
aDepartment of Pharmaceutics, Hi-Tech College Pharmacy, Bhubaneswar, Odisha, India, bDepartment of Pharmaceutics, Royal College of Pharmacy and Health Sciences, Berhampur, Odisha, India, cDepartment of Pharmaceutics, St. Ann’s College of Pharmacy, Vizianagaram, A. P., India
Email: dashgyana09@gmail.com
Received: 17 Nov 2021, Revised and Accepted: 01 Jun 2022
ABSTRACT
Objective: The intent and objective of this research work were to find out the most effective superdisintegrants on the basis of disintegration time dissolution rate and other secondary tablet properties among the three mostly used superdisintegrants (Crospovidone, sodium starch glycolate and croscarmellose). This endeavour was initiated to mitigate dysphagia and for better bioavailability of drugs.
Methods: Nine formulations of Tramadol HCl (50 mg) dispersible tablets were fabricated by direct compression process using different concentrations (3%, 5% and 8%) of mentioned superdisintegrants. Dispersible tablets were formulated and evaluated for various parameters such as thickness, hardness, friability, weight variation, disintegration time, drug content and dissolution rate. Then the stability study was carried out on the selected formulation batch to get a conclusion.
Results: Results were interpreted in mean±SD where the value of n is equal to 3. The formulated dispersible tablets were evaluated for their post-compression parameters after achieving the desired pre-compression attributes. In pre-compression evaluation, the flow property and compressibility of powder were checked and the results found to be acceptable of all the nine formulations having an angle of repose less than 19 °, compressibility index in the range of 14.45 to 15.27 and Hausner’s ratio (≤ 1.29). The thickness of the tablets was found to be 4.19 to 4.28 mm. The tablets have optimum hardness just above 4 kg/sq. cm for better sustainability against mechanical stress and the percentage loss on friability found to be less than 1%. The drug content in the tablets of all nine formulations was found to be in the range of 97.48±0.9% to 99.46±0.4%. The wetting time and disintegration time were found to be within 20 sec and 40 sec, respectively, for all nine batches. The dissolution profile showed that more than 97% of the drug were released within 14 min, which is a great achievement in comparison to marketed dispersible tablets. The formulation batch (B2) with crospovidone as superdisintegrant has shown supremacy in tableting properties with better disintegration and dissolution profile. The bioavailability of the drug would be enhanced due to the increment in these parameters. The results of the stability studies of formulation batch (B2) were satisfactory. This batch with crospovidone as a super disintegrant was selected as the best formulation and recommended for scale-up.
Conclusion: The outcome of the research work suggests that the disintegration efficiency of crospovidone is the most among the three super disintegrants and is recommended for the formulation of most effective dispersible tablets of Tramadol Hydrochloride.
Keywords: Tramadol hydrochloride, Superdisintegrants, Dispersible tablets, Disintegration time, Dissolution profile, Patient compliance
© 2022 The Authors. Published by Innovare Academic Sciences Pvt Ltd. This is an open access article under the CC BY license (https://creativecommons.org/licenses/by/4.0/)
DOI: https://dx.doi.org/10.22159/ijpps.2022v14i7.43638. Journal homepage: https://innovareacademics.in/journals/index.php/ijpps.
Tramadol hydrochloride is an opioid analgesic which acts centrally and is used to kill the pain of moderate to severe intensity [1]. This drug can be injected under the supervision of a physician, unlike insulin. So the patients suffering from arthritis and neuralgia have to take the drug for longer duration of time, especially in geriatric patients; these problems is predominant [2]. In such cases, the oral route is the most preferred route for drug administration. In oral route, the tablet is the most acceptable dosage form on the basis of its stability and dose precision [3]. The only challenge in tablet form is the rate of drug release from the dosage form, which can be mitigated by using suitable and potential superdisintegrants. Disintegrants are used in a tablet formulation to break the tablets into granules or powder so that the rate and percentage of drug release will be faster. As a consequence of these activities, the drug concentration in the plasma will be just sufficient to elicit therapeutic benefits [4].
In the present scenario the use of superdisintegrants is more dominating in comparison to conventional disintegrants. The cause behind it is the disintegration or breaking ability of superdisintegrants is much more than the conventionally used disintegrants. Though the mechanism of disintegration and the sequence of the process are identical for both, but the processing time is much faster in the case of the former (superdisintegrants). The disintegrants and superdisintegrants break the tablets by a mechanism which follows four steps. The sequences of those four steps due to hydrostatic pressures are swelling, wicking, capillary action and deformation [5, 6]. Superdisintegrant are generally used in the formulation of fast disintegrating tablets, which is inevitable. In this research work, the dispersible tablets of Tramadol HCl were prepared by using three superdisintegrants but one in each individual batch with a particular concentration. The best batch among all the batches was selected on the basis of disintegration time, dissolution rate and other tableting properties. Micronization is an important technique to enhance the dissolution rate by increasing the effective surface area of the drug [7]. Some superdisintegrants of natural origin have shown better disintegration of tablets and incorporated in the formulation of mouth dissolving and orodispersible tablets [8, 9]. The dissolution rate of the drug in a formulation will be enhanced by selecting an efficient superdisintegrant [10]. Once again, the fast disintegrating tablets, especially dispersible tablets, will increase patient compliance and the effectiveness of therapy for geriatrics and pediatric patients [11].
Materials
Tramadol HCl, Microcrystalline cellulose, sodium starch glycolate, and croscarmellose (Zydus Cadila Health Care Ltd., Ahmedabad, India), crospovidone (Shreeji Chemicals, Mumbai, India) were procured as gift sample. Aspartame, manitol, orange flavour and other excipients were purchased from SD fine Chem. Ltd., Mumbai, India.
Methods
In this research work, the target was to determine the efficiency of different disintegrants for the disintegration of tablets. The dispersible tablets of Tramadol HCl were fabricated by the process of direct compression. Direct compression method is the most effective method for the preparation of fast disintegrating tablets [12].
The superdisintegrants in the concentrations (3%, 5% and 8%) were used in the formulation of dispersible tablets of nine batches. The formulations were designed with an equal quantity of Tramadol HCl and other excipients, but the three superdisintegrants were incorporated in the formulations in different concentrations. Crospovidone was used in the formulations of B1, B2 and B3 batches with a concentration of 3%, 5% and 8%, respectively. Sodium starch glycolate was incorporated in the formulation of B4, B5 and B6 batches with a concentration of 3%, 5% and 8%, respectively. In an identical way croscarmellose was incorporated in B7, B8 and B9 formulations with respective concentration. The drug and excipients were weighed and passed through the sieve no-60 except the lubricant (Magnesium Stearate) and glidant (Aerosil), which passed through sieve no-40 [13]. The drug and excipients were mixed by the process of geometrical dilution and then lubricated [14, 15].
Prior to compression, the powder blend was evaluated for several pre-compression parameters such as angle of repose, Compressibility index and Hausner’s ratio to check it’s flow property which is the most essential factor for uniformity in weight and content of compressed tablets. The powder blend was compressed into tablets by a laboratory cadmach compression machine with 9 mm concave-shaped punch and die set.
The Compressed dispersible tablets were stored in a hermetically sealed container whose attributes had been evaluated from the results of post-compression parameters like thickness, Weight variation test, hardness, friability, wetting time, disintegration test, dissolution profile, drug content and stability study.
a) Thickness
Thickness of the tablets was measured by using a vernier caliper, where the tablets were placed between the two jaws of the vernier caliper and the reading was recorded [16].
b) Weight variation
The test was carried out by using an electronic balance on twenty randomly selected tablets. All the tablets were weighed and the average weight of the tablets was compared with the weight of individual tablet [3, 17].
% weight variation =
c) Hardness
The hardness or crushing strength of ten randomly selected tablets was determined by using a Monsanto hardness tester. The tablets were placed diametrically between two anvils of the tester and then crushed till the tablets fractured or broke. The reading on the sliding scale was recorded. Hardness is a prime parameter for determining the disintegration and dissolution of tablets [3, 18].
d) Friability
Friability test is a test to determine the loss of weight of tablets due to the separation of adherent fine particles from the surface of the tablets. So friability was checked by using Roche friabilator operated at 25 rpm for 4 min. Ten tablets were selected randomly and percentage weight loss was calculated [3, 19].
e) Wetting time
For determination of wetting time, a piece of tissue paper was taken and then folded twice and placed in a small Petri dish containing sufficient water (10 ml). On that soaked tissue paper, a tablet was placed and the time for complete wetting of the tablet was recorded and repeated thrice [20].
f) Disintegration test
In the disintegration test, disintegration time (DT) was measured by using Thermonik disintegration test apparatus with 1000 ml of purified water as a disintegration medium and without a disk. The temperature was maintained at 25 °c just to correlate the exact way of administration of dispersible tablets. As it is known to us the dispersible tablet has to be dispersed in a glass of water at room temperature before administration. For the test, six tablets were randomly selected and the average DT was determined [21, 22].
g) Drug content
Twenty tablets were selected randomly, weighed and powdered. The weighed amount of powder equivalent to 100 mg of Tramadol HCl was added to 100 ml of phosphate buffer (PH6.8) and stirred to dissolve. Then the drug solution was filtered, diluted suitably and analyzed spectrophotometrically (UV-1800, Shimadzu, Japan) at 272 nm [23].
h) In vitro dissolution study
The in vitro drug release from the tablet was carried out by using a dissolution test apparatus (USP-II, Electro lab, Model TDT-08L) using 900 ml of Phosphate buffer (PH 6.8) as the dissolution medium at 37±0.5 °C with 70 rpm. The samples were withdrawn of volume 5 ml by a pipette at an interval of 2 min. Each time the withdrawal volume was replenished with the same volume of fresh buffer solution to maintain the sink condition [21, 22].
Stability study
The stability study was carried out according to ICH (International conference on harmonization) guidelines for climatic zone III i.e. for hot and dry climate. The tablets of optimized formulation were stored at 40 °C±2 °C/75%±5% RH for three months in a lab stability chamber (Labline, India). Each tablet was weighed and wrapped individually in a piece Aluminium foil and all packed in a dark PVC bottle stored at the above-mentioned conditions for three months. After each month, the tablets were inspected for their integrity and analyzed for hardness, disintegration time, drug content and dissolution profile [23].
Statistical analysis
All the results are in the form of mean±standard deviation (SD). Differences of experimental results were tested for significance by using sigmastat V.3.1 (Syst at software, chicago) and considered significant when the probability value P<0.05.
Evaluation of pre-compression parameters
Before compression of powder by direct compression method, the flow property of the powder was determined by analyzing the result of pre-compression parameters. The value of the angle of repose was found to be less than 19 °, whereas the compressibility index and Hausner’s ratio were observed to be in the range of 14.45 to 15.27 and 1.24 to 1.29, respectively. The values confirmed the free-flowing characteristics of the powder blend as a consequence, mitigated the chances of weight variation that assured content uniformity and optimized for compression.
Evaluation of post-compression parameters
The compressed tablets (dispersible tablets) of nine formulations were selected randomly and evaluated for their post-compression parameters. The results of post-compression parameters are presented in table l and table 2.
Thickness
The thickness of the tablets was found to be 4.19 to 4.28 mm and the variation was within the USP specification.
b) Weight variation
The free-flowing nature of the powder blend was confirmed by the result of the weight variation test. All the batches passed the test and the variation was less than 5%. So the result was well within the USP specification and assured uniformity in weight.
c) Hardness
The hardness of the tablets was 4.20-4.29 kg/sq. cm, which confirmed that the tablets have enough mechanical strength and resistance.
d) Friability
The percentage loss due to friability of tablets was less than 1% for all nine batches. This result gave evidence that the tablets have enough mechanical and tensile strength where the loss was found to be under USP specification.
e) Drug content
Tramadol HCl content in the tablets of all nine formulations was found to be in the range of 97.48±0.9% to 99.46±0.4%. These results are acceptable as far as content uniformity is concerned and well within the official limit.
f) Wetting time
The wetting time was found to be less than 20 sec which would be a determining factor to disintegrate the tablets in its reciprocation. The wetting time decreased significantly (P<0.05) with an increase in the concentration of superdisintegrants may be due to the wetting agent activity of superdisintegrants. The tablets with crospovidone have taken the least time to soak completely.
g) Disintegration test
In the fabrication of dispersible tablets, disintegration is the vital test which will determine the disintegration time of tablets. Tablets of all batches disintegrated within 40 sec were satisfying the official specification of the dispersible tablet (<3 min). It is noted that the disintegration time of tablets decreased with an increase in the concentration of the superdisintegrants of the individual category, including formulations having crospovidone as a superdisintegrant which contradicted the findings of previous research work. It is observed that the tablets containing crospovidone (wicking type) have the least disintegration time. These results are complying with the outcomes of the wetting time test. It was also observed that the difference in disintegration time was insignificant at higher concentrations of superdisintegrants (5% to 8%). This outcome may be due to the formation of gel at a higher concentration of superdisintegrants which inhibits the capillary action and lowers the hydration rate compared to the initial stage of disintegration.
h) In vitro dissolution study
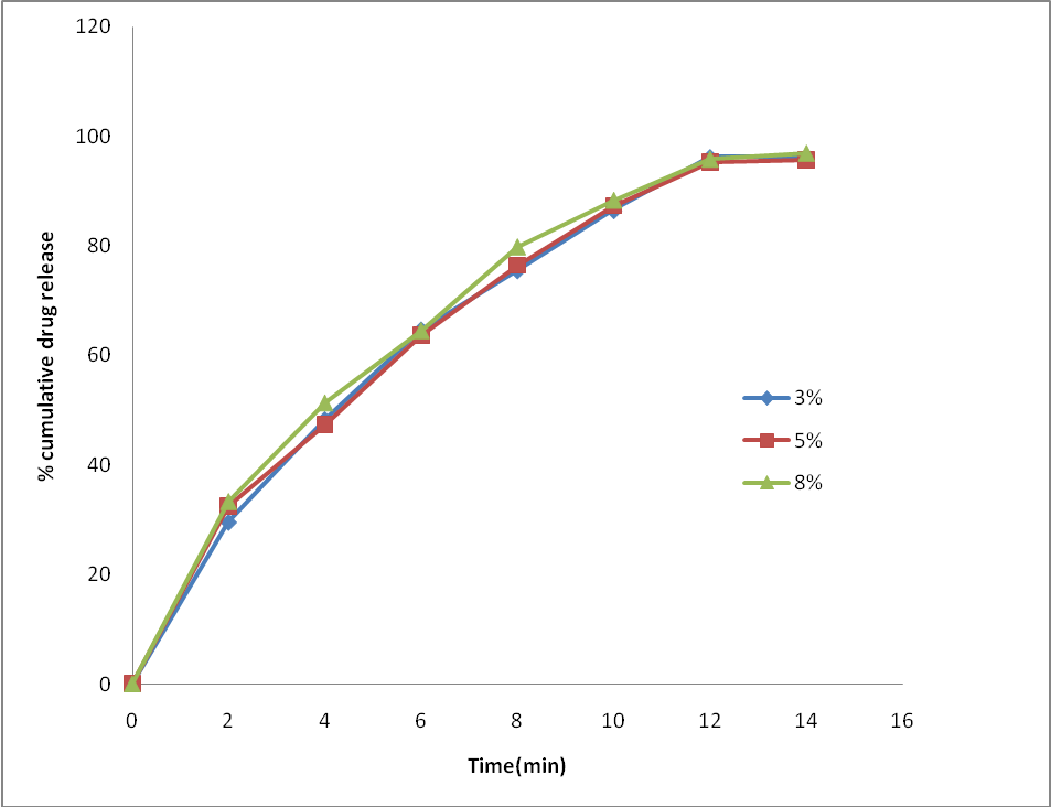
The cumulative percent of drug release with respect to the concentration of superdisintegrant was shown in table 2 and depicted in fig. (1, 2 and 3). The values of t505% and t90% were reduced with an increase in the concentration of superdisintegrant (P<0.05).
Table 1: Evaluation of dispersible tablets
| Post-compression parameters | Formulation | ||||||||
| B1 | B2 | B3 | B4 | B5 | B6 | B7 | B8 | B9 | |
| Thickness(mm) | 4.19±0.12 | 4.20±0.05 | 4.19±0.05 | 4.23±0.06 | 4.22±0.03 | 4.28±0.02 | 4.21±0.05 | 4.24±0.07 | 4.25±0.09 |
| Weight variation | Passed | Passed | Passed | Passed | Passed | Passed | Passed | Passed | Passed |
| Hardness (kg/sq cm) | 4.27±0.47 | 4.27±0.45 | 4.29±0.33 | 4.20±0.42 | 4.20±0.32 | 4.26±0.34 | 4.22±0.28 | 4.25±0.44 | 4.29±0.67 |
| Friability % | 0.59±0.02 | 0.48±0.04 | 0.45±0.03 | 0.65±0.04 | 0.62±0.02 | 0.73±0.04 | 0.38±0.01 | 0.71±0.03 | 0.57±0.05 |
| Wetting time(s) | 19.44±1.4 | 17.95±1.7 | 18.21±1.5 | 19.54±1.3 | 18.67±1.8 | 18.78±1.7 | 18.88±1.6 | 19.27±1.2 | 17.76±1.4 |
| Disintegration time(s) | 32.82±1.1 | 27.23±0.9 | 28.97±0.8 | 33.46±1.7 | 32.27±0.6 | 31.19±1.4 | 34.72±1.3 | 32.67±1.5 | 29.58±0.9 |
| Drug content | 98.92±0.4 | 99.42±0.5 | 99.46±0.4 | 97.65±0.8 | 98.47±0.6 | 98.48±0.5 | 98.18±0.7 | 97.48±0.9 | 98.39±0.3 |
mean±SD (n=3)
Table 2: In vitro dissolution study of different formulations
| Time (min) | Cumulative % of drug release | ||||||||
| B1 | B2 | B3 | B4 | B5 | B6 | B7 | B8 | B9 | |
| 0 | 0 | 0 | 0 | 0 | 0 | 0 | 0 | 0 | 0 |
| 2 | 29.75±9.33 | 31.43±8.98 | 33.42±8.46 | 30.43±9.54 | 28.55±9.23 | 34.21±7.52 | 29.46±8.56 | 32.46±6.89 | 33.34±7.87 |
| 4 | 53.42±4.65 | 54.67±5.28 | 54.77±4.98 | 52.43±5.35 | 49.65±7.48 | 48.34±6.43 | 48.32±6.72 | 47.42±6.43 | 51.27±6.34 |
| 6 | 70.36±3.45 | 65.48±4.33 | 67.73±4.23 | 69.35±4.67 | 65.43±4.34 | 64.73±4.37 | 64.72±4.73 | 63.56±5.34 | 64.53±4.73 |
| 8 | 80.45±4.23 | 78.65±4.53 | 77.55±3.75 | 78.64±3.67 | 76.75±3.47 | 74.46±3.87 | 75.45±3.89 | 76.44±3.87 | 79.78±5.34 |
| 10 | 88.64±3.74 | 89.12±2.78 | 88.98±4.23 | 85.73±2.67 | 87.23±3.78 | 85.34±3.28 | 86.45±3.25 | 88.74±4.08 | 89.82±3.67 |
| 12 | 95.96±2.89 | 98.97±2.24 | 97.87±2.86 | 95.98±2.14 | 96.23±2.57 | 97.65±2.89 | 96.17±2.74 | 95.23±2.89 | 95.83±2.88 |
| 14 | 96.36±2.75 | 99.15±2.19 | 97.92±2.34 | 96.19±2.34 | 96.34±2.38 | 97.79±1.67 | 96.23±1.78 | 95.67±2.68 | 96.89±2.12 |
mean±SD (n=3)

Fig. 1: In vitro dissolution profile of tramadol HCL tablets formulated with different concentrations of crospovidone

Fig. 2: In vitro dissolution profile of tramadol HCL tablets formulated with different concentrations of sodium starch glycolate

Fig. 3: In vitro dissolution profile of tramadol hcl tablets formulated with different concentrations of croscarmellose
The dissolution profile of each batch is not the mirror image of their disintegration test. The results of the dissolution study confirmed that the cumulative percentage of drug release is not depending on the disintegration time only rather on the particle size and effective surface area of the disintegrated particles of the tablets. The rate of dissolution is less related to the time and mechanism of disintegration of tablets, whether by rapid swelling and bursting or hydration and wicking. The most vital factors are particle size and their effective surface area to achieve the optimum dissolution profile through disintegration is the initial and major phase which helps in attaining these two parameters. The dissolution profile of all nine batches showed the cumulative percentage of drug release in the range of 95±2.68% to 99.15±2.19% within 14 min, which is much better in comparison to other marketed dispersible tablets.
After thoroughly analyzing all the parameters, it was found that the tablets with crospovidone have presented their superiority in all aspect among the three. Sodium starch glycolate and croscarmellose have shown the tendency to form gel at higher concentrations (more than 5%). Again among the tablets containing crospovidone, formulation batch (B2) had been selected as the optimized batch on the basis of its disintegration time and cumulative percentage of drug release.
The concentrations of superdisintegrants considered for comparative study by Sandeep et al. [16] were in a very narrow range to determine their efficacy in comparison to this research work.
The results of previously reported work by Hemalatha et al. [9], using natural superdisintegrants, showed erratic disintegration time and dissolution profile irrespective of the concentrations where, as in this work, the disintegration time decreased and the percentage of drug release increased with respect to increase in concentrations of superdisintegrants of each category.
The disintegration time and dissolution rate were well correlated with an increase in concentrations of superdisintegrants unlikely reported by Nazmi et al. [7] on using Xanthan gum as superdisintegrants.
The results of precompression and post-compression parameters were found to be much better than the work done previously and suggested as the best formulation for scale-up.
Stability study
The stability study data of formulation batch (B2) are shown in table 3 and 4, which was stored in 40 °±2 °c and 75%±5% RH for 3 mo. The hardness and disintegration time were increased which may be due to the absorption of moisture that reduced the efficiency of the superdisintegrant. It is well known to us that the efficiency of disintegrants/superdisintegrants reduce on hydration and they behave like the binders. This is the prime logic behind the better disintegration activity of extragranular disintegrants addition as not been exposed to the wetting process (binding solution).
Table 3: Stability data of formulation B2 at 40 °C/75% RH
| S. No. | Parameters | 1st month | 2nd month | 3rd month |
| 1 | Hardness(kg/sq cm) | 4.28±0.65 | 4.29±0.29 | 4.29±0.54 |
| 2 | Disintegration time(s) | 28.02±1.3 | 27.99±0.87 | 28.12±0.69 |
| 3 | Drug content | 99.39±0.74 | 99.38±0.45 | 99.38±0.97 |
mean±SD (n=3)
Table 4: In vitro dissolution profile of formulation B2 at 40 °C/75% RH
| Time(min) | Cumulative % of drug release | ||
| 1st month | 2nd month | 3rd month | |
| 0 | 0 | 0 | 0 |
| 2 | 29.53±8.63 | 30.43±7.89 | 30.68±9.12 |
| 4 | 52.67±6.48 | 53.67±5.43 | 55.34±6.88 |
| 6 | 65.21±3.45 | 68.51±4.76 | 67.56±5.23 |
| 8 | 76.84±4.76 | 77.94±3.88 | 78.47±3.74 |
| 10 | 89.98±3.22 | 89.48±3.42 | 90.74±3.38 |
| 12 | 98.87±2.42 | 98.93±3.67 | 98.72±3.49 |
| 14 | 99.39±2.36 | 99.42±2.68 | 99.33±2.18 |
mean±SD (n=3)
Dispersible tablets (fast disintegrating tablets) are highly desirable for patients suffering from dysphagia (swallowing problem), especially for geriatric and pediatric patients. It is also a painless and quick route of administration of the drug. All the evaluation parameters of the formulations were within the USP and IP specification for dispersible tablets. So it is being concluded that any of the three superdisintegrant (cross povidone, sodium starch glycolate or croscarmellose) can be used in the formulation of the dispersible tablet of tramadol HCl though crospovidone was found to be the most potential one. The sweetener (Aspartame), diluent (manitol) and orange flavourant had made the dispersible tablets more palatable and improved the patient acceptance than the conventional tablets of Tramadol HCl. But optimum storage condition should be maintained to inhibit the deleterious effect of elevated temperature and humidity on the prepared dispersible tablets.
Authors are thankful to Zydus Cadila Health Care Ltd, Ahmedabad, India for providing Tramadol HCl, Microcrystaline Cellulose, Sodium Starch glycolate and croscarmellose as gift samples. Authors also wish to acknowledge to shreeji Chemicals, Mumbai, India for providing crospovidone as gift sample Authors are grateful to all individuals who have extended their helping hand directly or indirectly in this research work.
Nil
All the authors have contributed equally.
Declared none
Grond S, Sablotzki A. Clinical pharmacology of tramadol. Clin Pharmacokinet. 2004;43(13):879-923. doi: 10.2165/00003088-200443130-00004, PMID 15509185.
Madgulkar AR, Bhalekar MR, Padalkar RR. Formulation design and optimization of novel taste-masked mouth-dissolving tablets of tramadol having adequate mechanical strength. AAPS PharmSciTech. 2009;10(2):574-81. doi: 10.1208/s12249-009-9237-y, PMID 19440844.
Lachmann L, Liberman H, Kanig J. The theory and practice of Industrial Pharmacy. 3rd ed. Mumbai: Varghese; 1987. p. 293-79.
Cheng R, Guo X, Burnsid B. A review of fast dissolving tablets. Pharm Technol, (North America); 2000. p. 52-8.
Gordon M, Rudraraju V, Dani K. Effect of the mode of superdisintegrants incorporation on dissolution in wet granulated tablets. J Pharm Sci. 1993;82:220-6.
Markl D, Zeitler JA. A review of disintegration mechanisms and measurement techniques. Pharm Res. 2017;34(5):890-917. doi: 10.1007/s11095-017-2129-z, PMID 28251425.
Nazmi M, Islam SM. Effect of superdisintegrants and their mode of incorporation on disintegration time and release profile of carbamazepine from an immediate-release tablet. J Appl Pharm Sci. 2013;3(5):80-4.
V Pawar C, S Mutha S, V Bhise S, D Borawake P. Formulation and evaluation of mouth dissolving tablet of meloxicam using natural superdisintegrants. Asian J Pharm Clin Res. 2020;13:197-203. doi: 10.22159/ajpcr.2020.v13i2.34838.
Panda S, Hemalatha N, Sankar PU, Baratam SR. Formulation and evaluation of orodispersible tablets (ODTS) of diclofenac sodium using superdisinegrants of natural origin. Int J Appl Pharm. 2019;11:190-7.
Neduri K, Bontha VK, Vemula SK. Different techniques to enhance the dissolution rate of lovastatin: formulation and evaluation. Asian J Pharm Clin Res. 2013;6:56-60.
Setty CM, Prasad DV, Gupta VR, Sa B. Development of fast dispersible aceclofenac tablets: effect of functionality of superdisintegrants. Indian J Pharm Sci. 2008;70(2):180-5. doi: 10.4103/0250-474X.41452, PMID 20046709.
Koseki T, Onishi H, Takahashi Y, Uchida M, Machida Y. Development of novel fast-disintegrating tablets by direct compression using sucrose stearic acid ester as a disintegration-accelerating agent. Chem Pharm Bull (Tokyo). 2008;56(10):1384-8. doi: 10.1248/cpb.56.1384, PMID 18827375.
Allen LV, Popovich NG, Ansel CH. Ansel’s pharmaceutical dosage forms and drug delivery systems. 9th ed. Philadelephia; 2011.
Nguyen T, Ullmann P. Compounding from basic to modern technology. Aust J Pharm. Version 2018:1-9.
Deveswaran R, Bharath S, Basavaraj BV. Concept and techniques of pharmaceutical powder mixing process: a current update. Res J Pharm Technol. 2009:244-9.
Sandeep DS, Charyulu RN, Nayak P. Comparative study of superdisintegrants using antiemetic drug as a model. Journal of Health and Allied Sciences NU. 2015;5(1):40-4. doi: 10.1055/s-0040-1703861.
Nasrin N, Asaduzzaman M, Mowla R. A comparative study of physical parameters of selected ketorolac tromethamine tablets available in the pharma market of Bangladesh. J Appl Pharm Sci. 2011;01(08):101-03.
Gennaro A, Remington RJ. The science and practice of Pharmacy. 19th ed. 1995;2:1639-40.
Sunada H, Bi Y. Preparation, evaluation and optimization of rapidly disintegrating tablets. Powder Technol. 2002;122(2-3):188-98. doi: 10.1016/S0032-5910(01)00415-6.
United States pharmacopoeia. Rockville. MD. 27th revision USP Convention. Inc; 2004. p. 2302.
Zhao N, Augsburger LL. Functionality comparison of 3 classes of superdisintegrants in promoting Aspirin tablet disintegration and dissolution. AAPS PharmSciTech. 2005;6(4):79. doi: 10.1208/pt060479, PMID 16408865.
Aly AM. Superdisintegrants for solid dispersion. Pharmaceut Technol. 2005:68-78.
Puttewar TY, Kshirsagar MD, Chandewar AV, Chikhale RV. Formulation and evaluation of orodispersible tablet of taste masked doxylamine succinate using ion exchange resin. Journal of King Saud University- Science. 2010;22(4):229-40. doi: 10.1016/j.jksus.2010.05.003.