
1Centre of Food Technology, University of Allahabad, Allahabad, 211016, Uttar Pradesh, India, 2Centre for Biotechnology, University of Allahabad, Allahabad, 211016, Uttar Pradesh, India
Email: shadmaanjum@yahoo.co.in
Received: 04 Sep 2021, Revised and Accepted: 09 Dec 2021
ABSTRACT
The main by-product of the banana processing industry is peel, which represents almost 30% of fruit. Naturally occurring substances are cheap, renewable, biodegradable, do not contain heavy metals or other toxic chemicals, are therefore eco-friendly and hence ecologically acceptable. The significance of banana peel has been documented over the year as an antimicrobial agent, antioxidant, and neuroprotective agent, so on. Here this review highlights some other interesting facts about banana peel like its anticorrosive properties and clinical properties. Hence, this review intends to highlight the industrial utilization of banana peel. Thus, phenolic compounds and enzymes like oxalate oxidase and SOD (germin family) from banana peel can be exploited as a health supplement due to its richness in natural antioxidants coupled with medicinal applications. Antioxidant and Antimicrobial properties of banana peel make it a natural ingredient in food-grade applications. The review below highlights some of the interesting and important properties of banana peel as a corrosion inhibitor and its industrial applications likewise, in the metal, steel industry, clinical industry and food industry.
Keywords: Banana peel, DPPH(2,2-diphenyl-1-picrylhydrazyl), ABTS(2,2’azino-bis(3-ethylbenzothiazoline-6-sulfonic acid), SDS PAGE(sodium dodecyl sulphate–polyacrylamide gel electrophoresis), BPP (banana peel powder), Value addition, Health benefit, Antimicrobial, Anticorrosion, Phenolic compound
© 2022 The Authors. Published by Innovare Academic Sciences Pvt Ltd. This is an open access article under the CC BY license (https://creativecommons.org/licenses/by/4.0/)
DOI: https://dx.doi.org/10.22159/ijpps.2022v14i2.43211. Journal homepage: https://innovareacademics.in/journals/index.php/ijpps.
Since ancient times the medicinal properties of banana have been well known. It is used as a cure in many diseases [1]. As a staple fruit; it is available throughout the year and provides livelihood to thousands of people [2]. Banana is the second most important fruit to be grown in India (accounting for 15% of global fruit production). [Food and Agriculture Organization statistical databases [3]. India contributes around 27% of the world’s banana production [4]. The whole banana plant and its fruit have good therapeutic value, as it contain vitamins and some minerals, essentially potassium and phosphorous, which are essential for bone development. The pulp and peel of banana fruit contains crude protein, fat, ashes, starch, total sugar, water-soluble tannin, activities of amylase, phosphorylase, acid phosphates, pectinesterase, polygalacturonase, polyphenol oxidase.
The presence of natural antioxidants makes peel a good source of functional food against cancer and heart disease [5].
Around 30% of the banana crop in the country is lost after harvest. Factors responsible for this remain-rapid ripening of the fruits, poor handling, inadequate storage; improper transportation facilities; poor knowledge of food processing options. Processing the fresh fruit into food products with a longer shelf life can provide a major outlet to exploit a greater number of marketing options.
Researches has shown that the peel of the fruit has a healthy composition of phenolic compounds that are effective against pathogenic microorganisms [6]. The main by-product of the banana processing industry is peel, which represents almost 30% of fruit [7].
Tannins and flavonoids-essential phenolic compounds have shown antioxidant, antimicrobial, anticancer, anticorrosive activities. Sometimes these phenolic components act as a green inhibitors. These are chemicals that often work by adsorbing themselves on the metallic surface by forming a film [8]. Most of the synthetic organic compounds, although have good anti-corrosive properties y, many of them are still highly toxic to us and the environment. Because of the above risk factor, many researchers have focused their studies on the use of naturally occurring substances like flavonoids-one of the most numerous and widespread groups of natural secondary constituents, important to man not only because they contribute to plant color but also are physiologically active. Nature has endowed us with many substances that are cheap, renewable, and biodegradable and are devoid of heavy metals and other toxic chemicals and thus can be utilized as eco-friendly and ecologically acceptable substances. The anticorrosive actions of flavonoids against copper or metal were reported by [9].
Many synthetic antioxidants such as butylated hydroxyanisole (BHA), butylated hydroxytoluene (BHT), propyl gallate (PG) have been used to retard the oxidation process; however, the use of synthetic antioxidants must be under strict regulation due to potential health hazards [10]. The search for natural antioxidants as alternatives is therefore of great interest among researchers. However, nobody pays attention to banana peels, which is unfortunate because they could be helpful in many medicinal applications [1]. Here this review highlights the vast applications of banana peel. Potential applications for banana peel depend on its chemical composition. Banana peel is rich in dietary fiber (50% on a dry matter (DW) basis), proteins (7% DW), essential amino acids, polyunsaturated fatty acids, and potassium. Therefore, the principal objective of this work is to explore the properties of banana peel and increase its value by highlighting its application in food-grade products and its use in the metal industry as a green inhibitor of corrosion. Banana peel is reported to contain oxalate oxidase, which is widely used for the degradation of oxalate. In the mammalian system, oxalate is a metabolic end product with no enzyme present in the body to act upon it. Due to the accumulation of excess oxalate, hyperoxaluria results and this causes kidney stones. It could be overcome by different methods, but the best and cheapest approach is to cure it using the enzyme oxalate oxidase, present in different fruits and vegetables. Determination of oxalate in different food matrices is of great interest because a high oxalate concentration level in foodstuffs may cause the formation of insoluble kidney stones as a result of unbalanced nutrition habits. Thus, the phenolic compounds and enzymes from banana peel can be exploited as a health supplement due to its richness in natural antioxidants coupled with medicinal applications.
The above properties of the banana peel will be exploited for its use commercially in the food, medicine, and pharmaceutical industry. By doing this we will not only increase the value of waste banana peel but also the food product prepared from it. This study is an attempt to investigate different indigenously available agro wastes as potential sources of natural antioxidants and to appraise their efficacy for prevention of spoilage and rancidity in the food industry in a cost-effective manner. Here the concern is not only to increase the demand for food waste as a natural ingredient for industrial application but also it’s utility as a cost-effective approach. The significance of this study is to provide enough information about banana peel. Further banana peels are waste from banana fruit, it contain high amounts of antioxidants, phenolic content and mineral. This peel is biodegradable and will produce environmental and health risk factors. Therefore, utilizing banana peel extract will be better solution in order to protect human being, gaining some profit and creating waste to wealth.
Nutraceutical property of banana
The term nutraceutical was coined in 1989 by Stephen De Felice. Nutraceuticals are “food, or parts of a food, that provide medical or health benefits, including the prevention and treatment of disease.
This review will concentrate on the nutraceuticals properties of banana peels which suggest it could be useful for the value addition in the food-based product. Besides that, this review will concentrate on some specific enzymes like oxalate oxidase (E. C 1.2.3.4) and superoxide dismutase (E. C.1.15.1.1) for their medicinal and pharmaceutical applications. The above properties of the banana peel will be exploited for its use in commercial purposes in the food industry, medicinal and pharmaceutical fields.
Antioxidant property
The antibacterial and antioxidant activities of banana (Musa, AAA cv. Cavendish) fruit peels were described by Mokbel and Hashinaga in 2005. He had reported that unripe banana peel displayed high antimicrobial and antioxidant activity in the ethyl acetate and water-soluble fractions. Green banana peel displayed high antioxidant activity as measured by ß-carotene bleaching, 2,2-diphenyl-1-picrylhydrazylfree radical and linoleic acid emulsion method. Increasing the polarity throughout the extracts exhibited stronger antioxidant activity. They have reported that polyphenols or flavanones and flavonoids play important roles in these activities. Glycoside and monosaccharide components in water-soluble extracts displayed significant antioxidant and antimicrobial activity. From the above results, they had come up to the point that banana, a tropical plant, produced free radical quenching compounds due to oxidative stress caused by strong sunshine and high temperature.
The high correlation between total phenolic content in muli banana peels with its antioxidant activity using DPPH assays was reported by some authors. ABTS scavenging capacities in muli banana and ambon lumut banana peels had positively high correlation with their DPPH scavenging activities [11]. Arora et al. (2008) reported the compositional variation in β-carotene content, carbohydrate and antioxidant enzymes in selected banana cultivars and evaluated physiological and biochemical property of edible (pulp) and non-edible portion (peel) of banana fruit. Karpooravalli cultivar of banana contained maximum carotenoid (68 µg per g d. w.) and carbohydrate content, whereas lower content of beta-carotene (143.12 µg per 100 g) was found compared to red Banana. Other than that, β-carotene was estimated to be highest in peels comparative to pulp (241.91 and 117.20 µg per 100 g). Hereby, the investigation proposed that bioactive compounds such as carotenoids (beta-carotene), antioxidative enzymes and carbohydrate were found higher in the Red Banana and Karpooravalli cultivars [7]. Nofianti et al.(2021) reported the antihyperglycemic and antioxidant determination of klutuk banana peel fractions through the oral glucose tolerance test (OGTT) and DPPH (2,2-diphenyl-1-picrylhydrazyl) methods [12].
Compared to banana pulp, the peels are rich sources of bioactive compounds, such as carotenoids. Convenient processing of banana peel to furnish useful products from it could be a cost-effective approach to balance out waste treatment costs and also decrease the cost of main product. Therefore, it opens the new way for the researchers to isolate these active ingredients and use banana peels as an ingredient in processed food products, such as bakery products, breakfast cereals, pasta products, bars and beverages. This study is in line with my objective of evaluating differences in antioxidant activity and bioactive compounds on varying the ripening stages of banana peels.
Montelongo et al. (2010) studied the solvent polarity and that of the different antioxidant compounds affects the efficiency of the extraction and the activity of the obtained extracts from peel. Further, he concluded that acetone: water extracts were considerably more potent (compared with methanol, ethanol, acetone, water, methanol: water, or ethanol: water) for scavenging free radicals. He investigated that the proposed concentration (acetone: water extract) are highly efficiently for extracting all the extractable components (54±4%), phenolic compounds (3.3±0.8%), and anthocyanin compounds (434±97 lg cyanidin 3-glucoside equivalents/100 g freeze dried banana peel [13]. These findings show that banana peel has a large amount of dopamine, L-dopa and catecholamines with significant antioxidant activity. However, ascorbic acid, tocopherols or phytosterols were not found in the different extracts as different cultivars of banana not impact its antioxidant activity in the peel, whereas variation in extraction time or temperature exhibited high changes in the content.
Anjum S et al. (2011) reported correlations between antioxidant activity, scavenging effects on radicals and contents of phenolic compounds of banana peel fractionate in different solvents are shown in table 1. The antioxidant activity of banana peel fractionate was significantly correlated with their scavenging effects on superoxide anion (P<0.01), 2,2-diphenyl-1-picrylhydrazyl radicals (P<0.05) and H2O2 induced hemolysis (P<0.01) on varying extractions in different solvents, whereas no significant difference was observed on varying the ripening stages. Therefore, the antioxidant activities of banana peel extracts may be due to their scavenging effects on radicals and inhibiting the human erythrocyte heamolysis induced by H2O2(50).
Table 1: Correlation between phenolic content and antioxidant activity of banana peel fractionates on dry wt bases
| Variation in ripening stages | ||||
| Correlation r2 (%) | Water | Ethyl acetate | Chloroform | Hexane |
| TPC vs. DPPH | 91.0 | 93.3 | 74 | 7.29* |
| TPC vs. SOD | 97.0 | 19.8* | 88.36 | 76.5* |
| TPC vs. Heamolysis | 38.8 | 65.4 | 96.8 | 18.4 |
| DPPH vs. SOD | 98.2 | 3.96* | 96.4 | 5.47* |
| DPPH vs. Heamolysis | 68.7 | 39.69 | 57.4 | 97.0* |
| SOD vs. Heamolysis | 55.8 | 78.4* | 74.9 | 0.43 |
(Source: Sundaram et al., 2011[52])
The total phenolic compound in banana (Musa accuminata, colla AAA) peel ranges from 0.90 to 3g/100 gm of DW was found by Nguyen et al. (2003) [14], whereas Someya et al. (2002), reported the gallocatechin concentration in banana peel in range of 160 mg/100g dry wet. She has evaluated that variation in ripening and growth stages causes certain changes in polyphenolic content. Her finding was to evaluate the antioxidant activity in banana peel, measure its effect on lipid auto-oxidation in relation to its gallocatechin content [15].
Antimicrobial property
In the past decade, interest on the topic of antibacterial properties of plant extracts has been growing [16]. Food processors and agencies are very concerned with the growing number of foodborne outbreaks and illnesses associated with microorganisms, especially bacteria. Bacteria also have become far more resistant to many antibacterial agents. For instance, of two million people who acquired bacterial infection in United States of America (USA) hospitals annually, 70% of the cases involved strains that are resistant to at least one antibacterial agent [16]. The discovery, development, and clinical use of antibiotics during the nineteenth century have substantially decreased public health hazards resulting from bacterial infections [17]. These antibiotics are available to cure different antibacterial diseases, but bacteria develop resistance against these antibiotics or they show side effects. Several investigations point out the coping ability of medicinal plant species against health hazards because of it richness in biomolecule contents. Pandey and Mishra 2010, reported the antibacterial activities of many plant species [18]. The use of natural antimicrobial compounds is important not only in the preservation of food-borne diseases but also safe for human consumption [19]. According to Shan et al. (2007), consumers too, have been questioning the safety of foods containing the synthetic antibacterial agent as preservatives. Therefore, there has been increasing interest in developing new types of highly effective and non-toxic antibacterial agents from natural sources [20]. Many studies have shown that fruit peels contain various phenolics components, which are effective against pathogenic microorganisms [21]. Phenolic compounds like tannins and flavonoids have been reported for their antimicrobial activity. Both are toxic to fungi, bacteria and viruses and inhibit their growth [22]. Kabuki et al. (2000), investigated the antimicrobial properties of mango seed kernel extract. He had reported the broad-spectrum antimicrobial property of ethanol extract, which was more active against gram-positive than gram-negative bacteria, with a few exceptions. The results indicated that the active component was a type of polyphenol [23]. Ehiowemwenguan et al. (2014), The in vitro antibacterial activity of ethanolic and aqueous extract of banana (Musa sapientum) peels was investigated on both gram-positive and gram-negative bacteria using agar well diffusion technique. The ethanolic extract of the peels had MIC values ranging from 16 mg/ml to 512.5 mg/ml. Phytochemical results showed ethanol to be a better solvent for the extraction of the bioactive agents in banana peels, which include: glycosides, alkaloids, saponins, tannins, flavonoids, and volatile oils [24].
Bacterial and fungal infections pose a greater threat to health, most notably in immune-compromised subjects; hence the need to find natural, cheap and effective antimicrobial agents.
Banana peels are rich sources of various polyphenols and bioactive molecules and possess many curative properties and are able to cure many kinds of illnesses [25]. There is evidence that banana peel strengthens the immune system thereby aiding in wound healing and fixing gastrointestinal disorders. In addition, they also prevent oxidative stress as growth and ripening proceed. It is commercially vital that byproducts produced by the fruit processing industry be re-used. Thus, it could be used as a potential antiseptic medicine to protect against microorganisms. There is the paucity of literature published on the anti-microbial properties of banana peel [5].
The literature survey contains a no. of secondary metabolites like alkaloids; flavonoids and their derivatives are presents in banana fruit and its part.
Enzymatic property for medicinal purpose
Research on the attributes of enzymes and the possible uses for enzyme supplements continues today. Human digestion has been one of the important health parameters and there supplemental enzymes have a vital role to play. The potential for growth is huge, not only in the digestive arena, but also in the area of systemic use, including inflammation support, arthritis, cardiovascular support, and wound healing. Another factor reinforcing the benefits of enzyme supplementation is the growing ageing population [26].
The differential protein accumulation in banana fruit during ripening was investigated by Eva Dominguez-Puigjaner (1992). He extracted banana (Musa acuminata, var. Dwarf Cavendish) proteins from pulp tissue at different stages of ripening and analyzed differential protein expression by two-dimensional electrophoresis. The results reported the accumulation of differential protein during ripening [27].
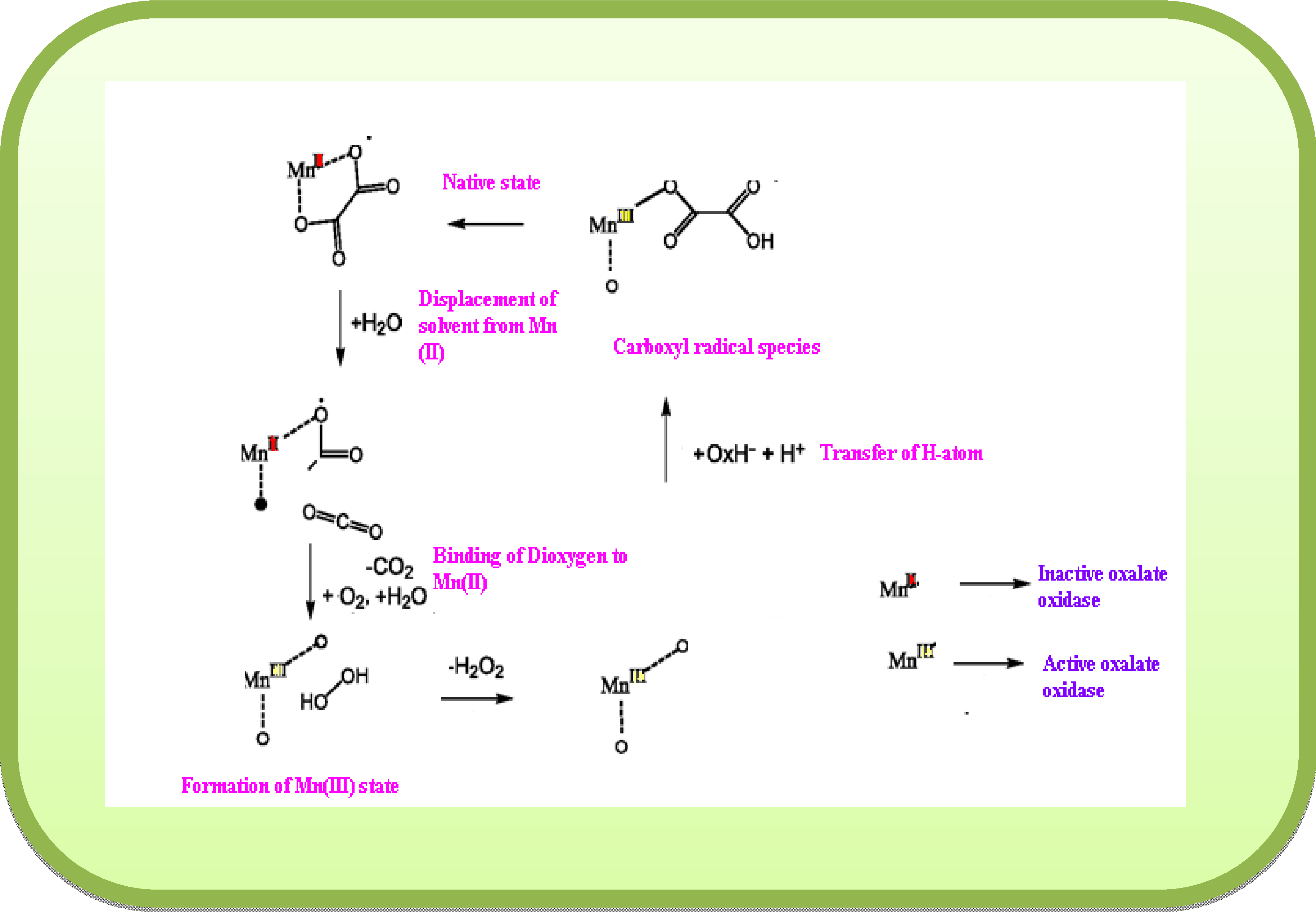
The waste part of banana peel is a potential source for oxalate degradation. Anjum et al. (2015) reported the possible occurrence of oxalate oxidase in leaky stage of banana peel. She described the physiological role of both oxalate oxidase and superoxide dismutase in the plant [28] the role of AOS (Active Oxygen Species) is important in many plant processes. It is also known that there are a number of enzymes that generate AOS. (Elstner et al. 1994) including oxalate oxidase (oxalate: oxygen oxidoreductase, EC 1.2.3.4) and superoxide dismutase [29]. Both belong to the germin family and generate H2O2 [30]. Beet, spinach, banana and sorghum are known to contain proteins with oxalate oxidase activities. Yet the evidence still is insufficient to ascertain that they are distinct proteins from the germin-type oxalate oxidase. Plants such as monocots, dicots, gymnosperms and moss contain heterogeneous groups of genes which are used to encode germin-like proteins. GLP is a term referring to all germin motif-containing proteins with unknown enzyme activity or those that do not possess oxalate oxidase activity. Many Germin like protein, including those from moss (Barbulaunguiculata; Bu), barley (Hordeum vulgare; Hv), wheat (Triticumaestivum, Ta; Triticum monococcum, Tm), tobacco (Nicotiana sp.; Naor Np), pea (Pisum sativum; Ps), azalea (Rhododendron mucronatum; Rm) and grape (Vitis vinifera; Vv) possess superoxide dismutase activity. Superoxide dismutase converts superoxide anions into H2O2. One germin-like protein from barley does not possess oxalate oxidase or superoxide dismutase activity. Enzyme and gene expression data suggest that both oxalate oxidase and germin-like protein genes and their encoded proteins play roles in plant defense responses [31]. In the mammalian system, accumulation of excess oxalate results in hyperoxaluria, which causes kidney stones.

Fig. 1: Catalytic mechanism of oxalate oxidase as proposed by [32]
Oxalate oxidase (source: http://www.ebi.ac.uk/thornton-srv/databases/cgi-) in banana peel was first suggested by Richardson [33]. Production of hydrogen peroxide during the oxidation of oxalate by oxalate oxidase in fig. 1 destroys fungal toxins and microbes, serving as a defense mechanism in peroxidase-catalyzed cross-linking reactions and in strengthening the cell walls [34].
Dahiya et al. (2010), reported oxalate oxidase in strawberry fruit [35]. Hu and Guo (2009), purified and characterized oxalate oxidase from wheat seedlings [36]. Kanauchi et al. (2009), suggested that enzyme activity increases during germination in malt. Determination of oxalate in different food matrices is of great interest because a high oxalate concentration level in foodstuffs may cause formation of insoluble kidney stones as a result of unbalanced nutrition habits [37].
Oxalate determination by the current analytical methods in food industry are time consuming, need relatively expensive instrumentation such as fluorescence spectrometer, flow injection apparatus with spectrophotometric detection, ion chromatograph, high pressure liquid chromatography, and system for capillary electrophoresis. Highly trained staff is required for handling such instruments [38]. Similarly, enzyme oxalate oxidase has been reported from no. of sources which are required for the diagnosis and medical management of hyperoxaluria and calcium oxalate crystals [39]. During the ripening of the banana peel, proteins denoted germins are expressed in the later stages of ripening [40] because germin expression is so closely linked to the onset of germination in cereal seedling reported by [41].
Oxalate oxidase
Dahiya et al. (2010), detected, purified, characterized, and determine the physiological role of oxalate oxidase in strawberry. He had detected the activity of a soluble oxalate oxidase in homogenates of ripened fruit of strawberry (Fragaria ananassa), which was confirmed by the stoichiometric relationship between the disappearance of oxalate and utilization of dissolved O2, and generation of H2O2. The molecular weight was determined to be 119 kDa with two identical subunits. He had reported the glycoproteinatious nature of the enzyme, and when heated at 80 °C for 30 min, retained 76% more activity than initial. Further, he had reported the physiological role of enzymes in fruit ripening, as the fruit ripens the enzyme activity increases with the decrease in oxalate levels (-0.927 correlation with oxalate oxidase) [35].
Hu and Guo (2009) purified and characterized oxalate oxidase from wheat seedlings. He recovered 21.97% enzymes from wheat seedlings by sequential thermal treatment, ultrafiltration, sephadex G-100 gel filtration and affinity chromatography with concanavalin A. The molecular mass determined to be 32.6 KDa on sodium dodecyl sulphate–polyacrylamide gel electrophoresis and the native molecular mass of 170 KDa on Sephadex G-150 suggest that it is a pentamer. He reported their maximum activity at pH 3.5 and Km for oxalate was 0.21 mmol (35)
Some author reported that the Oxalate and oxalate oxidase were determined in Malt [37]. Barley kernels contain a single oxalate oxidase located in the embryo and aleurone. Unmalted grain contains substantial quantities of oxalate oxidase and increases in activity during germination. It displays a very broad pH optimum: the optimum was at pH 4.0, but the enzyme still displayed more than 50% of its activity at pH 7.0. Oxalate oxidase is highly resistant to heat. However, its low affinity for oxygen suggests that it probably does not play a major role in the consumption of oxygen in mashing. Oxalic acid levels decrease as a result of oxalate oxidase action in the late phase of germination. Oxalic acid was not detected in raw barley.
Superoxide dismutase
Superoxide dismutase is the essential antioxidant generated under stress. The 0.5% BPP (banana peel powder)-supplemented group had increased serum SOD activity and lowered serum malondialdehyde levels, while the liver mRNA expression of Nrf2, SOD, CAT, GPx, and HO-1 were upregulated in the 0.5% and 1% Banana peel powder-supplemented groups. In conclusion, the current study shows that Banana peel powder has a potent antioxidant capacity and that dietary supplementation with 0.5% Banana peel powder enhances antioxidative status, suggesting that BPP has potential as an antioxidant feed additive [42].
Beauchamp and Fridovitch studied the mechanism of action of SOD. In a model system, Superoxide radical reacted with H202 to produce the hydroxyl radical. The OH-radical then reacted with methional to produce ethylene. Rubio et al. (2004) reported that a plant, Cu/Zn-SOD, is partially located in the cell wall and co-locates with hydrogen peroxide production in pea nodules [43]. Superoxide dismutase (SOD) inhibited ethylene production by limiting hydroxyl radical formation. Superoxide and hydroxyl radicals are highly reactive and would be expected to react deleteriously with biological macromolecules. Since superoxide dismutase apparently protects the cell against oxygen toxicity (Fridovitch et al. 1973) and inhibits ethylene production from methional [44]. Baker (1976) studied the ripening of fruit against SOD activity and reported that the levels of superoxide dismutase (SOD) activity in preclimteric apple, banana, avocado, and tomato fruits extracts was not greatly different from the post-climacteric fruit extracts. The results indicate that no major quantitative change in SOD occurs in fruits with or preceding the onset of senescence, whereas in tomato fruit SOD was found largely in the soluble fraction, and to a lesser extent in the mitochondrial and plastid fractions. Baker (1976), come up with the conclusion that superoxide dismutase (SOD) and catalase activity stimulated by the action of flavonoids present in banana peel and is responsible for the reduced level of peroxidation products such as malondialdehyde, hydroperoxides and conjugated dienes. The study demonstrated superoxide dismutase activity against peroxide formation [45].

Fig. 2: Mechanism of action of superoxide dismutase and production of free radical [46]
Oxalate oxidase and superoxide dismutase activity (fig. 2) of the proteins belonging to cupin family members were found to be responsible for their disease resistance properties. In a few earlier reports, GLPs from wheat and barley have been proposed to have some structural role in relation to cross-linking of the cell wall after pathogen attack. The superoxide dismutase-mediated reaction is one of the main antioxidative defense systems in plants and it converts superoxide into hydrogen peroxide (H2O2) and molecular oxygen. Peroxidase enzymes convert the H2O2 into water and there are many peroxidases which are present in the apoplastic space of the plant cells and they are ionically or covalently bound to the cell wall polymers.
Anticorrosive property of banana peel
Anticorrosive action of banana peel against metal act as a green corrosion inhibitors. Green corrosion inhibitors and organic inhibitor are biodegradable and do not contain heavy metals or other toxic compounds which adversely affect health. The successful uses of naturally occurring substances to inhibit the corrosion of metals in acidic and alkaline environments have been reported by some research group. Natural products have been studied extensively as corrosion inhibitors, both in product mixtures extracted from natural sources such as plants or essentially pure products derived from animals or plants (i.e. vitamins and amino acids. From the economic and environmental viewpoints, plant extracts are an excellent alternative as inhibitors because of their availability and biodegradability [45]. The inhibiting action of the banana peel extract as a corrosion inhibitor in controlling corrosion of mild steel in a 0.1M HCl solution was studied [47].
Pakpahan et al. (2018) studied the effect of tannin on Awak banana peel (Musa paradisiacal var. Awak), extract of Awak banana peel and Awak banana peel powder as iron corrosion inhibitor. Iron gets corroded easily when used in a corrosive medium. To overcome this, problem corrosion inhibitors are used. It is widely used construction material in industries. In this experiment, Awak Banana (Musa paradisiacal var. Awak) peel as iron corrosion inhibitor in 3% NaCl medium was used. The unripe Awak Banana peel acts as a corrosion inhibitor. After 12 d of incubation of iron NaCl medium, the lowest corrosion rate is obtained, where the corrosion rate is 0.964 mpy by applying tannin of Awak banana peel. The tannin of Awak banana peel shows highest inhibition efficiency almost 67.9 % as an inhibitor [48].
Amodu et al. (2018) determined the effect of Musa paradisiaca (banana) peel extract as a green corrosion inhibitor for mild steel in an acidic medium (1 M HCl). The effects of two independent variables (concentration of banana peel extract and temperature) on corrosion inhibition efficiency were investigated. American System of Testing Materials (D-971) provided standardized methods for evaluation of the physicochemical properties of the extract, such as surface tension, viscosity, flash point, and specific gravity. The efficiency of corrosion inhibition was evaluated by gasometric and thermometric methods [49].
Senthilvadivu et al. (2015) studied the ethanol extract of the banana peel as an effective corrosion inhibitor for industrial applications [45]. Ji G et al. (2015) studied the raw banana peel extract achieved 92% of maximum corrosion inhibition. Where, change in inhibition efficiency with ripening of the peels is investigated by Weight loss, electrochemical and AFM(Atomic force microscopy techniques are used for inhibition study. The investigation concluded that gallocatechin and catechin are responsible for the inhibitive properties of the extracts [47].
Industrial application of banana peel
Rapid development of value-added food products has been seen for the past 20 y. Wasted fruit byproducts have created a potential for sustainable use of these edible materials as an additive in various food-grade products. The high levels of antioxidant activity, antimicrobial activity, phenolic compounds, and dietary fibers in banana peel have made fruit peel an outstanding source of nutritive ingredient for enrichment of foodstuffs. Although banana peel does contain many functionally important bioactive compounds, yet its application is still underutilized and there is a need to put more scientific effort to tap its functionality in terms of application to food and nutraceuticals. Anjum et al. (2015) investigated the nutraceutial and value addition of banana peel in the food industry [40]. Sahlanya Al STG et al. (2020) studied the effect of banana peel extract on the chemical composition, rheological properties of wheat flour [50].
Synthetic antioxidants such as Butylated Hydroxy Toluene (BHT), Butylated Hydroxy Anisole (BHA), Tertiary Butylated Hydroxy Quinone (TBHQ) and Propyl Gallate (PG) have been proven effective antioxidants against food spoilage and rancidity. However, because of the risk of carcinogenicity in the use of these synthetic antioxidants their use has been discouraged internationally [51]). Anjum et al. (2014) studied the use of banana peel as an additive in the food industry. This research opens new avenues for industrial application of banana peel as an additive, highly unsaturated food-grade oil to prevent rancidity and stored it for long time period (40). A work of a similar nature on the effects of citric acid and methanol extracts of banana and plantain peel to see the stability of refined soybean oil has been done by Arawende et al. (2010) [52].
The unripe Awak Banana peel used as a corrosion inhibitor. The use of Awak banana peel as iron corrosion inhibition is varied in powder of banana peel, crude extract of banana peel, and tannin of banana peel. It has been illustrated that tannin of Awak banana peel, extract of Awak banana peel and Awak banana peel powder could be used as iron corrosion inhibition in NaCl Medium. Iron is immersed in NaCl medium for 12 d; by applying tannin of Awak banana peel inhibitor; the lowest corrosion rate was obtained where the corrosion rate is 0.964 mpy. and inhibition efficiency amout was almost 67.9 % by using tannin of Awak banana peel as inhibitor [53]. Recent application of banana peel has been emerging in the prevention of metal and iron degradation due to corrosion. Metal components and equipment tend to rust and corrode during storage. Mild steel founds its applications in the field of construction in wide range of industries due to its high strength and availability at low cost [53]. Anti-corrosion coatings have been long used as one of the most commonly adopted practices for corrosion prevention. It was discovered that if corrosion prevention best practices were implemented, there could be global savings of between 15 and 35% of the cost of damage [49]. Life span of mild steel, its viability in reducing its cost of production-all requires certain practical steps in corrosion prevention. Failure to prevent or manage corrosion can result in metal losses, loss of production time, leaking vessels, and unwarranted cleanup costs.
The propensity of metals to revert to their natural ore state is related to corrosion, which is an electrochemical process. Moisture and oxygen involving chemical reactions are essential for corrosion to take place there by accelerating the flow of electrons on the surface of the corroded cells, which further accelerates the transformation of metal back to the low-grade ore [48]. Sudden changes in temperature, within the room affect the internal humidity environment and lead to condensation on any surface. This subsequently leads to corrosion. Controlled RH restricts not only prevents rusting of iron and steel, but also protects other moisture-sensitive materials. Controlled RH restricts rusting of iron and steel, but also protects other moisture-sensitive materials.
The condensed moisture on material acts as a medium conducive to the growth of bacteria. Thus, micro-organism growth is injurious to the material; as it not only results in decomposition but also mechanical weakening of the products. In most cases, bacterial growth can be arrested if RH is maintained below 35%. The cost of metallic corrosion to the total economy is in billions of rupees per year.
Banana peel is a waste product of bananas and studies have shown that banana peel also has medicinal properties. Researchers have done studies demonstrating the antimicrobial activity of banana peel against various Gram-positive and Gram-negative bacteria. Iraq ZAGC et al. (2013) studied the use of banana peel extracts and its antimicrobial properties for therapeutic treatments. This study aimed to evaluate the antibacterial activity of banana's peel. Aqueous extracts of fresh yellow banana peels could be considered as a good antibacterial agent against both Gram-positive and negative bacteria to replace the synthetic medicines in treatment of diseases caused by these bacteria. Gram‑negative bacteria play a central role in the development and progression of periodontal diseases. Among them (P. gingivalis) and (A. actinomycetemcomitans) are major putative periodontal pathogens that have been associated with chronic periodontitis, aggressive periodontitis, and failure of periodontal therapy [53]. Kapadia et al. (2017) studied antimicrobial activity of banana peel extract on Porphyromonas gingivalis (P. gingivalis) and Aggregatibacter actinomycetemcomitans (A. actinomycetemcomitans) bacteria. This research opens new avenues of research for its medical application in the dental field [55]. Anjum et al. (2015) studied the activity of enzymes oxalate oxidase from all three stages of banana (Musa paradisiac, L. Variety Bhusawal) peel and to isolate, purified and characterized from this. Occurrence of these enzymes made the fruit peel beneficial in medicinal applications [28]. Similarly, Karuna et al. (2018) evaluated the antiurolithiatic activity of selected fruit peels on simulated renal stones in vitro conditions [56].
By processing these wastes, we will not only increase the value of waste but also food products proposed by this. By managing these wastes, we will overcome the problem related to environmental and health hazards in a cost-effective way.
This work has highlighted various health and nutritional benefits of banana peel. Moreover, several insights on the practical application of banana peel as a pharmacologically active substance and their wide application as an antimicrobial, antioxidant, anticorrosive agent. Moreover, there is a need to validate the mode of applications of the compound through which banana peel demonstrates its biological activities. There is a need to process these compounds present in banana peel and to exploit it as a health supplement due to its richness in natural antioxidants coupled with medicinal applications.
Nil
All the authors have contributed equally.
Declared none
Kumar KPS, Bhowmik D, Duraivel S, Umadevi M. Traditional and medicinal uses of banana. J Pharmacogn Phytochem. 2012;1(3):57-70.
Chadha KL. Directorate of information and publications of agriculture. ICAR: banana handbook of horticulture, New Delhi; 2002. p. 143-53.
Food and Agriculture Organization statistical databases (FAOSTAT); 2008.
Mohapatra D, Mishra S, Sutar N. Banana and its utilization: an overview. J Sci Ind Res. 2010;69:323-9.
Mokbel MS, Hashinaga F. Antibacterial and antioxidant activities of banana (Musa, AAA cv. cavendish fruits peel. Am J Biochem Biotechnol. 2005;1(3):125-31. doi: 10.3844/ajbbsp.2005.125.131’
Anagnostopoulou MA, Kefalas P, Papageorgiou VP, Assimopoulou AN, Boskou D. Radical scavenging activity of various extracts and fractions of sweet orange peel (Citrus sinensis). Food Chem. 2006;94(1):19-25. doi: 10.1016/j.foodchem.2004.09.047.
Arora A, Choudhary D, Agarwal G, Singh VP. Compositional variation in β-carotene content, carbohydrate and antioxidant enzymes in selected banana cultivars. International Journal of Food Science & Technology. 2008;43(11):1913-21. doi: 10.1111/j.1365-2621.2008.01743.x.
Oguzie EE. Studies on the inhibitive effect of occimum viridis extract on the acid corrosion of mild steel. Mater Chem Phys. 2006;99(2-3):441-6. doi: 10.1016/j.matchemphys.2005.11.018.
Udhayakala P, Rajendiran TV, Gunasekaran S. Theoretical evaluation on the efficiencies of some flavonoids as corrosion inhibitors on Copper. J Chem Biol Phys Sci. 2012;2:1151-65.
Sudha G, Priya MS, Indhu SR, Vadivukkarasi S. In vitro free radical scavenging activity of raw pepino fruit (Solanum muricatum Aiton). Int J Curr Pharm Res. 2011;3(2):137-40.
Fidrianny I, KRR, Insanu M. In vitro antioxidant activity from various extracts of banana peels using ABTS, DPPH assays and correlation with phenolic, flavonoid. Int J Pharm Pharm Sci. 2014;6(8):299-303.
Nofianti T, Muhtadi A, Fidrianny I, Fuadah AS, Nurviana V, Ruswanto. Klutuk banana (Musa Balbisiana Colla) peel fractions: antioxidant and antihyperglycemic potential. Int J App Pharm. 2021;13(2):1-6. doi: 10.22159/ijap.2021.v13s2.01.
Gonzalez Montelongo R, Gloria Lobo M, Gonzalez M. Antioxidant activity in banana peel extracts: testing extraction conditions and related bioactive compounds. Food Chem. 2010;119(3):1030-9. doi: 10.1016/j.foodchem.2009.08.012.
Nguyen T. Relationship between browning and the activities of polyphenoloxidase and phenylalanine ammonia-lyase in banana peel during low-temperature storage. Postharvest Biol Technol. 2003;30(2):187-93. doi: 10.1016/S0925-5214(03)00103-0.
Someya S, Yoshiki Y, Okubo K. Antioxidant compounds from bananas (Musa Cavendish). Food Chem. 2002;79(3):351-4. doi: 10.1016/S0308-8146(02)00186-3.
Cushnie TP, Lamb AJ. Antimicrobial activity of flavonoids. Int J Antimicrob Agents. 2005;26(5):343-56. doi: 10.1016/j.ijantimicag.2005.09.002, PMID 16323269.
Kaushik N. Saponins of Chlorophytum species. Phytochem Rev. 2005;4(2-3):191-6. doi: 10.1007/s11101-005-2607-5.
Pandey R, Mishra A. Antibacterial activities of crude extract of Aloe barbadensis to clinically isolated bacterial pathogens. Appl Biochem Biotechnol. 2010;160(5):1356-61. doi: 10.1007/s12010-009-8577-0, PMID 19263248.
Conner DE. Naturally occurring compounds. In: Davidson PM, Branen AL, editors: Antimicrobials in foods. 2nd ed. New York: Marcel Dekker, Inc; 1993. p. 441-68.
Shan B, Cai YZ, Brooks JD, Corke H. The in vitro antibacterial activity of dietary spice and medicinal herb extracts. Int J Food Microbiol. 2007;117(1):112-9. doi: 10.1016/j.ijfoodmicro.2007.03.003, PMID 17449125.
Anagnostopoulou MA, Kefalas P, Papageorgiou VP, Assimopoulou AN, Boskou D. Radical scavenging activity of various extracts and fractions of sweet orange peel (Citrus sinensis). Food Chem. 2006;94(1):19-25. doi: 10.1016/j.foodchem.2004.09.047.
Colak A, Terzi U, Col M, Karaoglu ŞA, Karaböcek S, Küçükdumlu A, Ayaz FA. DNA binding, antioxidant and antimicrobial activities of homo- and heteronuclear copper(II) and nickel(II) complexes with new oxime-type ligands. Eur J Med Chem. 2010;45(11):5169-75. doi: 10.1016/j.ejmech.2010.08.031. PMID 20817331.
Kabuki T. Characterization of novel antimicrobial compounds from mango (Mangifera indica L.) kernel seeds. Food Chem. 2000;71(1):61-6. doi: 10.1016/S0308-8146(00)00126-6.
Ehiowemwenguan G, Emoghene AO, Inetianbor JE. Antibacterial and phytochemical analysis of Banana fruit peel: IOSR. J Pharmacol. 2014;4(8):18-25.
Jahan M, Warsi MK, Khatoon F. Concentration influence on antibacterial activity of banana blossom extract-incorporated chitosan-polyethylene glycol (CS-PEG) blended film. J Chem Pharm Res. 2010;2(5):373-8.
Medhekar R. The past, present and future of enzymes nutraceutical world; 2007.
Dominguez-Puigjaner ED, Vendrell M, Ludevid MD. Differential protein accumulation in banana fruit during ripening. Plant Physiol. 1992;98(1):157-62. doi: 10.1104/pp.98.1.157, PMID 16668607.
Anjum S, Sundaram S, Rai GK. Banana peel oxalate oxidase-detection, purification, characterization and physiological role. Int J Pharm Pharm Sci. 2015;7(1):332-9.
Elstner EF, Schempp H, Preibish G, Hippeii S. Obwald W. Biological source of free radical. In: free radical in the environment Nohl H, Esterbauer H, Rice-Evan C, editors, Medicine and toxicology. London: Richelieu Press; 1994. p. 13-45.
Chiriboga J. Some properties of an oxalic oxidase purified from barley seedlings. Biochem Biophys Res Commun. 1963;11(4):277-82. doi: 10.1016/0006-291X(63)90557-6.
Leek AE, Halliwell B, Butt VS. Oxidation of formate and oxalate in peroxisomal preparations from leaves of spinach beet (Beta vulgaris L.). Biochim Biophys Acta. 1972;286(2):299-311. doi: 10.1016/0304-4165(72)90266-8, PMID 4349795.
Opaleye O, Rose RS, Whittaker MM, Woo EJ, Whittaker JW, Pickersgill RW. Structural and spectroscopic studies shed light on the mechanism of oxalate oxidase. J Biol Chem. 2006;281(10):6428-33. doi: 10.1074/jbc.M510256200, PMID 16291738.
Lee EH, Yeom HJ, Ha MS, Bae DH. Development of banana peel jelly and its antioxidant and textural properties. Food Sci Biotechnol. 2010;19(2):449-55. doi: 10.1007/s10068-010-0063-5.
Huang R, Xia R, Hu L, Lu Y, Wang M. Antioxidant activity and oxygen-scavenging system in orange pulp during fruit ripening and maturation. Scientia Horticulturae. 2007;113(2):166-72. doi: 10.1016/j.scienta.2007.03.010.
Sharma RR, Singh D. Phenolic content pattern, polyphenol oxidase and lipoxygenase activity in relation to albinism, fruit malformation and nubbins production in strawberry (Fragaria x ananassa Duch). J Plant Biochem Biotechnol. 2010;19(1):67-72. doi: 10.1007/BF03323437.
Hu Y, Guo Z. Purification and characterization of oxalate oxidase from wheat seedlings. Acta Physiol Plant. 2009;31(2):229-35. doi: 10.1007/s11738-008-0222-y.
Kanauchi M, Milet J, Bamforth CW. Oxalate and oxalate oxidase in malt. J Institute of Brewing. 2009;115(3):232-7. doi: 10.1002/j.2050-0416.2009.tb00374.x.
Harman D. Aging: a theory based on free radical and radiation chemistry. J Gerontol. 1956;11(3):298-300. doi: 10.1093/geronj/11.3.298, PMID 13332224.
Rahim R. Enzyme sources for urinary oxalate measurements: Biochem J. 2008;45:33-45.
Anjum S, Sundaram S, Rai GK. Nutraceutical application and value addition of banana peel(Musa paradisiac L Variety Bhusawal Keli: Int J Pharm Pharm Sci. 2014;6(10):81-5.
Betsche T, Fretzdorff B. Biodegradation of oxalic acid from spinach using cereal radicles. J Agric Food Chem. 2005;53(25):9751-8. doi: 10.1021/jf051091s, PMID 16332126.
Chueh CC, Lin LJ, Lin WC, Huang SH, Jan MS, Chang SC, Chung WS, Lee TT. Antioxidant capacity of banana peel and its modulation of Nrf2-ARE associated gene expression in broiler chickens. Ital J Anim Sci. 2019;18(1):1394-403. doi: 10.1080/1828051X.2019.1667884.
Rubio MC, James EK, Clemente MR, Bucciarelli B, Fedorova M, Vance CP, Becana M. Localization of superoxide dismutases and hydrogen peroxide in legume root nodules. Mol Plant-Microbe Interact. 2004;17(12):1294-305. doi: 10.1094/MPMI.2004.17.12.1294, PMID 15597735.
Fridovich I. Superoxide radical and superoxide dismutase. Biochem Soc Trans. 1973;1(1):48-50. doi: 10.1042/bst0010048.
Baker JE. Superoxide dismutase in ripening fruits. Plant Physiol. 1976;58(5):644-7. doi: 10.1104/pp.58.5.644, PMID 16659735.
Senthilvadivu B, Aswini V, Kumar KS. Anti-corrosive behavior of ethanolic extract of banana peel against acidic media and their thermodynamic studies. Int J Sci Res. 2015:78-96.
https://www.sigmaAldrich.com/IN/en/technical-documents/technical-article/research-and-disease-areas/cell-signaling/superoxide-dismutase. [Last accessed on 15 Aug 2021]
Ji G, Anjum S, Sundaram S, Prakash R. Musa paradisica peel extract as green corrosion inhibitor for mild steel in HCl solution. Corros Sci. 2015;90:107-17. doi: 10.1016/j.corsci.2014.10.002.
Tambun R, Christamore E, Pakpahan YF, Haryanto B. Banana peel utilization as the green corrosion inhibitor of Iron in NaCl medium. IOP Conf Ser: Mater Sci Eng 2018. p. 420. doi: 10.1088/1757-899X/420/1/012059.
Amodu SO, Odunlami MO, Akintola JT, Ntwampe SK, Akoro SM. Exploring Musa paradisiaca peel extract as a green corrosion inhibitor for mild steel using factorial design method; 2019. doi: 10.5772/intechopen.82617.
Sahlanya Al STG, Musafer SA. M effect of substitution percentage of banana peels flour in chemical composition, rheological characteristics of wheat flour and the viability of yeast during dough time. J Saudi Soc Agric Sci. 2020;19(1):87-91.
Anjum S, Sundaram S, Dwivedi P, Rai GK Sundaram S, Anjum S, Dwivedi P, Rai GK. Antioxidant activity and protective effect of banana peel against oxidative hemolysis of human erythrocyte at different stages of ripening. Appl Biochem Biotechnol 2011;164(7):1192-206. doi: 10.1007/s12010-011-9205-3, PMID 21369778.
Arawande JO, Amoo IA, Lajide L. Effects of citric acid and methanol extracts of banana and plantain peels on the stability of refined soybean oil: Ethnobot Leafl: Ethnobot Leafl 2010;7(7):1.
Cheirmakani BM, Subburaj B, Pandian B, Beneston L. Corrosion inhibition of mild steel by using banana peel extract. Int J Innov Technol Explor Eng (IJITEE). 2019;8(6):2278-3075.
Iraq ZAGC, Alaa H Al-C, Nada KKH, Shatha KKH. Antimicrobial effect of aqueous banana peel extract, Iraq. Research Gate: Pharmaceutical Sciences. 2013;1:73-5.
Kapadia SP, Pudakalkatti PS, Shivanaikar S. Detection of antimicrobial activity of banana peel (Musa paradisiaca L.) on porphyromonas gingivalis and Aggregatibacter actinomycetemcomitans: an in vitro study Porphyromonas gingivalis and Aggregatibacter actinomycetemcomitans: An in vitro study. Contemp Clin Dent. 2015;6(4):496-9. doi: 10.4103/0976-237X.169864, PMID 26681854.
Karuna SV, Amreen SA, Keerthi D, Gandhi V. Fruit peel extracts with potential for dissolving stimulated renal stone in vitro condition. Int J Pharm Pharm Sci. 2018;10(11):74-7.