aSchool of Pharmacy, Bandung Institute of Technology, Jalan Ganeca No. 10, Bandung, Indonesia, bNational Agency of Drug and Food Control, Jalan Percetakan Negara No. 23, Jakarta, Indonesia.
Email: kdwidyarini@gmail.com
Received: 10 Dec 2014 Revised and Accepted: 31 Dec 2014
ABSTRACT
Objective: The objective of this research was to evaluate the xanthine oxidase (XO) inhibitory activity and the ability to reduce serum uric acid levels of 70% ethanol extracts of Anredera cordifolia (ACE) and Sonchus arvensis (SAE) leaves, and its combinations.
Methods: Inhibitory activity of XO was determined by measuring uric acid formation by UV spectrophotometry. Moreover, the antihyperuricemic assay conducted in vivo in male Wistar rats was induced by high-purine diet and potassium oxonate (PO). The reduction of serum uric acid levels after extracts administration was observed and compared to allopurinol.
Results: The IC50 results of ACE, SAE, and the combination of both with a ratio of 1:1 were obtained 635.25 ppm, 1345.93 ppm, and 846.32 ppm, respectively. The IC50 of allopurinol as reference was 0.88 ppm. Hence, XO inhibitory activity of the combination extracts was additive. Results of antihyperuricemic assay showed that uric acid levels of the group of allopurinol, ACE, SAE, and the combination of both extracts were significantly lower compared to the positive control group at 120 and 150 minutes after PO induction (p<0.05). Combination extracts provide an additive effect in lowering serum uric acid levels.
Conclusion: ACE and SAE had xanthine oxidase inhibitory and antihyperuricemic activities, and its combination provided an additive effect. The results were suggested that the extracts may have a considerable potential for developing as antihyperuricemia agent.
Keywords: Anredera cordifolia, Sonchus arvensis, Xanthine oxidase, Inhibitory activity, Antihyperuricemic.
INTRODUCTION
Gout is the most common form of arthritis disease that the prevalence and incidence have been increasing in recent decades [1]. Core metabolic disorder of gout is hyperuricemia that defined as a plasma (or serum) uric acid concentration more than 420 µmol/L (7.0 mg/dL) [2]. Inflammatory reaction of acute gout symptoms can severely impair quality of life (QOL). The QOL of gout patients were examined using a variety of distinct validated measures and shown a significant overall reduction. In addition, patients with gout are less productive which may cause significant costs to employers. Hence, gout not only related to QOL but also with health care and economic costs. The direct burden of illness has been estimated for new cases of acute gout approximately $27 million in the United States [3]. This observation exhibits the need for inexpensive and effective drug for gout prevention and treatment.
Anredera cordifolia and Sonchus arvensis can be easily obtained and very easy to grow either in the lowlands or in the highlands. Previous studies showed that each of these plants have potential xanthine oxidase (XO) inhibitory and antihyperuricemic activities [4-7], so it is necessary to investigate simultaneously the inhibition of the XO activity in vitro that were confirmed by in vivo antihyperuricemic assay of each plants and its combinations to determine the efficacy of a single composition and the combination of both. This study aimed to evaluate the inhibitory activity of the xanthine oxidase and the ability to reduce serum uric acid levels of 70% ethanol extracts of Anredera cordifolia (ACE) and Sonchus arvensis leaves (SAE), and its combinations.
MATERIALS AND METHODS
Plant material
Anredera cordifolia and Sonchus arvensis leaves were collected in April 2014 from the botanical garden of Manoko, Lembang, Bandung, Indonesia. The plant materials were identified at Herbarium Bandungense, School of Life Science and Technology, Bandung Institute of Technology, Bandung, Indonesia.
Plant extraction
Leaves crude drug of A. cordifolia and S. arvensis were extracted with 70% ethanol by reflux method (1:10), and vaporated using rotavapor.
Phytochemical screening of the extract
Chemical tests were carried out for both of ACE and SAE for monitoring the presence of phytochemical constituents such as alkaloids, flavonoids, quinones, saponins, tannins, and steroids/triterpenoids [8].
Xanthine oxidase inhibition in vitro assay
XO inhibitory activity was done by spectrophotometry under aerobic conditions using xanthine (Sigma Aldrich, USA) as the substrate and measured amount formation of uric acid by XO activity and inhibitory activity of the extracts and the reference drug. The reaction mixture for the XO inhibition assay consisted of 0.5 mL sample solution dissolved in 1% dimethylsulphoxide (DMSO), 1.9 mL of 0.05 M potassium dihydrogenphosphate buffer (pH 7.8), and 0.5 mL of 0.15 mM xanthine solution. After pre incubated at 37°C for 10 minutes, 0.1 mL XO (Sigma Aldrich, USA) solution was added and homogenized by a vortex mixer and incubated at 37°C for 30 minutes. Then 0.5 mL of 1 N HCl was added immediately to stop the reaction and the absorbance was measured at λ 290 nm. Blank and control reaction was carried out without sample [9, 10]. The percentage inhibition was calculated using following formula:

Where A is the change in absorbance without sample, B is of the change in absorbance with the sample. The assay was done in triplicate for each concentrations. Allopurinol (0.1, 0.5, 1.0, 2.0, and 5.0 ppm) were used as reference. The concentration required to inhibit 50% of XO activity (IC50) was obtained by linear regression analysis of a plot series of different sample concentrations against percent inhibition.
Antihyperuricemia activity in vivo assay
Experiments were performed with the approval by the Animal Research Ethics Committee of ITB (No. 04/KEPHP-ITB/09-2014). Two-three months-old male Wistar albino rats (150-250 g) were purchased from D’Wistar provider of laboratory animal, Bandung, Indonesia. They were maintained at standard laboratory conditions and fed with standard rodent diet and water ad libitum. The animals were allowed one week to adapt to the environment before testing. The method which was used to examine the antihyperuricemic effect of the sample was as described previously [11, 12] with minor modifications.
Preliminary study was performed in 4 groups: normal control group was administered by 0.9% NaCl solution only, model 1 was administered by PO 250 mg/kg body weight (bw), model 2 was administered by 10 mL/kg bw chicken's liver juice orally and followed by PO 250 mg/kg bw after 15 minutes, model 3 was administered by 10 mL/kg bw chicken’s liver juice orally and followed by PO 250 mg/kg bw after 30 minutes. PO was diluted in 0.9% NaCl and administered by intraperitoneal (i. p.). Blood was collected before induction, and 60, 90, 120 and 150 minutes after PO induction.
Animals in antihyperuricemia activity in vivo assay were randomly divided into 13 experimental groups (n=5 per group). Prior to use, the animals were restricted from food for ±12 hours, but they had free access to water. Chicken’s liver juice 10 mL/kg bw as high-purine diet was administered orally and followed by intraperitoneal (i. p.) PO 250 mg/kg bw as hyperuricaemia induction [13, 14]. The tested solution included 0, 5% CMC as vehicle solution, allopurinol 10 mg/kg bw [12] as reference, single extract at various concentrations (50, 100, and 200 mg/kg bw), and combination extracts (25-25, 50-50, 100-100, and 200-200 mg/kg bw) were administered orally 1 hour after PO induction. Blood was collected before induction, and 90, 120 and 150 minutes after PO induction. The blood was allowed to clot for approximately 30-60 minutes at room temperature and then centrifuged at 3000 rpm for 10 minutes to obtain the serum. The serum was stored at -20°C before using. Uric acid levels were determined by enzymatic reaction using the uricase-phenol-amino-phenazon method [15].
Statistical analysis
All data were expressed as mean ± standard deviation of the mean (SD) for each group. Statistical comparisons of the results of antihyperuricemic assay were made using one-way analysis of variance (ANOVA). Significant differences (p<0.05) between groups were analyzed by Tukey HSD.
RESULTS AND DISCUSSION
The percentage yield of extracts consecutively for A. cordifolia and S. arvensis were 28.85% and 15.70%.
Table 1: Its shows result of phytochemical screening of both extracts
Group |
Results |
|
ACE |
SAE |
|
Alkaloid |
- |
- |
Flavonoid |
+ |
+ |
Quinone |
- |
- |
Saponin |
+ |
+ |
Tannin |
- |
- |
Steroid/Triterpenoid |
+ |
+ |
Phytochemical screening of ACE and SAE showed the presence of flavonoids, saponins, and steroids/triterpenoids in both of extracts. Flavonoids are a group of polyphenolic compounds which have been proved to possess XO inhibitory activity [16][17]. The structure-activity relationship study of flavonoids on XO inhibitory activity showed that isoflavones and anthocyanidins had lower inhibitory activity than the planar flavones and flavonols with a 7-hydroxyl group which inhibited XO activity at low concentration with IC50 value from 0.4-5.02 µM in mixed-type mode of chrysin, luteolin, kaemferol, quercetin, myricetin, and isorhamnetin [18]. Thus, the presence of various flavonoids and phenolics in the extracts would have contributed towards the inhibitory activity.
Table 2: Its shows XO inhibitory activity of allopurinol
| Concentration (ppm) | Percentage inhibition (%) |
| 0.1 | 44.17± 0.835 |
| 0.5 | 47.23± 1.349 |
| 1 | 50.64± 1.143 |
| 2 | 58.62± 1.145 |
| 5 | 70.97± 0.829 |
| 10 | 78.85± 0.673 |
| 20 | 79.76± 0.579 |
| 50 | 91.73± 0.480 |
| 100 | 94.40± 1.189 |
Table 3: Its shows XO inhibitory activity of ACE and SAE
Concentration (ppm) |
Percentage inhibition (%) |
|
ACE |
SAE |
|
1 |
42.57± 1.063 |
28.22± 0.915 |
10 |
43.39± 1.336 |
28.39± 0.635 |
100 |
42.41± 1.508 |
33.93± 0.249 |
1000 |
54.64± 2.114 |
46.33± 0.488 |
1500 |
- |
50.07± 2.876 |
Table 4: Its shows XO inhibitory activity of combination ACE and SAE
| Concentration of combination (ppm) | Composition of each extract (ppm) | Percentage inhibition (%) |
| 100 | 50-50 | 32.48± 1.200 |
| 200 | 100-100 | 43.34± 1.470 |
| 400 | 200-200 | 41.45± 1.419 |
| 800 | 400-400 | 46.00± 0.309 |
| 1000 | 500-500 | 60.91± 0.657 |
| 2000 | 1000-1000 | 72.69± 0.662 |
XO inhibitory activity of extracts showed a non-dose dependent inhibition. In other hand, allopurinol as a reference compound showed a dose dependent inhibitory of XO activity. All extracts either ACE, SAE, or combination of both extracts with a ratio of 1:1 did not indicate significant XO inhibition and they had IC50 635.25 ppm, 1345.93 ppm, 846.32 ppm, respectively. These results were significantly different compared with allopurinol (IC50 0.88 ppm, at concentration 0.1, 0.5, 1.0, and 2 ppm) (p<0.05) as showed in fig. 1.

Fig. 1: Its shows IC50 of ACE, SAE, and its combination
According to the IC50 values of the tested extracts showed that the combination extract was additive effect compared with the single extract. However, XO inhibitory activity of ACE, SAE, and its combination with allopurinol as reference compound at concentration 100 ppm, showed 42.41%, 33.93%, 32.48%, and 94.40%, consecutively. These results revealed that the combination in the ratio 50-50 ppm did not increase the inhibition activity, moreover the combination less inhibits than their single extract.

Fig. 2: Its shows comparison of XO inhibitory activity of the tested compound at 100 ppm concentration
In most mammalian species have uricase enzyme that converts uric acid into allantoin, a highly polar and water soluble product, which is ultimately excreted with urine. However, humans lack uricase enzyme brings on uric acid as the final product of purine degradation [20]. Overproduction or underexretion of uric acid leads to hyperuricaemia that considered an important risk factor for gout. The preliminary study showed that hyperuricaemia rat model can be created by using high-purine diet to increase the production of uric acid and inhibiting conversion of uric acid by PO as uricase inhibitor.
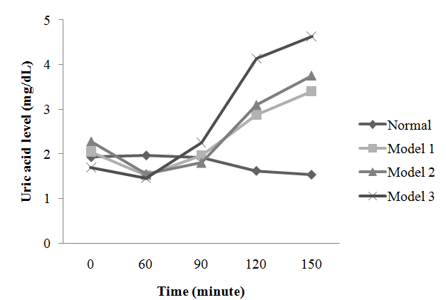
The results of the preliminary study were exposed in table 5 and fig.3. The highest significant elevation of uric acid level was shown by model 3 at 120 and 150 minutes. Therefore, the model 3 was used as the animal model of hyperuricemia in the present study (fig. 4).
Table 5: Its shows preliminary study results of induction model
Group |
Uric acid level (mg/dl) |
||||
T0 |
T60 |
T90 |
T120 |
T150 |
|
Normal |
1.93 |
1.97 |
1.91 |
1.62 |
1.54 |
Model 1 |
2.05 |
1.52 |
1.97 |
2.88 |
3.41 |
Model 2 |
2.27 |
1.54 |
1.79 |
3.09 |
3.75 |
Model 3 |
1.70 |
1.46 |
2.25 |
4.13 |
4.63 |
T is time post-induction (minute)

Fig. 3: Its shows result of hyperuricemia induction model

Fig. 4: Its shows comparison of uric acid level of normal control and positive control
Table 6: Its shows pre- and post-treatment uric acid level
Group |
Uric acid level (mg/dL) |
Uric acid level post PO induction |
||
0 minute |
90 minutes |
120 minutes |
150 minutes |
|
Normal |
1.93±0.246 |
1.93±0.309 |
1.59±0.053#° |
1.41±0.125# |
Positive control |
1.87±0.194 |
2.32±0.213° |
3.74±0.505*° |
5.44±1.230*° |
Allopurinol 10 mg/kg bw |
1.98±0.221 |
1.56±0.138# |
1.83±0.254# |
1.98±0.522# |
ACE 50 mg/kg bw |
2.14±0.162 |
2.13±0.184° |
2.87±0.309*#° |
3.32±0.381*#° |
ACE 100 mg/kg bw |
2.02±0.264 |
2.44±0.198° |
2.90±0.454*#° |
3.28±0.309*#° |
ACE 200 mg/kg bw |
1.92±0.141 |
2.15±0.151° |
2.60±0.229*# |
2.99±0.171*# |
SAE 50 mg/kg bw |
1.76±0.206 |
1.91±0.487 |
2.63±0.282*° |
3.05±0.389*# |
SAE 100 mg/kg bw |
1.98±0.132 |
1.79±0.087 |
2.54±0.386*# |
2.66±0.373*# |
SAE 200 mg/kg bw |
1.96±0.233 |
2.12±0.225° |
2.53±0.336*# |
2.82±0.372*# |
ACE-SAE 25-25 mg/kg bw |
1.95±0.270 |
2.12±0.182° |
2.77±0.380*#° |
3.55±0.353*#° |
ACE-SAE 50-50 mg/kg bw |
2.00±0.064 |
2.25±0.107° |
2.71±0.271*#° |
3.17±0.149*#° |
ACE-SAE 100-100 mg/kg bw |
2.16±0.189 |
1.97±0.236 |
2.67±0.348*#° |
3.24±0.518*#° |
ACE-SAE 200-200 mg/kg bw |
2.07±0.138 |
1.76±0.298# |
2.21±0.488# |
2.77±0.515*# |
* p< 0.05 when compared with normal control; # p < 0.05 when compared with positive control;, °p< 0.05 when compared with allopurinol
Table 7: Its shows effectiveness of uric acid level reduction
Group |
Effectiveness of reduction of uric acid levels after PO induction (%) |
|
120 minutes |
150 minutes |
|
Allopurinol 10 mg/kg bw |
88.95 |
85.88 |
ACE 50 mg/kg bw |
40.61 |
52.68 |
ACE 100 mg/kg bw |
39.06 |
53.46 |
ACE 200 mg/kg bw |
53.20 |
60.78 |
SAE 50 mg/kg bw |
51.60 |
59.28 |
SAE 100 mg/kg bw |
55.91 |
68.99 |
SAE 200 mg/kg bw |
56.24 |
64.99 |
ACE-SAE 25-25 mg/kg bw |
45.24 |
46.96 |
ACE-SAE 50-50 mg/kg bw |
47.75 |
56.27 |
ACE-SAE 100-100 mg/kg bw |
49.54 |
54.49 |
ACE-SAE 200-200 mg/kg bw |
71.33 |
66.17 |
Intraperitoneal of PO (250 mg/kg bw) to create hyperuricemia animal model could induced hyperuricemia in mice successfully, with peak effect in serum uric acid levels within2 hours and decreased slowly until normalization 8 hours after induction[19]. PO was eliminated rapidly because it inhibits uricase enzyme reversibly and it does not damage the cells that produce uricase enzyme in liver.

Fig. 5: Its shows effects of ACE, SAE, and its combination on uric acid levels, *significantly different vs positive control
The reference compound in the present study was allopurinol. Allopurinol is a XO inhibitor and a substrate for XO with oxypurinol as the product and its primary metabolite. Allopurinol inhibits competitively at low concentrations and noncompetitively at high concentrations, while oxypurinol is a noncompetitive inhibitor of the enzyme. Allopurinol is absorbed rapidly after oral administration, and reached the peak plasma concentrations within 60–90 minutes. Allopurinol is the most common antihyperuricemic agent with plasma t1/2 of allopurinol is 1–2 hours and oxypurinol is 18–30 hours. This allows for once-daily dosing. Inhibition of XO prevents the synthesis of uric acid from hypoxanthine and xanthine. Thus, concentration of uric acid in serum was reduced and purine excretion was increased [20].
Oral administration of allopurinol, ACE and SAE, and the combination extracts were significantly reduced the serum uric acid levels with non-dependent dose effect in the tested extracts compared to the positive control group (p<0.05). Uric acid levels of the reference group and 200-200 mg/kg bw combination extract group showed had no significantly different compared with the normal group at 120 minutes post-induction. It means they can reduce uric acid level until normal condition within 120 minutes. The doses of extracts that reduced uric acid levels within 120 minutes were not significantly different compared with 10 mg/kg bw allopurinol were 200 mg/kg bw ACE, 100 and 200 mg/kg bw SAE, and 200-200 mg/kg bw combination extract. SAE at 50 mg/kg bw showed no significantly different in reducing uric acid level compared with 10 mg/kg bw allopurinol within 150 minutes post-induction.
Study of antihyperuricemic activity on combination group is aimed to evaluate the effectiveness of a combination of both extracts which is expected to get a synergistic or additive effect that may decrease the dosage and reduce the side effect that may occur. In the present study, the effectiveness of combination groups generally bigger than ACE and less than SAE, but not significantly different between combination groups and single groups. According to the result can be concluded that the combination exhibited additive effects, but it needs to explore another ratio of combination to get an optimum dosage of the combination extracts.
XO inhibitory activity of ACE and SAE, single or their combination, showed low inhibitory effect, but the results of in vivo antihyperuricemic assay showed that the levels of serum uric acid of tested extract groups decreased significantly compared to the positive control group and the effectiveness of the combination group was additive. These results showed that the mechanism of both extracts not only XO inhibition but also maybe uricosuric activity.
CONCLUSION
ACE and SAE have XO inhibitory and antihyperuricemic activities, and their combination provided an additive effect. The results were suggested that the extracts may have a considerable potential for developing as antihyperuricemia agent.
ACKNOWLEDGEMENT
This study was supported by National Agency of Drug and Food Control, Indonesia. The authors are also grateful for technical help of School of Pharmacy, Bandung Institute of Technology.
CONFLICT OF INTERESTS
Declared None
REFERENCES