µg pyrantel residues and 0.09–61.19 µg mebendazole) are well below the calculated limit of contamination.
Conclusion: The HPLC methods with appropriate swab wipe procedure were validated and the obtained results confirm that the cleaning procedures used are able to remove residues of both active ingredients from equipment surfaces.
Keywords: Residual estimation, Swab sampling, Cleaning validation, HPLC.
INTRODUCTION
In pharmaceutical manufacturing industries, it is well established that equipment and production areas must be cleaned after each manufacturing process and regulatory authorities recommend validation of the procedure used. Cleaning validation, is a critical analytical responsibility of the quality system in the pharmaceutical industry and the process of ensuring the cleaning procedure which effectively removes the residues from the manufacturing equipment and facilities below a predetermined level. This is necessary not only to ensure the quality of the next batch of different products but also to prevent cross-contamination; it is also a FDA (Food and Drug Administration)/GMP (Good Manufacturing Practice) requirement. Cleaning validation consists of two separate activities: development and validation of the cleaning procedure used to remove the drug from the manufacturing equipment surfaces and development and validation of the methods used to quantify the residues on the surfaces of manufacturing equipment.
Residues have a significant cross-contamination potential. Residual estimation requires development of selective and sensitive methods capable of quantitative estimation of traces remaining over the surface of manufacturing equipment after cleaning procedure. It involves identification of numerous sampling points in the manufacturing lane to demonstrate a complete removal of residues. The sampling, therefore a very important parameter, since the conclusion of the cleaning procedure is based on the sample results. According to the FDA guide, two different methods of sampling are generally admitted for performing a cleaning control: the direct surface sampling, using the swabbing technique and the indirect sampling based on the analysis of solutions used for rinsing the equipment.
The acceptance limit (AL) for residues in the equipment is not established in the current regulations. According to the FDA, the limit should be based on logical criteria, involving the risk associated with residues of determined products. Calculation of an acceptable limit of residues and a maximum allowable carryover (MAC) for an active pharmaceutical ingredient (API) in the production equipment should be based on therapeutic doses, toxicity and a general limit (10 ppm). Several mathematical formulas were proposed to establish the acceptable residual limit [1-7].
Vicazid uncoated tablets is a combination of pyrantel pamoate equivalent to pyrantel100 mg and mebendazole 150 mg which is a broad-spectrum anthelmintic. The combination covers a wide spectrum of common parasitic helminthes and exerts a pronounced vermicidal action. This medication is indicated in the treatment of threadworm, roundworm, whipworm, hook-worm, pinworm, tapeworm and mixed helminthic infestations.
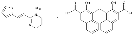
Mebendazole (C16H13N3O3)-Methyl 5-benzoyl-2-benz imidazole carbamate (CAS registry number: 31431-39-7) is white to slightly yellow powder, almost odorless, melts at about 290 °C. Freely soluble in formic acid, practically insoluble in water, in diluted solutions of mineral acids, in alcohol, in ether and in chloroform [8, 9].

Fig. 1: It shows the structural formula of mebendazole
Pyrantel pamoate (C11H14N2S. C23H16O6)-(E)-1,4,5,6-Tetrahydro-1-methyl-2-[2-(2-thienyl)vinyl]pyrimidine 4,4'-methylenebis[3-hydroxy-2-naphthoate] (1:1) (CAS registry number: 22204-24-6) is yellow to tan solid. Soluble in dimethyl sulfoxide, slightly soluble in dimethyl formamide, practically insoluble in water and methanol [10].

Fig. 2: It shows the structural formula of pyrantel pamoate
The aim of this study was to demonstrate the applicability of HPLC methods for determination the residues of pyrantel and mebendazole in cleaning control swab samples from manufacturing surfaces after production (primary packaging) of Vicazid uncoated tablets and the efficiency of the cleaning procedure. This product was evaluated as the worst case. Both APIs are practically insoluble in water and very adherent to surfaces. The analytical methods were validated with respect to the system suitability test, linearity-range, robustness, limit of detection (LOD) and quantitation (LOQ). The stability of solutions of pyrantel pamoate/mebendazole was also studied. These studies were performed in accordance with established guidelines [11-13]. Also, the swabbing procedure was optimized in order to obtain a suitable recovery of both active ingredients.
MATERIALS AND METHODS
Chemicals, reagents and apparatus<
The certified reference standards of pyrantel pamoate and mebendazole were supplied by USP. The HPLC grade acetonitrile, methanol and analytical grade acetic acid, diethyl amine, monobasic potassium phosphate, ortho-phosphoric acid and formic acid were purchased from Sigma-Aldrich (Germany). The HPLC grade water was prepared by using Milli Q adventage A10 purification system (Millipore, France). Polyester swabs (3×2.5×10 mm) for sampling were purchased from ITW Texwipe (USA). Cleaning procedure was performed using Microbac Forte 1 % solution as a disinfectant/detergent which was purchased from Bode Chemie (Germany).
The chromatography analysis was performed using Ag 1260 Infinity (AG Technologies, USA). The output signal was monitored and processed using Chemstation software. The pH of the solutions was measured by a pH meter S40 Sevenmulti (Mettler-Toledo, Switzerland). SONOREX™ Digital 102P Ultrasonic bath DK 102 (Germany), Shaker 3056 IKA SH 501 DIGITAL Werke (Germany), Analytical balance CPA 232S Sartorius (Germany), GFL water bath (Germany) were used for sample preparation. All the measuring equipment was qualified.
Chromatographic conditions
For determination of pyrantel residues
The method was developed using a Luna Silica 250×4.6 mm, 5 µm column with an isocratic mobile phase containing a mixture of acetonitrile, acetic acid, diethyl amine and water (92.8:3:1.2:3 v/v). The mobile phase was filtered through Durapore PVDF, 0.45 µm membrane filters and degassed. The flow rate of the mobile phase was 1.0 ml/min. The column temperature was maintained at 25 °C and the eluted compound was monitored at the wavelength of 288 nm. The sample injection volume was 20 μl [10].
For determination of mebendazole residues
The method was developed using a Luna C18(2) 150×4.6 mm, 5 µm column with an isocratic mobile phase containing a mixture of methanol and 0.05 M monobasic potassium phosphate solution (60:40 v/v), adjusted with 0.1 M phosphoric acid solution or 1 M sodium hydroxide solution to a pH of 5.5. The mobile phase was filtered through Durapore PVDF, 0.45 µm membrane filters and degassed. The flow rate of the mobile phase was 1.5 ml/min. The column temperature was maintained at 30 °C and the eluted compound was monitored at the wavelength of 247 nm. The sample injection volume was 15 μl [9].
Standard solution preparation
For determination of pyrantel residues
40 mg of pyrantel pamoate standard was weighed, transferred accurately to 50 ml volumetric flasks and was dissolved in 30 ml of mobile phase, diluted to volume with the mobile phase, mixed well. Then it was filtered through Durapore PVDF 0.45μm membrane filter, discarding the first 5 ml of the filtrate (Stock solution). 1 ml of this solution was transferred to a 10 ml volumetric flask, diluted to volume with the mobile phase and was mixed well (0.08 mg/ml).
For determination of mebendazole residues
25 mg of mebendazole standard was weighed, transferred accurately to 100 ml volumetric flask and was added 10 ml of formic acid, heated in a water bath at 50 °C for 15 minutes. It was shook for 5 minutes, added 90 ml of methanol and allowed to cool.
Then it was diluted with methanol to volume and was mixed. 5.0 ml of this solution was transferred to a 25 ml volumetric flask, diluted with mobile phase to volume, mixed and filtered through Durapore PVDF 0.45 μm membrane filter, discarding the first 5 ml of the filtrate (Stock solution). 1 ml of this solution was transferred to a 5 ml volumetric flask, diluted to volume with the mobile phase and mixed well (0.05 mg/ml).
Sample solution preparation (extraction procedure)
Rinse and swab sampling are two methods available to demonstrate cleaning validation. Swab technique is a preferred technique by FDA [14-19]. The swabbing process is a subjective manual process that involves physical interaction between the swab and the surface and thus may vary from operator to operator. So, a standardized motion protocol is required to establish reproducible recoveries. A swab was immersed in an extraction solution and folded diagonally. Excess solution was squeezed to avoid unnecessary dilution of drug. The surface was wiped horizontally, starting from outside toward the center. Fresh surface was exposed and repeatedly wiped to extract the maximum residue. Finally the swab was secured in a closed and labeled container for estimation.
It has been used swab sampling method. The selected surfaces (the worst case sampling places evaluated based on risk analysis using HACCP) of stainless steel of equipment (5 × 5 cm2) previously cleaned using disinfectant/detergent and dried. The surface was successively wiped with one swab moistened with extraction solution (mobile phase for pyrantel pamoate and formic acid-methanol mixture 1:45 v/v for mebendazole). The swabs were placed in the 5 ml screw-cap test tubes containing 1 ml (for pyrantel residues) and 0.5 ml (for mebendazole residues) extraction solution. Subsequently, the tubes were placed in an ultrasonic bath for 5 min and the solutions were analyzed by HPLC.
Recovery rate of swab sampling from stainless steel surfaces
In parallel with swab sampling of residues of both active ingredients, for the positive swab control, checking sampling procedure and determination of recovery(three individual determination) of swab sampling and analytical method combination, the selected surfaces of stainless steel (5 × 5 cm2) were sprayed with 100 µl of standard stock solution and the solvent was allowed to evaporate. Then swab sampling was performed according to swab wipe procedure as described in sample solution preparation.
The calculation formula of recovery, %:

Where, Au-Peak area of pyrantel/mebendazole obtained from swab sample solution; As-Peak area of pyrantel/mebendazole obtained from the standard solution.
Quantitative estimation of pyrantel/mebendazole residues
The calculation formula of the amount (mg) of pyrantel residues:

Where, Au-Peak area of pyrantel obtained from the chromatogram of swab sample solution; As-Peak area of pyrantel obtained from the chromatogram of standard solution; W–Mass of weighed pyrantel pamoate standard, mg; P-Purity of standard, % (Assay, %); 0.347-the ratio of the molecular weight of pyrantel to that of pyrantel pamoate.
The calculation formula of the amount (mg) of mebendazole residues:

Where, Au-Peak area of mebendazole obtained from the chromatogram of swab sample solution; As-Peak area of mebendazole obtained from the chromatogram of standard solution; W–Mass of weighed mebendazole standard, mg; P-Purity of standard, % (Assay, %).
Establishing cleaning limits
The acceptable limit for the drug residue must ensure the absence of cross-contamination for subsequent batches manufactured in the affected equipment. FDA's guidance for determining residue limits requires a logical, practical, achievable and verifiable determination practice [2-5].
The basic principle of cleaning validation is that the patient should not take more than 0.1% of the standard therapeutic dose (effective dose). The calculation formula is based on the dosage criteria [20, 21]:

Where, MAC is the maximum allowable carryover (mg), TD is the API minimal therapeutic dose of previous product (mg), SF is a safety factor (1/1000), BS is the smallest batch size of the subsequent product (mg) and LDD is the largest daily dose of the subsequent product (mg).
The acceptable limit for residues is expressed in mg/swab:

Where, AL is the acceptance limit (mg), As is the sampling area (cm2), Rec is the recovery rate of the sampling method and At is the total production line area (cm2)
Method validation
Specificity
p> The ability of this method to separate and accurately measure the peak of interest indicates the specificity of the method. The specificity of the method was checked by injecting standard solution, the background control and the negative swab control samples.Linearity and range
The linearity of an analytical method is its ability to elicit results that are directly or by a well-defined mathematical transformation, proportional to the concentration of the analyte in a sample within a given range.
From standard solution of pyrantel pamoate (0.08 mg/ml)/ mebendazole (0.05 mg/ml) working solutions were prepared at six different concentration levels ranging from 0.00004 mg/ml to 0.08 mg/ml (pyrantel pamoate)/from 0.000005 mg/ml to 0.05 mg/ml (mebendazole). Six replicate injections (n=6) were performed at each concentration of pyrantel pamoate/mebendazole. The linearity was checked by the correlation coefficient (acceptance criteria: >0.99), the square of correlation coefficient (acceptance criteria: >0.98), the relative standard deviation (RSD), % of peak areas (acceptance criteria: <2.0 %), the RSD, % of retention times (acceptance criteria: <1.0 %).
Limit of quantitation (LOQ) and Limit of detection (LOD)
The LOD is the smallest amount of the targeted substance that can be detected but not accurately quantified in the sample. The LOQ of method is the lowest amount of the targeted substance, which can be quantitatively determined under the experimental conditions prescribed with included inside the acceptance limits over the concentration range investigated. The signal-to-noise ratio (s/N) of method was adopted for the determination of the lower limit of quantitation. The limit of quantitation is estimated to be ten times the s/N ratio; the limit of detection is estimated to be three times of s/N ratio (acceptance criteria). The quantitation limit was achieved by injecting a series of possible dilute solutions of all components and the precision was established at the quantitation level. The RSD, % of peak areas should not be more than 10 % (acceptance criteria).
System suitability test
The system suitability parameters were measured to verify the chromatographic system performance. System suitability was checked by six replicate injections (n=6) of standard solution. Main parameters including: for pyrantel the RSD, % of peak areas (acceptance criteria:<2.0 %), the RSD, % of retention times (acceptance criteria:<1.0 %), the resolution between pamoic acid and pyrantel peaks (acceptance criteria:>8), the tailing factor (acceptance criteria:<1.3), the number of theoretical plates (acceptance criteria:>8000) and for mebendazole the RSD, % of peak areas (acceptance criteria:<2.0 %), the RSD, % of retention times (acceptance criteria:<1.0 %), the tailing factor (acceptance criteria: 0.8-1.3), the number of theoretical plates (acceptance criteria:>2000) were measured.
Robustness
The robustness test examines the effect that operational parameters have on the analysis results. For determination of a method’s robustness a number of method parameters, for example standard solution stability are varied within a realistic range and the quantitative influence of the variables is determined. If the influence of the parameter is within a previously specified tolerance, the parameter is said to be within the method’s robustness range. In this study, only one factor was evaluated which was standard solution stability. The standard solution stability was evaluated at room temperature during 24 hours. The stability of the solution was studied initially, after 6 and 24 hours against freshly prepared standard solution. The stability was checked using two standard solutions of each API and by the percentage difference between peak areas of standard solutions stored at room temperature and freshly prepared which should not be more than 3.0 % (acceptance criteria). Similarity factor between two standard solutions should be within 0.98-1.02 (acceptance criteria).
The influence of swab material
For study the influence of swab material (polyester) on the concentration of pyrantel/mebendazole residues in swab samples, standard solution and extracted swab solution added standard of the same concentration was injected. The influence was evaluated quantitatively by the calculated percentage difference between peak areas obtained from the standard solution and extracted swab solution added standard which should not be more than 3.0 % (acceptance criteria).
RESULTS AND DISCUSSION
Calculation of acceptance limits
Swab sampling of areas hardest to clean was done from equipment used in the manufacturing and residues were found in mg. The smallest batch sized subsequent products were selected for calculating the values of the maximal allowable carryover. The lowest obtained values of maximum allowable carryover of both APIs were used to calculate the acceptance limits. The lowest was obtained when 0.1 % dose limit criteria were used for the total equipment which was justified by the principle API at a concentration of 1/1000 of its lowest therapeutic dose will not produce any adverse effects. For residual estimation, the determined amount of pyrantel pamoate and mebendazole residues in swab sample solution should not be more than the AL (acceptance criteria). The results are shown in table 1.
Table 1: It shows the calculated maximum allowable carryover, in mg and acceptance limit, in mg/swab for three consecutive batches of Vicazid Tablets
Pyrantel |
|||||||||||
Equipment name |
MAC, mg |
Recovery, % |
AL, mg |
||||||||
Batch 01 |
Batch 02 |
Batch 03 |
Batch 01 |
Batch 02 |
Batch 03 |
Batch 01 |
Batch 02 |
Batch 03 |
|||
Deduster |
300.00 |
225.00 |
225.00 |
96.68 |
98.24 |
86.79 |
2.53 |
2.57 |
2.27 |
||
Container |
82.00 |
93.67 |
98.30 |
0.72 |
0.83 |
0.87 |
|||||
Blistering machine |
82.96 |
91.95 |
88.32 |
3.17 |
3.51 |
3.38 |
|||||
Mebendazole |
|||||||||||
Equipment name |
MAC, mg |
Recovery, % |
AL, mg |
||||||||
Batch 01 |
Batch 02 |
Batch 03 |
Batch 01 |
Batch 02 |
Batch 03 |
Batch 01 |
Batch 02 |
Batch 03 |
|||
Deduster |
450.00 |
337.50 |
337.50 |
93.02 |
97.20 |
90.97 |
3.65 |
3.82 |
3.57 |
||
Container |
92.00 |
92.81 |
94.34 |
1.22 |
1.23 |
1.11 |
|||||
Blistering machine |
93.20 |
89.59 |
87.76 |
5.34 |
5.14 |
5.03 |
|||||
The less the batch size of subsequent product and the API minimal daily dose of previous product, the less the acceptance limit of residues and the risk of cross-contamination increases.
System suitability test
During performing the system suitability test, in all cases the RSD of the peak areas, the RSD of the retention times, the number of theoretical plates per column, the resolution between pamoic acid and pyrantel peaks and the tailing factor comply with acceptance criteria. The results are summarized in table 2.
Linearity and range
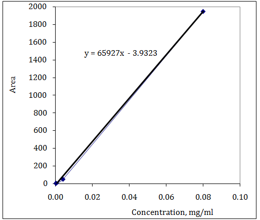
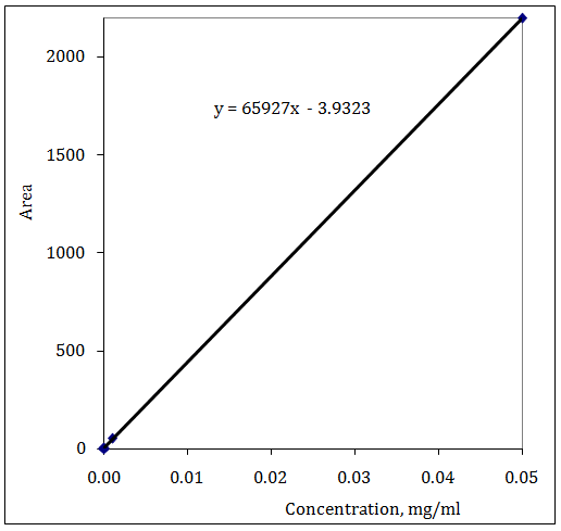
Linearity of the method was studied by analyzing standard working solutions at six different concentration levels ranging from 0.00004 to 0.08 mg/ml for pyrantel pamoate/from 0.000005 to 0.05 mg/ml for mebendazole. The calibration curve was constructed by plotting the response area against the corresponding concentration injected. The high value of the correlation coefficient indicates good linearity. The linearity concentration and regression statistics are shown in table 3, 4. Fig. 3, 4 show the linearity graphs.
Limit of quantitation (LOQ) and limit of detection (LOD)
The determined limits of quantitation and detection for both API are presented in table 5. The LOQ of the method was estimated to be equal to 0.00008 mg/ml (pyrantel pamoate)/0.0000125 mg/ml (mebendazole) and 0.00004 mg/ml (pyrantel pamoate)/0.000005 mg/ml (mebendazole) could be considered as the LOD according to the acceptance criteria.
Table 2: It shows system suitability test results
Pyrantel |
|||||
Number of analysis |
RSD |
RSD |
Number of theoretical plates |
Resolution |
Tailing factor |
I |
0.069 |
0.089 |
>16857 |
>13.31 |
0.85-0.91 |
II |
0.047 |
0.170 |
>14065 |
>13.43 |
0.67-0.68 |
III |
0.132 |
0.155 |
>13741 |
>13.61 |
0.67-0.68 |
Mebendazole |
|||||
I |
0.017 |
0.009 |
>5346 |
- |
0.96-0.97 |
II |
0.081 |
0.131 |
>5768 |
- |
0.90-1.14 |
III |
0.195 |
0.092 |
>5759 |
- |
0.99-1.05 |
Table 3: It shows the linear regression data for mebendazole
| Level | Concentration, mg/ml | Average peak area | RSD of peak areas, % (n=6) |
| I | 0.05 | 2199.03235 | 0.052 |
| II | 0.001 | 51.94116 | 0.157 |
| III | 0.00005 | 2.58083 | 3.675 |
| IV | 0.000025 | 1.42311 | 3.852 |
| V | 0.0000125 | 0.62298 | 4.595 |
| VI | 0.0000050 | 0.30285 | 9.173 |
| Correlation coefficient (r) | 0.99999 | ||
| Square of correlation coefficient (r2) | 0.99999 |
Table 4: It shows the linear regression data for pyrantel pamoate
| Level | Concentration, mg/ml | Average peak area | RSD of peak areas, % (n=6) |
| I | 0.08 | 1945.67477 | 0.171 |
| II | 0.004 | 46.49814 | 0.056 |
| III | 0.0004 | 4.76031 | 0.828 |
| IV | 0.0001 | 2.79451 | 4.518 |
| V | 0.00008 | 2.37099 | 2.192 |
| VI | 0.00004 | 1.26656 | 6.221 |
| Correlation coefficient (r) | 0.99967 | ||
| Square of correlation coefficient (r2) | 0.99934 |

Fig. 3: It shows linearity graph for pyrantel pamoate

Fig. 4: It shows linearity graph for mebendazole
Table 5: It shows LOQ and LOD for pyrantel and mebendazole (three independent analysis results)
| Parameter | Pyrantel | Mebendazole |
| I | II | |
| LOQ, mg/ml | 0.00008 | 0.00008 |
| LOD, mg/ml | 0.00004 | 0.00004 |
| RSD of peak areas, % for LOQ (n=6) | 1.811 | 2.193 |
| RSD of peak areas, % for LOD (n=6) | 9.090 | 7.210 |
| S/N for LOQ | 13.2 | 11.7 |
| S/N for LOD | 7.9 | 8.1 |
Specificity
The specificity study was shown that there is no interference from the extracted blank swab and the extraction solvent at the retention time of an analyte peak.
The influence of swab material
The calculated percentage difference between peak areas of standard solutions and extracted swab solution added standard is 1.69 % for pyrantel pamoate and 0.90 % for mebendazole. Hence, the swab material does not affect on the determination of pyrantel and mebendazale residues.
Robustness
The stability of the standard solutions was tested by storing them at room temperature for 24 hours. Two standard solutions were injected after 6 hours and 24 hours. Standard solutions of mebendazole and pyrantel pamoate stored at room temperature are stable within 6 hours and 24 hours, respectively.
This gives the confidence that APIs residues are stable and the residues concentrations do not change in swab sample solutions during cleaning validation. The stability results are shown in table 6.
Residual estimation of pyrantel and mebendazole in swab samples collected from equipment surface
After manufacturing of three consecutive batches of Vicazid uncoated tablets and cleaning of equipment swab samples, were collected from different sampling points of surfaces. The equipment surfaces were rinsed with water for several times in order to remove extraction solution–diluent containing toxic and corrosive components and the last rinsed samples were checked on pH value compared with water pH. In laboratory swab samples were tested immediately for residual estimation of pyrantel and mebendazole using the validated HPLC methods. The results are shown in table 7. Fig. 5, 6, 7 and 8 show chromatograms obtained from standard and swab sample solutions. The determined amounts of mebendazole and pyrantel residues on the sampling areas (25 cm2) of equipment surfaces vary from 0.00009 mg to 0.06119 mg (0.09–61.19 µg) for mebendazole and from 0.00002 mg to 0.00974 mg (0.02–9.74 µg) for pyrantel residues which are well below the calculated limit of cross-contamination. In swab solution the amount of mebendazole residues is more than pyrantel residues. In spite of Vicazid uncoated tablet containing both insoluble and very adherent APIs is the worst case from the point of view of cleaning validation cleaning standard operating procedure provides sufficient removal of the residues from equipment surfaces and totally excludes the risk of cross-contamination.
Table 6: It shows stability of standard solutions
| Time | St. sol. # | Peak area |
| pyrantel | ||
| Freshly prepared | 1 | 1803.02972 |
| 2 | 1830.42943 | |
| Similarity factor | 1.00412 | 1.00982 |
| After 6 hours | 1 | 1804.99780 |
| 2 | 1832.25708 | |
| Similarity factor | 1.00422 | 1.00995 |
| Percentage difference | 0.1 | 0.04 |
| After 24 hours | 1 | 1809.63776 |
| 2 | 1843.57106 | |
| Similarity factor | 1.00062 | 1.02597 |
| Percentage difference | 0.54 | 7.35 |
Table 7: It shows swab samples test results, mg
| Equipment name | Sampling point # | Pyrantel pamoate | Mebendazole |
| Batch 01 | Batch 02 | ||
| Deduster | 1 | 0.00022 | 0.00002 |
| 2 | 0.00009 | 0.00002 | |
| 3 | 0.00094 | 0.00002 | |
| Container | 1 | 0.00005 | 0.00027 |
| 2 | 0.00036 | 0.00005 | |
| Blistering machine | 1 | 0.00026 | 0.00002 |
| 2 | 0.00008 | 0.00002 | |
| 3 | 0.00061 | 0.00217 | |
| 4 | 0.00007 | Not detected |

Fig. 5: It shows the chromatogram of mebendazole standard solution

Fig. 6: It shows the chromatogram of swab sample solution for mebendazole residues

Fig. 7: It shows the chromatogram of pyrantel pamoate standard solution

Fig. 8: It shows the chromatogram of swab sample solution for pyrantel residues
CONCLUSION
Swab sampling and HPLC methods were developed and validated for quantitative estimation of pyrantel and mebendazole residues on stainless steel surfaces of plant equipment after manufacturing of Vicazid uncoated tablets to demonstrate cleaning validation. Methods with appropriate swab wipe procedure were found to be selective and linear. No interference from swab solution was observed and samples were stable during analysis for residual estimation. Hence, the results obtained confirm that the cleaning procedures used are able to remove residues from equipment surfaces and well below the calculated limit of contamination. The swab was sampling and HPLC validated methods can be used in other pharmaceutical quality control laboratories to apply successfully in cleaning validation for quantitative estimation of mebendazole and pyrantel residues after manufacturing of pyrantel 100 mg/mebendazole 150 mg uncoated tablets.
CONFLICT OF INTERESTS
Declared None
REFERENCES